BỘ CÂU HỎI ÔN TẬP CUỐI CHƯƠNG – TOÁN 10 – CTST
Chương 3. Hàm số bậc hai và đồ thị A. Trắc nghiệm
Dạng 1. Trắc nghiệm nhiều phương án lựa chọn
Mỗi câu hỏi thí sinh chỉ chọn một phương án. 3
Câu 1. Tập xác định của hàm số y = là x + 2 A. \ − 2 . B. (− ; −2). C. \ 2 . D. (−2;+) . x −1
Câu 2. Tập xác định của hàm số y = là x − 3 A. 3;+) . B. \ 3 .
C. 1;3) (3;+). D. 1;+) .
Câu 3. Cho hàm số y = f ( x) 2
= −x + 3x − 4 . Khẳng định nào sau đây là sai? A. f ( ) 1 = 2 − . B. f (− ) 1 = 8 − . C. f ( 2 − ) = −8 . D. f (2) = 2 − . 1 khi x 0
Câu 4. Cho hàm số f ( x) = x +1 khi 0 x 3 . Tính f (4) . 2
x − 7 khi 3 x 5 A. f (4) = 1. B. f (4) = 9. C. f (4) = 5 .
D. Không xác định.
Câu 5. Bảng dưới đây cho biết sự tương ứng giữa thời gian t (giờ) và quãng đường đi được S (km) của một chuyển động t (giờ) 1 2 3 4 5 S (km) 15 30 45 60 75
Hàm số nào dưới đây biểu thị cho sự tương ứng giữa thời gian t (giờ) và quãng đường đi được S (km) của chuyển động trên?
A. S = 30t .
B. S = 2t .
C. S = 15 + t .
D. S = 15t .
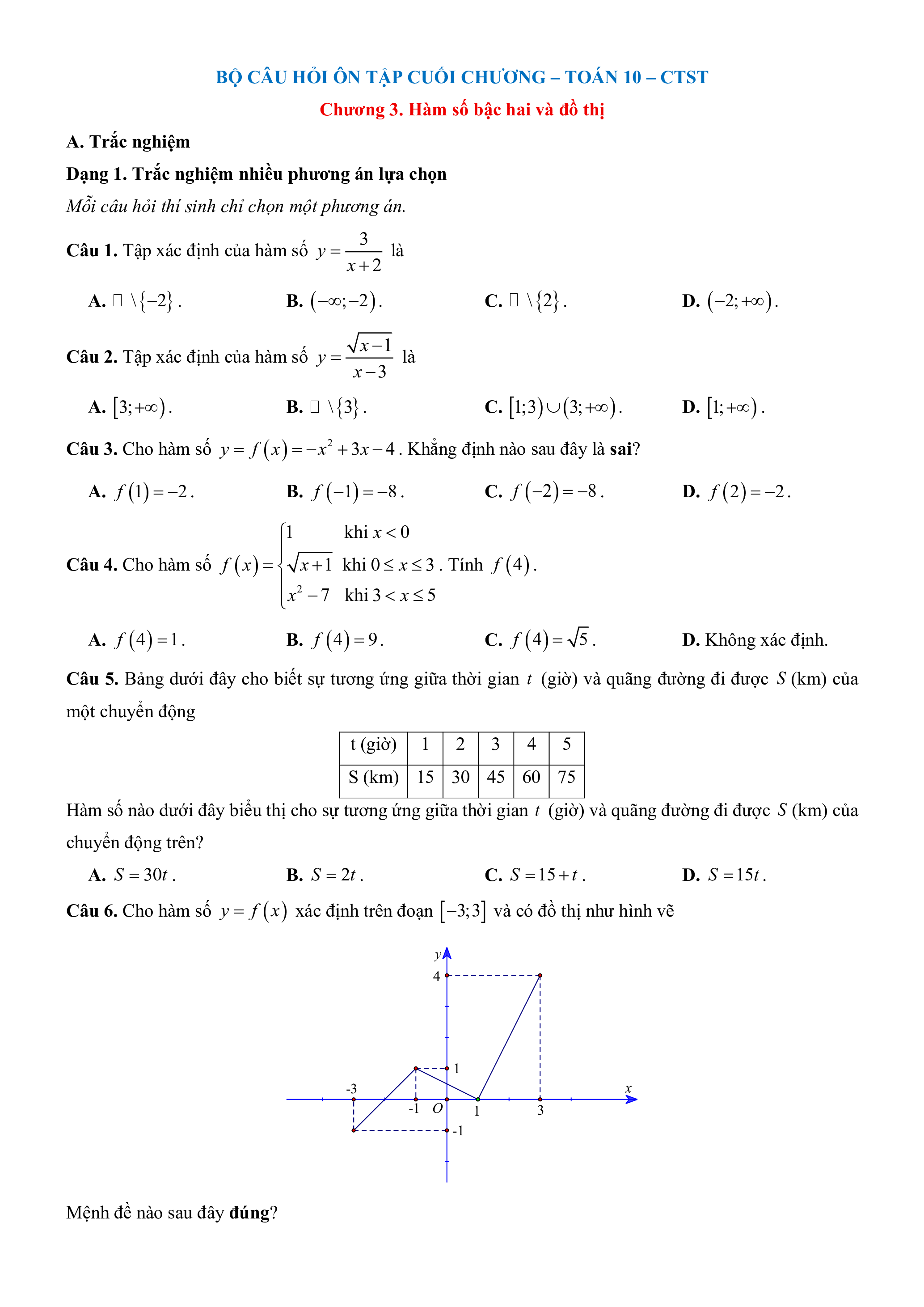
Câu 6. Cho hàm số y = f ( x) xác định trên đoạn −3;
3 và có đồ thị như hình vẽ y 4 1 -3 x -1 O 1 3 -1
Mệnh đề nào sau đây đúng?
A. Hàm số nghịch biến trên đoạn −3; 1 .
B. Hàm số nghịch biến trên đoạn 1; 3 .
C. Hàm số đồng biến trên đoạn 1; 3 .
D. Hàm số đồng biến trên đoạn −2; 1 .
Câu 7. Cho hàm số y = f ( x) xác định trên đoạn −3;
3 và có đồ thị như hình vẽ y 4 1 -3 x -1 O 1 3 -1
Mệnh đề nào sau đây đúng? 5 3 A. f − f − . B. f (− ) 1 2 f . 2 2 2 1 3 C. f (− ) 1 f ( ) 1 . D. f − f . 2 4
Câu 8. Cho (P) có phương trình 2
y = x − 2x + 4 . Điểm nào sau đây thuộc đồ thị (P). A. Q (4;2). B. N (−3; ) 1 . C. P (4;0) . D. M ( 3 − ;19) . Câu 9. Cho hàm số 2
y = −x + 4x +1. Khẳng định nào sau đây sai? A. Trên khoảng ( ) ;1
− hàm số đồng biến.
B. Hàm số nghịch biến trên khoảng (2;+) và đồng biến trên khoảng ( ; − 2) .
C. Trên khoảng (3;+) hàm số nghịch biến.
D. Hàm số nghịch biến trên khoảng (4;+) và đồng biến trên khoảng ( ; − 4) . Câu 10. Hàm số 2
y = x − 4x +11 đồng biến trên khoảng nào trong các khoảng sau đây? A. (−2;+) . B. (− ; +) . C. (2;+) . D. ( ; − 2) .
Câu 11. Cho hàm số bậc hai 2
y = ax + bx + c (a 0) có đồ thị (P) , đỉnh của (P) được xác định bởi công thức nào? b b b b A. I − ;− . B. I − ;− . C. I ; . D. I − ; . 2a 4a a 4a 2a 4a 2a 4a Câu 12. Cho (P) 2
: y = 3x − 2x +1. Điểm nào sau đây là đỉnh của (P) ? 1 2 1 2 1 2 A. I (0; ) 1 . B. I ; . C. I − ; . D. I ;− . 3 3 3 3 3 3
Câu 13. Trục đối xứng của đồ thị hàm số 2
y = ax + bx + c (a 0) là đường thẳng nào dưới đây? b c b A. x = − . B. x = − . C. x = − . D. x = . 2a 2a 4a 2a
Câu 14. Tung độ đỉnh I của parabol (P) 2
: y = 2x − 4x + 3 là A. 1 − . B. 1. C. 5 . D. 5 − .
Câu 15. Tìm trục đối xứng của đồ thị hàm số 2 y = 3
− x + 4x + 2 . 2 2 2 2 A. y = . B. x = − . C. x = . D. y = − . 3 3 3 3
Câu 16. Cho bảng biến thiên của hàm số 2
y = ax + bx + c . Tìm khẳng định đúng. 1 x ∞ 5 +∞ 1 y ∞ -∞ 1 1
A. Hàm số đồng biến trên khoảng ; 2 .
B. Hàm số đồng biến trên khoảng ; + . 5 5
C. Hàm số nghịch biến trên khoảng (2;+) .
D. Hàm số nghịch biến trên khoảng ( ; − 2) .
Câu 17. Đồ thị như hình bên dưới là của hàm số nào trong các hàm số sau? y 1 x -1 O 1 A. 2
y = −x + 2x +1. B. 2
y = x + 2x +1. C. 2
y = x + 2x −1. D. 2
y = x − 2x +1. Câu 18. Cho hàm số 2
y = ax + bx + c có đồ thị như hình bên dưới. Tìm khẳng định đúng. y x O
A. a 0,b 0,c = 0 .
B. a 0,b 0,c = 0 .
C. a 0,b 0,c = 0 .
D. a 0,b 0,c = 0 . Câu 19. Cho hàm số 2
y = x + bx − 4 . Biết đồ thị hàm số đã cho đi qua điểm N ( 3 − ;20) . Tìm b . A. b = 25 . B. b = −4 . C. b = −5 . D. b = 5 .
Câu 20. Biết đồ thị hàm số 2
y = ax − x + c đi qua điểm A( 3
− ;27) và B(0;−3) . Tìm các hệ số a và c .
A. a = 3,c = −3.
B. a = 8,c = 0 .
C. a = 3,c = 1.
D. a = 3, c = −4 .
Câu 21. Đồ thị hàm số (P) 2
: y = ax + bx + c đi qua A(8;0) và có đỉnh I (6; 1
− 2) có phương trình là A. 2
y = x −12x + 96 . B. 2
y = 2x − 24x = 96 . C. 2
y = 2x − 36x + 96 . D. 2
y = 3x − 36x + 96 .
Câu 22. Cho parabol (P) 2
: y = ax − 2x + c , biết parabol có trục đối xứng x = 1 và đi qua điểm M (2;0) .
Điểm nào sau đây thuộc (P) ? A. A(−1;3) . B. B (1; ) 1 . C. C (−2;5) . D. D (0;3) . Câu 23. Cho parabol 2
y = ax + bx + c có đồ thị như hình vẽ dưới đây. Khẳng định nào sau đây đúng? y x O
A. a 0,b 0,c 0 .
B. a 0,b 0,c 0 .
C. a 0,b 0,c 0 .
D. a 0,b 0,c 0 .
Câu 24. Tìm giá trị nhỏ nhất của hàm số 2
y = x − 4x +1. A. 3 − . B. 1. C. 3 . D. 13 .
Câu 25. Khẳng định nào dưới đây đúng? 25 A. Hàm số 2
y = −3x + x + 2 có giá trị lớn nhất bằng . 12 25 B. Hàm số 2
y = −3x + x + 2 có giá trị nhỏ nhất bằng . 12 25 C. Hàm số 2
y = −3x + x + 2 có giá trị lớn nhất bằng . 3 25 D. Hàm số 2
y = −3x + x + 2 có giá trị nhỏ nhất bằng . 3
Câu 26. Giá trị lớn nhất của hàm số 2 y = 3
− x + 2x +1 trên đoạn 1; 3 là: 4 1 A. . B. 0 . C. . D. −20 . 5 3
Câu 27. Tổng giá trị nhỏ nhất và giá trị lớn nhất của hàm số 2
y = x − 4x + 3 trên đoạn −1;4 là A. 1 − . B. 2 . C. 7 . D. 8 .
Câu 28. Cho đồ thị hàm số bậc hai 2
y = ax + bx + c như hình.
Bài tập ôn tập + Đề kiểm tra Toán 10 Chân trời sáng tạo chương 3
110
55 lượt tải
MUA NGAY ĐỂ XEM TOÀN BỘ TÀI LIỆU
CÁCH MUA:
- B1: Gửi phí vào TK:
1133836868- CT TNHH DAU TU VA DV GD VIETJACK - Ngân hàng MB (QR) - B2: Nhắn tin tới Zalo VietJack Official ( nhấn vào đây ) để xác nhận thanh toán và tải tài liệu - giáo án
Liên hệ ngay Hotline hỗ trợ: 084 283 45 85
Chúng tôi đảm bảo đủ số lượng đề đã cam kết hoặc có thể nhiều hơn, tất cả có BẢN WORD, LỜI GIẢI CHI TIẾT và tải về dễ dàng.
Để tải tài liệu gốc về máy bạn click vào nút Tải Xuống ở trên!
Thuộc bộ (mua theo bộ để tiết kiệm hơn):
- Tailieugiaovien.com.vn giới thiệu Bài tập ôn tập + Đề kiểm tra Toán 10 Chân trời sáng tạo theo chương mới nhất gồm bộ câu hỏi & bài tập ôn tập + Đề kiểm tra Toán 10 theo từng Chương/ Chủ đề với bài tập đa dạng đầy đủ các mức độ, các dạng thức có lời giải.
- File word có lời giải chi tiết 100%.
- Mua trọn bộ sẽ tiết kiệm hơn tải lẻ 50%.
Đánh giá
4.6 / 5(110 )5
4
3
2
1
Trọng Bình
Tài liệu hay
Giúp ích cho tôi rất nhiều
Duy Trần
Tài liệu chuẩn
Rất thích tài liệu bên VJ soạn (bám sát chương trình dạy)
