SỞ GIÁO DỤC VÀ ĐÀO TẠO
KỲ THI TUYỂN SINH LỚP 10
THÀNH PHỐ ĐÀ NẴNG
TRUNG HỌC PHỔ THÔNG NĂM 2018 MÔN THI: TOÁN
Thời gian làm bài: 120 phút
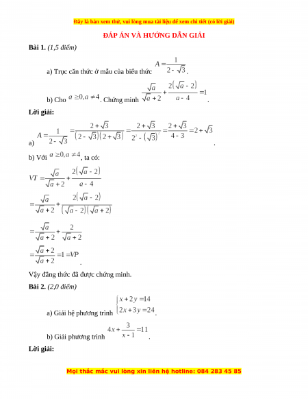
Bài 1. (1,5 điểm)
a) Trục căn thức ở mẫu của biểu thức . b) Cho . Chứng minh .
Bài 2. (2,0 điểm)
a) Giải hệ phương trình . b) Giải phương trình .
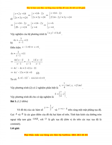
Bài 3. (1,5 điểm)
Vẽ đồ thị của các hàm số và
trên cùng một mặt phẳng tọa độ.
Gọi và là các giao điểm của đồ thị hai hàm số trên. Tính bán kính của đường tròn ngoại tiếp tam giác
, với là gốc tọa độ (đơn vị đo trên các trục tọa độ là centimét).
Bài 4. (1,0 điểm) Cho phương trình
, với là tham số. Tìm tất cả các
giá trị của để phương trình có hai nghiệm phân biệt thỏa mãn hệ thức .
Bài 5. (1,0 điểm)
Cạnh huyền của một tam giác vuông bằng 17 cm. Hai cạnh góc vuông có độ dài
hơn kém nhau 7 cm. Tính diện tích của tam giác vuông đó.
Bài 6. (3,0 điểm) Cho tam giác nhọn
nội tiếp trong đường tròn tâm có . Trên cung nhỏ lấy điểm khác thỏa mãn . Vẽ đường kính của đường tròn và gọi
lần lượt là hình chiếu vuông góc của trên . Chứng minh rằng: a) Bốn điểm
cùng nằm trên một đường tròn. b) . c) Khi điểm di động trên cung nhỏ thì đường thẳng luôn đi qua một điểm cố định.
-----------HẾT----------
ĐÁP ÁN VÀ HƯỚNG DẪN GIẢI
Bài 1. (1,5 điểm)
a) Trục căn thức ở mẫu của biểu thức . b) Cho . Chứng minh . Lời giải: a) . b) Với , ta có: .
Vậy đẳng thức đã được chứng minh.
Bài 2. (2,0 điểm)
a) Giải hệ phương trình . b) Giải phương trình . Lời giải:
a) .
Vậy nghiệm của hệ phương trình là . b) Điều kiện: . (2) Ta có: .
Vậy phương trình (2) có 2 nghiệm phân biệt là .
Vậy phương trình đã cho có tập nghiệm là .
Bài 3. (1,5 điểm)
Vẽ đồ thị của các hàm số và
trên cùng một mặt phẳng tọa độ.
Gọi và là các giao điểm của đồ thị hai hàm số trên. Tính bán kính của đường tròn ngoại tiếp tam giác
, với là gốc tọa độ (đơn vị đo trên các trục tọa độ là centimét). Lời giải:
Đề chính thức Toán vào 10 TP Đà Nẵng năm 2018 - 2019
701
351 lượt tải
MUA NGAY ĐỂ XEM TOÀN BỘ TÀI LIỆU
CÁCH MUA:
- B1: Gửi phí vào TK:
1053587071
- NGUYEN VAN DOAN - Ngân hàng Vietcombank (QR) - B2: Nhắn tin tới Zalo VietJack Official ( nhấn vào đây ) để xác nhận thanh toán và tải tài liệu - giáo án
Liên hệ ngay Hotline hỗ trợ: 084 283 45 85
Đề thi được cập nhật liên tục trong gói này từ nay đến hết tháng 6/2023. Chúng tôi đảm bảo đủ số lượng đề đã cam kết hoặc có thể nhiều hơn, tất cả có BẢN WORD, LỜI GIẢI CHI TIẾT và tải về dễ dàng.
Để tải tài liệu gốc về máy bạn click vào nút Tải Xuống ở trên!
Thuộc bộ (mua theo bộ để tiết kiệm hơn):
- Tailieugiaovien.com.vn giới thiệu tuyển tập đề thi môn Toán vào 10 TP Đà Nẵng từ năm 2015 - 2023 nhằm giúp Giáo viên có thêm tài liệu tham khảo ra đề thi Toán vào 10.
- File word có lời giải chi tiết 100%.
- Mua trọn bộ sẽ tiết kiệm hơn tải lẻ 50%.
Đánh giá
4.6 / 5(701 )5
4
3
2
1

Trọng Bình
Tài liệu hay
Giúp ích cho tôi rất nhiều

Duy Trần
Tài liệu chuẩn
Rất thích tài liệu bên VJ soạn (bám sát chương trình dạy)
TÀI LIỆU BỘ BÁN CHẠY MÔN Toán Học
Xem thêmTÀI LIỆU BỘ BÁN CHẠY Ôn vào 10
Xem thêmTài liệu bộ mới nhất

Đây là bản xem thử, vui lòng mua tài liệu để xem chi tiết (có lời giải)
SỞ GIÁO DỤC VÀ ĐÀO TẠO
THÀNH PHỐ ĐÀ NẴNG
KỲ THI TUYỂN SINH LỚP 10
TRUNG HỌC PHỔ THÔNG NĂM 2018
MÔN THI: TOÁN
Thời gian làm bài: 120 phút
Bài 1. (1,5 điểm)
a) Trục căn thức ở mẫu của biểu thức .
b) Cho . Chứng minh .
Bài 2. (2,0 điểm)
a) Giải hệ phương trình .
b) Giải phương trình .
Bài 3. (1,5 điểm)
Vẽ đồ thị của các hàm số và trên cùng một mặt phẳng tọa độ.
Gọi và là các giao điểm của đồ thị hai hàm số trên. Tính bán kính của đường tròn
ngoại tiếp tam giác , với là gốc tọa độ (đơn vị đo trên các trục tọa độ là
centimét).
Bài 4. (1,0 điểm)
Cho phương trình , với là tham số. Tìm tất cả các
giá trị của để phương trình có hai nghiệm phân biệt thỏa mãn hệ thức
.
Bài 5. (1,0 điểm)
Mọi thắc mắc vui lòng xin liên hệ hotline: 084 283 45 85

Đây là bản xem thử, vui lòng mua tài liệu để xem chi tiết (có lời giải)
Cạnh huyền của một tam giác vuông bằng 17 cm. Hai cạnh góc vuông có độ dài
hơn kém nhau 7 cm. Tính diện tích của tam giác vuông đó.
Bài 6. (3,0 điểm)
Cho tam giác nhọn nội tiếp trong đường tròn tâm có . Trên
cung nhỏ lấy điểm khác thỏa mãn . Vẽ đường kính của
đường tròn và gọi lần lượt là hình chiếu vuông góc của trên .
Chứng minh rằng:
a) Bốn điểm cùng nằm trên một đường tròn.
b) .
c) Khi điểm di động trên cung nhỏ thì đường thẳng luôn đi qua một
điểm cố định.
-----------HẾT----------
Mọi thắc mắc vui lòng xin liên hệ hotline: 084 283 45 85

Đây là bản xem thử, vui lòng mua tài liệu để xem chi tiết (có lời giải)
ĐÁP ÁN VÀ HƯỚNG DẪN GIẢI
Bài 1. (1,5 điểm)
a) Trục căn thức ở mẫu của biểu thức .
b) Cho . Chứng minh .
Lời giải:
a) .
b) Với , ta có:
.
Vậy đẳng thức đã được chứng minh.
Bài 2. (2,0 điểm)
a) Giải hệ phương trình .
b) Giải phương trình .
Lời giải:
Mọi thắc mắc vui lòng xin liên hệ hotline: 084 283 45 85

Đây là bản xem thử, vui lòng mua tài liệu để xem chi tiết (có lời giải)
a)
.
Vậy nghiệm của hệ phương trình là .
b)
Điều kiện: .
(2)
Ta có: .
Vậy phương trình (2) có 2 nghiệm phân biệt là .
Vậy phương trình đã cho có tập nghiệm là .
Bài 3. (1,5 điểm)
Vẽ đồ thị của các hàm số và trên cùng một mặt phẳng tọa độ.
Gọi và là các giao điểm của đồ thị hai hàm số trên. Tính bán kính của đường tròn
ngoại tiếp tam giác , với là gốc tọa độ (đơn vị đo trên các trục tọa độ là
centimét).
Lời giải:
Mọi thắc mắc vui lòng xin liên hệ hotline: 084 283 45 85

Đây là bản xem thử, vui lòng mua tài liệu để xem chi tiết (có lời giải)
+) Vẽ đồ thị hàm số .
Bảng giá trị:
– 4 – 2 0 2 4
– 8 – 2 0 – 2 – 8
Khi đó đồ thị hàm số có hình dạng là một parabol và đi qua các điểm (– 4; –
8), (– 2; – 2), (0; 0), (2; – 2), (4; – 8).
+) Vẽ đồ thị hàm số .
Với thì , với thì .
Khi đó đồ thị hàm số là một đường thẳng và đi qua các điểm (0; – 4), (4; 0).
Vẽ hai đồ thị lên cùng một hệ trục tọa độ ta được:
+) Phương trình hoành độ giao điểm của hàm số và là
Mọi thắc mắc vui lòng xin liên hệ hotline: 084 283 45 85