MA TRẬN ĐỀ KIỂM TRA GIỮA KÌ I – TOÁN 10 – KẾT NỐI TRI THỨC
Thời gian làm bài: 90 phút Tỉ Mức độ đánh giá Tổng lệ % điểm TT Chương Nội dung kiến thức TNKQ Tự luận
Nhiều lựa chọn Đúng - sai
Trả lời ngắn Biết Hiểu Vận
dụng Biết Hiểu Vận
dụng Biết Hiểu Vận
dụng Biết Hiểu Vận
dụng Biết Hiểu Vận dụng Bài 1. Mệnh đề 1 1 2 2 3 3 15 Mệnh đề Bài 2. Tập 1 và tập hợp và các hợp phép toán 2 1 1 3 1 20 trên tập hợp Bất Bài 3. Bất phương phương 1 1 1 2 1 10 trình và trình bậc 2 hệ bất nhất hai ẩn phương Bài 4. Hệ trình bậc bất phương nhất hai trình bậc 2 1 2 1 15 ẩn nhất hai ẩn Bài 5. Giá trị lượng Hệ thức giác của 2 1 1 2 2 12,5 3 lượng một góc từ trong 0° đến 180° tam giác Bài 6. Hệ thức lượng 1 1 3 1 1 2 4 1 27,5 trong tam giác Tổng số câu 9 3 0 3 5 0 2 2 0 0 0 3 14 10 3 Tổng số điểm 3,0 2,0 2,0 3,0 4,0 3,0 3,0 10 Tỉ lệ % 30 20 20 30 40 30 30 100 Lưu ý:
* Cấu trúc đề thi: Đề thi gồm 2 phần: Phần I. Trắc nghiệm khách quan (trắc nghiệm nhiều lựa chọn, trắc nghiệm đúng – sai, trả lời ngắn), Phần
II. Tự luận (tổng điểm: 10 điểm) như sau
– Dạng trắc nghiệm nhiều lựa chọn, trong 4 đáp án gợi ý chọn 1 đáp án đúng. Mỗi câu trả lời đúng được 0,25 điểm.
– Dạng trắc nghiệm Đúng – Sai. Mỗi câu hỏi có 4 ý, tại mỗi ý thí sinh lựa chọn đúng hoặc sai. Thí sinh đúng 1 ý được 0,1 điểm; thí sinh đúng 2 ý
được 0,25 điểm; chọn đúng 3 ý được 0,5 điểm và đúng tất cả 4 ý sẽ được 1 điểm.
– Dạng trắc nghiệm trả lời ngắn. Mỗi câu trả lời đúng thí sinh được 0,5 điểm.
– Tự luận. Thí sinh trình bày chi tiết câu trả lời. Mỗi câu trả lời đúng thí sinh được 1,0 điểm.
* Ma trận trên tạm thời ghi số điểm (giả định) ứng với mỗi ý hỏi của trắc nghiệm đúng sai, trên thực tế số điểm còn phụ thuộc vào số ý hỏi mà thí
sinh đã trả lời đúng trong từng câu hỏi ở phần trắc nghiệm đúng sai như cấu trúc đã nêu trên.
BẢN ĐẶC TẢ ĐỀ KIỂM TRA GIỮA KÌ I – TOÁN 10 – KẾT NỐI TRI THỨC
Số câu hỏi ở các mức độ đánh giá Nội TNKQ Tự luận TT Chương dung kiến Yêu cầu cần đạt
Nhiều lựa chọn Đúng - sai
Trả lời ngắn thức Biết Hiểu Vận
dụng Biết Hiểu Vận
dụng Biết Hiểu Vận
dụng Biết Hiểu Vận dụng
– Biết thiết lập và phát
biểu mệnh đề; mệnh đề
phủ định; mệnh đề chứa
biến; mệnh đề đảo; mệnh C1 C1a, C1b
đề kéo theo; mệnh đề chứa kí hiệu Bài 1. ∀, ∃. Mệnh
– Hiểu được cách xác định đề tính đúng, sai của một mệnh đề toán học.
– Xác định được mệnh đề tương đương; phát biểu C10 C1c, C1d
mệnh đề dưới dạng: điều Mệnh đề 1
kiện cần, điều kiện đủ và và tập hợp
điều kiện cần và đủ.
– Biết được các khái niệm
cơ bản về tập hợp (tập
Bài 2. hợp, phần tử, tập hợp con, C2, Tập
hai tập hợp bằng nhau, tập C3 C1
hợp và rỗng, …) và biết sử dụng các
các kí hiệu ∈, ∉, ⊂, ⊃, ∅. phép
– Hiểu và thực hiện được toán
các phép toán trên tập hợp
trên tập (hợp, giao, hiệu của hai hợp tập hợp, phần bù).
– Sử dụng biểu đồ Venn
để biểu diễn tập hợp và các phép toán trên tập hợp.
– Giải quyết được một số
vấn đề thực tiễn gắn với C1 phép toán trên tập hợp.
– Nhận biết được bất
phương trình bậc nhất hai ẩn, nghiệm của bất C4 C2
Bài 3. phương trình bậc nhất hai Bất ẩn.
phương – Biểu diễn được miền trình nghiệm của bất phương bậc
trình bậc nhất hai ẩn trên C11
nhất hai mặt phẳng tọa độ. Bất ẩn
– Vận dụng được kiến phương
thức về bất phương trình trình và
bậc nhất hai ẩn vào giải 2 hệ bất
quyết bài toán thực tiễn. phương
– Nhận biết được hệ bất trình bậc
phương trình bậc nhất hai nhất hai
ẩn, nghiệm của hệ bất C5, ẩn C6
Bài 4. phương trình bậc nhất hai Hệ bất ẩn.
phương – Biểu diễn được miền trình
nghiệm của hệ bất phương bậc
trình bậc nhất hai ẩn trên
nhất hai mặt phẳng tọa độ. ẩn
– Vận dụng kiến thức hệ
bất phương trình bậc nhất
hai ẩn vào giải quyết bài C2 toán thực tiễn. 3 Hệ thức
Bài 5. – Nhận biết được giá trị C7,
Bộ 59 Đề thi Giữa kì 1 Toán 10 Kết nối tri thức cấu trúc mới (có tự luận)
610
305 lượt tải
150.000 ₫
MUA NGAY ĐỂ XEM TOÀN BỘ TÀI LIỆU
CÁCH MUA:
- B1: Gửi phí vào TK:
1133836868- CT TNHH DAU TU VA DV GD VIETJACK - Ngân hàng MB (QR) - B2: Nhắn tin tới Zalo VietJack Official ( nhấn vào đây ) để xác nhận thanh toán và tải tài liệu - giáo án
Liên hệ ngay Hotline hỗ trợ: 084 283 45 85
Chúng tôi đảm bảo đủ số lượng đề đã cam kết hoặc có thể nhiều hơn, tất cả có BẢN WORD, LỜI GIẢI CHI TIẾT và tải về dễ dàng.
Để tải tài liệu gốc về máy bạn click vào nút Tải Xuống ở trên!
Bộ tài liệu bao gồm: 2 tài liệu lẻ (mua theo bộ tiết kiệm đến 50%)
- Tailieugiaovien.com.vn giới thiệu bộ Đề thi Giữa kì 1 Toán 10 Kết nối tri thức cấu trúc mới (có tự luận) gồm: 15 đề Cấu trúc mới có tự luận đầy đủ ma trận và lời giải chi tiết; 44 đề năm 2024 mới nhất nhằm giúp Giáo viên có thêm tài liệu tham khảo ra đề thi Toán 10.
=> Tham khảo thêm: Đề thi Giữa kì 1 Toán 10 Kết nối tri thức cấu trúc mới
- File word có lời giải chi tiết 100%.
- Mua trọn bộ sẽ tiết kiệm hơn tải lẻ 50%.
Đánh giá
4.6 / 5(610 )5
4
3
2
1
Trọng Bình
Tài liệu hay
Giúp ích cho tôi rất nhiều
Duy Trần
Tài liệu chuẩn
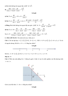
Rất thích tài liệu bên VJ soạn (bám sát chương trình dạy)
