SỞ GIÁO DỤC VÀ ĐÀO TẠO
KÌ THI TUYỂN SINH LỚP 10
THÀNH PHỐ ĐÀ NẴNG
TRUNG HỌC PHỔ THÔNG NĂM 2017 MÔN THI: TOÁN
Thời gian: 120 phút (không tính thời gian giao đề)
Bài 1. (1,5 điểm) a) Tính . b) Rút gọn biểu thức .
Bài 2. (2,0 điểm)
a) Giải hệ phương trình . b) Giải phương trình .
Bài 3. (2,0 điểm) Cho hai hàm số và , với là tham số. a) Khi
, tìm tọa độ các giao điểm của hai đồ thị hàm số trên.
b) Chứng minh rằng với mọi giá trị , đồ thị của hai hàm số đã cho luôn cắt
nhau tại hai điểm phân biệt và
. Tìm tất cả các giá trị của sao cho .
Bài 4. (1,0 điểm)
Một đội xe cần vận chuyển
tấn gạo với khối lượng gạo mỗi xe chở bằng
nhau. Khi sắp khởi hành thì được bổ sung thêm xe nữa nên mỗi xe chở ít hơn dự
định lúc đầu tấn gạo (khối lượng gạo mỗi xe chở vẫn bằng nhau). Hỏi đội xe ban đầu có bao nhiêu chiếc?
Bài 5. (3,5 điểm)
Cho nửa đường tròn tâm đường kính
và là một điểm trên nửa đường
tròn ( khác và ). Trên cung
lấy điểm ( khác và ). Gọi là
hình chiếu vuông góc của trên và là giao điểm của và .
ệ hotline: 084 283 45 85
a) Chứng minh là tứ giác nội tiếp. b) Chứng minh rằng và . c) Trên đoạn lấy điểm sao cho . Chứng minh rằng khi
chạy trên nửa đường tròn đã cho thì
chạy trên một đường tròn cố định. -----HẾT-----
ệ hotline: 084 283 45 85
ĐÁP ÁN VÀ HƯỚNG DẪN GIẢI
Bài 1. (1,5 điểm) a) Tính . b) Rút gọn biểu thức . Lời giải: a) . b) (do ) .
Bài 2. (2,0 điểm)
a) Giải hệ phương trình . b) Giải phương trình . Lời giải: . a)
ệ hotline: 084 283 45 85
Vậy hệ phương trình có nghiệm duy nhất là . b) Điều kiện: .
Vậy tập nghiệm của phương trình đã cho là: .
Bài 3. (2,0 điểm) Cho hai hàm số và , với là tham số. a) Khi
, tìm tọa độ các giao điểm của hai đồ thị hàm số trên.
b) Chứng minh rằng với mọi giá trị , đồ thị của hai hàm số đã cho luôn cắt
nhau tại hai điểm phân biệt và
. Tìm tất cả các giá trị của sao cho . Lời giải:
a) Phương trình hoành độ giao điểm của và là (1) Thay
vào phương trình (1) ta có: Ta có: Vậy phương trình có hai nghiệm .
ệ hotline: 084 283 45 85
Đề chính thức Toán vào 10 TP Đà Nẵng năm 2017 - 2018
799
400 lượt tải
MUA NGAY ĐỂ XEM TOÀN BỘ TÀI LIỆU
CÁCH MUA:
- B1: Gửi phí vào TK:
1053587071
- NGUYEN VAN DOAN - Ngân hàng Vietcombank (QR) - B2: Nhắn tin tới Zalo VietJack Official ( nhấn vào đây ) để xác nhận thanh toán và tải tài liệu - giáo án
Liên hệ ngay Hotline hỗ trợ: 084 283 45 85
Đề thi được cập nhật liên tục trong gói này từ nay đến hết tháng 6/2023. Chúng tôi đảm bảo đủ số lượng đề đã cam kết hoặc có thể nhiều hơn, tất cả có BẢN WORD, LỜI GIẢI CHI TIẾT và tải về dễ dàng.
Để tải tài liệu gốc về máy bạn click vào nút Tải Xuống ở trên!
Thuộc bộ (mua theo bộ để tiết kiệm hơn):
- Tailieugiaovien.com.vn giới thiệu tuyển tập đề thi môn Toán vào 10 TP Đà Nẵng từ năm 2015 - 2023 nhằm giúp Giáo viên có thêm tài liệu tham khảo ra đề thi Toán vào 10.
- File word có lời giải chi tiết 100%.
- Mua trọn bộ sẽ tiết kiệm hơn tải lẻ 50%.
Đánh giá
4.6 / 5(799 )5
4
3
2
1

Trọng Bình
Tài liệu hay
Giúp ích cho tôi rất nhiều

Duy Trần
Tài liệu chuẩn
Rất thích tài liệu bên VJ soạn (bám sát chương trình dạy)
TÀI LIỆU BỘ BÁN CHẠY MÔN Toán Học
Xem thêmTÀI LIỆU BỘ BÁN CHẠY Ôn vào 10
Xem thêmTài liệu bộ mới nhất

Đây là bản xem thử, vui lòng mua tài liệu để xem chi tiết (có lời giải)
SỞ GIÁO DỤC VÀ ĐÀO TẠO
THÀNH PHỐ ĐÀ NẴNG
KÌ THI TUYỂN SINH LỚP 10
TRUNG HỌC PHỔ THÔNG NĂM 2017
MÔN THI: TOÁN
Thời gian: 120 phút (không tính thời gian giao đề)
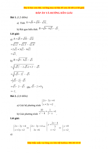
Bài 1. (1,5 điểm)
a) Tính .
b) Rút gọn biểu thức .
Bài 2. (2,0 điểm)
a) Giải hệ phương trình .
b) Giải phương trình .
Bài 3. (2,0 điểm)
Cho hai hàm số và , với là tham số.
a) Khi , tìm tọa độ các giao điểm của hai đồ thị hàm số trên.
b) Chứng minh rằng với mọi giá trị , đồ thị của hai hàm số đã cho luôn cắt
nhau tại hai điểm phân biệt và . Tìm tất cả các giá trị của sao
cho .
Bài 4. (1,0 điểm)
Một đội xe cần vận chuyển tấn gạo với khối lượng gạo mỗi xe chở bằng
nhau. Khi sắp khởi hành thì được bổ sung thêm xe nữa nên mỗi xe chở ít hơn dự
định lúc đầu tấn gạo (khối lượng gạo mỗi xe chở vẫn bằng nhau). Hỏi đội xe ban
đầu có bao nhiêu chiếc?
Bài 5. (3,5 điểm)
Cho nửa đường tròn tâm đường kính và là một điểm trên nửa đường
tròn ( khác và ). Trên cung lấy điểm ( khác và ). Gọi là
hình chiếu vuông góc của trên và là giao điểm của và .
M i th c m c vui lòng xin liên h hotline: 084 283 45 85ọ ắ ắ ệ

Đây là bản xem thử, vui lòng mua tài liệu để xem chi tiết (có lời giải)
a) Chứng minh là tứ giác nội tiếp.
b) Chứng minh rằng và .
c) Trên đoạn lấy điểm sao cho . Chứng minh rằng khi
chạy trên nửa đường tròn đã cho thì chạy trên một đường tròn cố định.
-----HẾT-----
M i th c m c vui lòng xin liên h hotline: 084 283 45 85ọ ắ ắ ệ

Đây là bản xem thử, vui lòng mua tài liệu để xem chi tiết (có lời giải)
ĐÁP ÁN VÀ HƯỚNG DẪN GIẢI
Bài 1. (1,5 điểm)
a) Tính .
b) Rút gọn biểu thức .
Lời giải:
a)
.
b)
(do )
.
Bài 2. (2,0 điểm)
a) Giải hệ phương trình .
b) Giải phương trình .
Lời giải:
a)
.
M i th c m c vui lòng xin liên h hotline: 084 283 45 85ọ ắ ắ ệ

Đây là bản xem thử, vui lòng mua tài liệu để xem chi tiết (có lời giải)
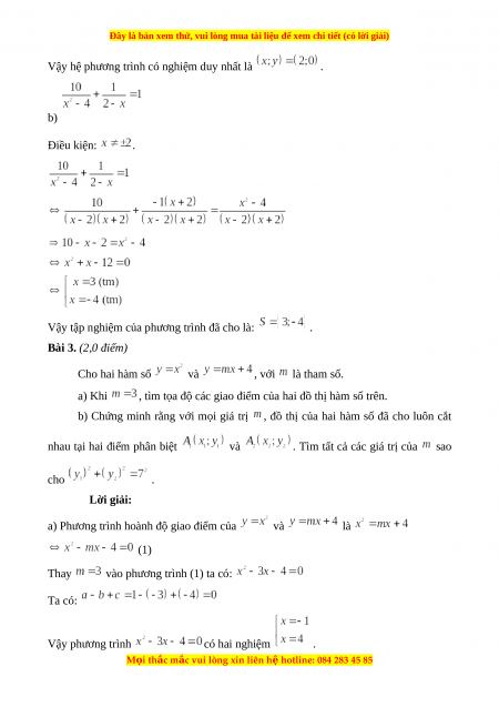
Vậy hệ phương trình có nghiệm duy nhất là .
b)
Điều kiện: .
Vậy tập nghiệm của phương trình đã cho là: .
Bài 3. (2,0 điểm)
Cho hai hàm số và , với là tham số.
a) Khi , tìm tọa độ các giao điểm của hai đồ thị hàm số trên.
b) Chứng minh rằng với mọi giá trị , đồ thị của hai hàm số đã cho luôn cắt
nhau tại hai điểm phân biệt và . Tìm tất cả các giá trị của sao
cho .
Lời giải:
a) Phương trình hoành độ giao điểm của và là
(1)
Thay vào phương trình (1) ta có:
Ta có:
Vậy phương trình có hai nghiệm .
M i th c m c vui lòng xin liên h hotline: 084 283 45 85ọ ắ ắ ệ

Đây là bản xem thử, vui lòng mua tài liệu để xem chi tiết (có lời giải)
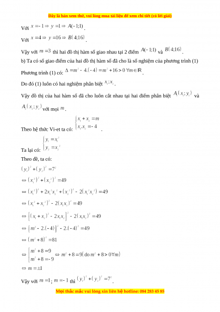
Với .
Với .
Vậy với thì hai đồ thị hàm số giao nhau tại 2 điểm và .
b) Ta có số giao điểm của hai đồ thị hàm số đã cho là số nghiệm của phương trình (1)
Phương trình (1) có: .
Do đó (1) luôn có hai nghiệm phân biệt .
Vậy đồ thị của hai hàm số đã cho luôn cắt nhau tại hai điểm phân biệt và
với mọi .
Theo hệ thức Vi-et ta có: .
Ta lại có:
Theo đề, ta có:
Vậy với ; thì .
M i th c m c vui lòng xin liên h hotline: 084 283 45 85ọ ắ ắ ệ