SỞ GIÁO DỤC VÀ ĐÀO TẠO
KỲ THI TUYỂN SINH VÀO LỚP 10 TỈNH HÀ NAM
TRƯỜNG THPT CHUYÊN HÀ NAM NĂM HỌC 2023 - 2024 ĐỀ CHÍNH THỨC Môn: TOÁN (chuyên)
(Đề thi gồm có 01 trang)
Thời gian: 150 phút (không kể thời gian phát đề)
x x −1 x +1 x − 2
Câu I (2,0 điểm) .Cho biểu thức A = − với 1+ x + x x −1 x − x − 2
x 0, x 1, x 4.
1. Rút gọn biểu thức . A
2.Tìm tất cả các số nguyên của x để 2A −1 +1 = 2 . A
Câu II (2,0 điểm). 1. Giải phương trình 2 2
(x −1) x + 6x +16 = 2x − 6x + 4. 3 2 3
2x + xy(2y − x) + 2x + 6x = xy + y + 3y (1)
2.Giải hệ phương trình . 2 2 2
3(x + y) + 7 + 5x + 5y +14 = 4 − y − x (2)
Câu III. (1,0 điểm) Tìm tất cả các số tự nhiên n để 2024 2027 2 2 2n +
+ là số chính phương.
x x −1 x +1 x − 2
Cho biểu thức A = −
với x 0, x 1, x 4. 1+ x + x x −1 x − x − 2
Câu IV. (4 điểm) Cho đường tròn (O) có dây cung BC cố định và không đi qua tâm O . Gọi
A là điểm di động trên đường tròn (O) sao cho tam giác ABC nhọn và AB AC. Gọi M là
trung điểm của cạnh BC và H là trực tâm tam giác ABC. Tia MH cắt đường tròn (O) tại
K , đường thẳng AH cắt cạnh BC tại D và AE là đường kính của đường tròn (O) .
1. Chứng minh BAD = CAE.
2. Chứng minh rằng tứ giác BHCE là hình bình hành và H .
A HD = HK.HM .
3. Tia KD cắt đường tròn (O) tại I ( I khác K ), đường thẳng đi qua I và vuông góc với
đường thẳng BC cắt AM tại J . Chứng minh rằng các đường thẳng AK , BC và HJ cùng đi qua một điểm.
4.Một đường tròn thay đổi luôn tiếp xúc với AK tại A và cắt các cạnh AB, AC lần lượt tại
P, Q phân biệt. Gọi N là trung điểm của đoạn thẳng PQ . Chứng minh rằng đường thẳng AN
luôn đi qua một điểm cố định. 1 1 1
Câu V. (1,0 điểm)Cho a, b, c là ba số thực dương thỏa mãn điều kiện + + = 1. 2 2 2 a b c
Tìm giá trị lớn nhất của biểu thức: 1 1 1 P = + + . 2 2 2 2 2 2
5a + 2ab + 2b
5b + 2bc + 2c
5c + 2ca + 2a
SỞ GIÁO DỤC VÀ ĐÀO TẠO
KỲ THI TUYỂN SINH LỚP 10 THPT CHUYÊN HÀ NAM Năm học: 2023-2024
(Hướng dẫn chấm thi có 06 trang) ĐỀ CHÍNH THỨC
HƯỚNG DẪN CHẤM MÔN TOÁN (ĐỀ CHUYÊN) Ghi chú:
- Điểm toàn bài không làm tròn.
- Các cách giải khác mà đúng cho điểm tương đương. Nội dung Điểm
Câu I (2,0 điểm) .
x x −1 x +1 x − 2
Cho biểu thức A = −
với x 0, x 1, x 4. 1+ x + x x −1 x − x − 2
1.(1,5 điểm) Rút gọn biểu thức . A ( x)3 −1 x +1 x − 2 A = . − 0,5 1+
x + x ( x + ) 1 ( x − ) 1
( x + )1( x −2) ( x −1)(x + x + 1) x + 1 x − 2 = . − 0,25 1+ x + x ( x + ) 1 ( x − ) 1
( x + )1( x −2) ( = x − ) 1 1 1 − 0,25 x −1 x +1 = ( x − ) 2 1 ( 0,25 x − ) 1 ( x + ) 1 2 = . 0,25 + x 1
2.(0,5 điểm) Tìm tất cả các số nguyên của x để 2A −1 +1 = 2 . A 1
+) 2 A −1 +1 = 2 A 2 A −1 = 2 A −1 2 A −1 0 A 0,25 2 2 1 +)
x 3 x 9 x +1 2
Kết hợp với điều kiện x 0; x 1; x 4 x 0;2;3;5;6;7;8; 9 0,25
Câu II (2,0 điểm).
1.(1,0 điểm) Giải phương trình 2 2
(x −1) x + 6x +16 = 2x − 6x + 4. 2 2 2
(x −1) x + 6x + 16 = 2x − 6x + 4 (x −1) x + 6x +16 = (x −1)(2x − 4) 0,25 2
(x −1)( x + 6x +16 − 2x + 4) = 0
+) x −1 = 0 x = 1 0,25 2x − 4 0 +) 2
x + 6x +16 = 2x − 4 2 2
x + 6x +16 = (2x − 4) x 2 x 2 x = 0(l) 2 3
x − 22x = 0 22 x = (tm) 3 0,25 22
Phương trình đã cho có hai nghiệm x = 1; x = 0,25 3 3 2 3
2x + xy(2y − x) + 2x + 6x = xy + y + 3y (1)
2.(1,0 điểm) Giải hệ phương trình . 2 2 2
3(x + y) + 7 + 5x + 5y +14 = 4 − y − x (2) 2 3
(x + y) + 7 0 Điều kiện: 2 5
x + 5y +14 0
Phương trình (1) tương đương với 3 2 2 2 3
2x + 2xy − x y + 2x + 6x = xy + y + 3y 3 2 2 3 2
(2x − x y) + (2xy − y ) + (2x − xy) + (6x − 3y) = 0 2 2
x (2x − y) + y (2x − y) + x(2x − y) + 3(2x − y) = 0 2 2
(2x − y)(x + y + x + 3) = 0 0,25 1 11 2 2
(2x − y)[(x + ) + y + ] = 0 2 4
2x − y = 0 y = 2x 0,25
Thay y = 2x vào phương trình (2) ta được 2 2 2
3x + 6x + 7 + 5x +10x +14 = 4 − 2x − x 2 2 2
( 3x + 6x + 7 − 2) + ( 5x +10x +14 − 3) + (x + 2x +1) = 0 2 2 + + 3(x 1) 5(x 1) 2 + + (x +1) = 0 2 2 3x + 6x + 7 + 2 5x +10x +14 + 3 3 5 2 (x +1) ( + +1) = 0 2 2 3x + 6x + 7 + 2 5x +10x +14 + 3 0,25
3 5 Vì +
+1 0 nên phương trình tương đương với 2 2 3x + 6x + 7 + 2 5x +10x +14 + 3 2
(x +1) = 0 x +1 = 0 x = 1 − y = 2 − (t ) m
Vậy hệ phương trình có nghiệm ( ; x y) = ( 1 − ; 2 − ) 0,25
Câu III. (1,0 điểm) Tìm tất cả các số tự nhiên n để 2024 2027 2 2 2n +
+ là số chính phương.
Giả sử số tự nhiên n thỏa mãn đề bài. Khi đó tồn tại số nguyên dương k sao cho 2024 2027 n 2 2024 n 2 + + = + = ( 1012 + )( 1012 2 2 2 9.2 2 3.2 − 3.2 ) = 2n k k k k . 0,25 1012 k + 3.2 = 2a 1012 k −3.2 = 2b a b 1013 2 − 2 = 3.2 . 0,25
a,b ,a +b = n
2a−b −1= 3 b a−b 1013 − = 2 (2 1) 3.2 0,25 b 1013 2 = 2 a − b = 2 a = 1015 n = 2028 b = 1013 b = 1013
Vậy với n = 2028 thì 2024 2027 2 2 2n + + là số chính phương 0,25
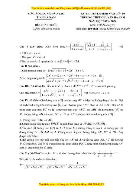
Câu IV. (4 điểm) Cho đường tròn (O) có dây cung BC cố định và không đi qua tâm O . Gọi A là điểm
di động trên đường tròn (O) sao cho tam giác ABC nhọn và AB AC. Gọi M là trung điểm của cạnh
BC và H là trực tâm tam giác ABC. Tia MH cắt đường tròn (O) tại K , đường thẳng AH cắt cạnh
BC tại D và AE là đường kính của đường tròn (O) . A K O H D B M C E
Đề thi vào 10 Chuyên Toán chính thức (cả nước) năm 2023-2024 có đáp án
1.6 K
805 lượt tải
150.000 ₫
MUA NGAY ĐỂ XEM TOÀN BỘ TÀI LIỆU
CÁCH MUA:
- B1: Gửi phí vào TK:
1053587071
- NGUYEN VAN DOAN - Ngân hàng Vietcombank (QR) - B2: Nhắn tin tới Zalo VietJack Official ( nhấn vào đây ) để xác nhận thanh toán và tải tài liệu - giáo án
Liên hệ ngay Hotline hỗ trợ: 084 283 45 85
Chúng tôi đảm bảo đủ số lượng đề đã cam kết hoặc có thể nhiều hơn, tất cả có BẢN WORD, LỜI GIẢI CHI TIẾT và tải về dễ dàng.
Để tải tài liệu gốc về máy bạn click vào nút Tải Xuống ở trên!
- Tailieugiaovien.com.vn giới thiệu Bộ 56 đề thi Chuyên chính thức vào 10 môn Toán các Tỉnh thành trên cả nước năm 2023-2024 nhằm giúp Giáo viên có thêm tài liệu tham khảo ra đề thi ôn luyện kì thi Chuyên Toán vào 10.
- File word có lời giải chi tiết 100%.
- Mua trọn bộ sẽ tiết kiệm hơn tải lẻ 50%.
Đánh giá
4.6 / 5(1610 )5
4
3
2
1

Trọng Bình
Tài liệu hay
Giúp ích cho tôi rất nhiều

Duy Trần
Tài liệu chuẩn
Rất thích tài liệu bên VJ soạn (bám sát chương trình dạy)