SỞ GIÁO DỤC VÀ ĐÀO TẠO
KỲ THI TUYỂN SINH LỚP 10
THÀNH PHỐ ĐÀ NẴNG
TRUNG HỌC PHỔ THÔNG NĂM 2020 – 2021 ĐỀ CHÍNH THỨC MÔN THI: TOÁN Thời gian: 120 phút
(Không tính thời gian giao đề)
Bài 1. (2,0 điểm)
a) Tính giá trị của biểu thức . b) Cho biểu thức với . Rút gọn biểu thức và tìm sao cho .
Bài 2. (1,5 điểm) Cho hàm số . a) Vẽ đồ thị của hàm số đã cho. b) Đường thẳng cắt đồ thị
tại hai điểm phân biệt và , trong đó điểm
có hoành độ dương. Gọi
là chân đường cao hạ từ của tam giác , với là gốc
toạ độ. Tính diện tích tam giác
(đơn vị đo trên các trục toạ độ là xentimet).
Bài 3. (1,5 điểm) a) Giải phương trình: .
b) Biết rằng phương trình
có hai nghiệm là và , không giải
phương trình, hãy tính giá trị của biểu thức: .
Bài 4. (2,0 điểm)
a) Một số tự nhiên nhỏ hơn bình phương của nó 20 đơn vị. Tìm số tự nhiên đó. b) Quãng đường
gồm một đoạn lên dốc và một đoạn xuống dốc. Một người đi xe
đạp từ đến hết 16 phút và đi từ về hết 14 phút. Biết vận tốc lúc lên dốc là
, vận tốc lúc xuống dốc là
(vận tốc lên dốc và xuống dốc lúc đi và về
như nhau). Tính quãng đường .
Bài 5. (3,0 điểm) Cho tam giác
nội tiếp trong đường tròn tâm đường kính . Trên cung nhỏ của đường tròn
lấy điểm (không trùng với và ). Gọi là chân đường vuông góc kẻ từ đến ( thuộc ) và là giao điểm của với .
a) Chứng minh rằng tứ giác là tứ giác nội tiếp. b) Chứng minh rằng .
c) Đường thẳng qua song song với , cắt tại . Chứng minh rằng
và đường tròn ngoại tiếp tam giác
đi qua trung điểm của đoạn .
HƯỚNG DẪN GIẢI
ĐỀ THI TUYỂN SINH LỚP 10 TRUNG HỌC PHỔ THÔNG NĂM 2020 – 2021
THÀNH PHỐ ĐÀ NẴNG MÔN TOÁN Bài 1. a) b) Với , ta có: .
Vậy . Để Vậy để thì . Bài 2. a) Xét hàm số có hệ số
nên hàm số đồng biến khi , nghịch biến khi
và đồ thị của hàm số là parabol có bề lõm quay lên trên. Ta có bảng giá trị: 0 2 4 8 2 0 2 8 Vậy đồ thị hàm số là parabol nhận trục
làm trục đối xứng và đi qua các điểm . Đồ thị hàm số:
Đề chính thức Toán vào 10 TP Đà Nẵng năm 2020 - 2021
864
432 lượt tải
MUA NGAY ĐỂ XEM TOÀN BỘ TÀI LIỆU
CÁCH MUA:
- B1: Gửi phí vào TK:
1053587071
- NGUYEN VAN DOAN - Ngân hàng Vietcombank (QR) - B2: Nhắn tin tới Zalo VietJack Official ( nhấn vào đây ) để xác nhận thanh toán và tải tài liệu - giáo án
Liên hệ ngay Hotline hỗ trợ: 084 283 45 85
Đề thi được cập nhật liên tục trong gói này từ nay đến hết tháng 6/2023. Chúng tôi đảm bảo đủ số lượng đề đã cam kết hoặc có thể nhiều hơn, tất cả có BẢN WORD, LỜI GIẢI CHI TIẾT và tải về dễ dàng.
Để tải tài liệu gốc về máy bạn click vào nút Tải Xuống ở trên!
Thuộc bộ (mua theo bộ để tiết kiệm hơn):
- Tailieugiaovien.com.vn giới thiệu tuyển tập đề thi môn Toán vào 10 TP Đà Nẵng từ năm 2015 - 2023 nhằm giúp Giáo viên có thêm tài liệu tham khảo ra đề thi Toán vào 10.
- File word có lời giải chi tiết 100%.
- Mua trọn bộ sẽ tiết kiệm hơn tải lẻ 50%.
Đánh giá
4.6 / 5(864 )5
4
3
2
1

Trọng Bình
Tài liệu hay
Giúp ích cho tôi rất nhiều

Duy Trần
Tài liệu chuẩn
Rất thích tài liệu bên VJ soạn (bám sát chương trình dạy)
TÀI LIỆU BỘ BÁN CHẠY MÔN Toán Học
Xem thêmTÀI LIỆU BỘ BÁN CHẠY Ôn vào 10
Xem thêmTài liệu bộ mới nhất

Đây là bản xem thử, vui lòng mua tài liệu để xem chi tiết (có lời giải)
SỞ GIÁO DỤC VÀ ĐÀO TẠO
THÀNH PHỐ ĐÀ NẴNG
ĐỀ CHÍNH THỨC
KỲ THI TUYỂN SINH LỚP 10
TRUNG HỌC PHỔ THÔNG NĂM 2020 – 2021
MÔN THI: TOÁN
Thời gian: 120 phút
(Không tính thời gian giao đề)
Bài 1. (2,0 điểm)
a) Tính giá trị của biểu thức .
b) Cho biểu thức với . Rút gọn biểu thức và
tìm sao cho .
Bài 2. (1,5 điểm)
Cho hàm số .
a) Vẽ đồ thị của hàm số đã cho.
b) Đường thẳng cắt đồ thị tại hai điểm phân biệt và , trong đó điểm
có hoành độ dương. Gọi là chân đường cao hạ từ của tam giác , với là gốc
toạ độ. Tính diện tích tam giác (đơn vị đo trên các trục toạ độ là xentimet).
Bài 3. (1,5 điểm)
a) Giải phương trình: .
Mọi thắc mắc vui lòng xin liên hệ hotline: 084 283 45 85

Đây là bản xem thử, vui lòng mua tài liệu để xem chi tiết (có lời giải)
b) Biết rằng phương trình có hai nghiệm là và , không giải
phương trình, hãy tính giá trị của biểu thức:
.
Bài 4. (2,0 điểm)
a) Một số tự nhiên nhỏ hơn bình phương của nó 20 đơn vị. Tìm số tự nhiên đó.
b) Quãng đường gồm một đoạn lên dốc và một đoạn xuống dốc. Một người đi xe
đạp từ đến hết 16 phút và đi từ về hết 14 phút. Biết vận tốc lúc lên dốc là
, vận tốc lúc xuống dốc là (vận tốc lên dốc và xuống dốc lúc đi và về
như nhau). Tính quãng đường .
Bài 5. (3,0 điểm)
Cho tam giác nội tiếp trong đường tròn tâm đường kính . Trên cung nhỏ
của đường tròn lấy điểm (không trùng với và ). Gọi là chân đường
vuông góc kẻ từ đến ( thuộc ) và là giao điểm của với .
a) Chứng minh rằng tứ giác là tứ giác nội tiếp.
b) Chứng minh rằng .
c) Đường thẳng qua song song với , cắt tại . Chứng minh rằng
và đường tròn ngoại tiếp tam giác đi qua trung điểm của đoạn .
Mọi thắc mắc vui lòng xin liên hệ hotline: 084 283 45 85

Đây là bản xem thử, vui lòng mua tài liệu để xem chi tiết (có lời giải)
HƯỚNG DẪN GIẢI
ĐỀ THI TUYỂN SINH LỚP 10 TRUNG HỌC PHỔ THÔNG NĂM 2020 – 2021
THÀNH PHỐ ĐÀ NẴNG
MÔN TOÁN
Bài 1.
a)
b) Với , ta có:
.
Mọi thắc mắc vui lòng xin liên hệ hotline: 084 283 45 85

Đây là bản xem thử, vui lòng mua tài liệu để xem chi tiết (có lời giải)
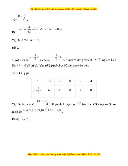
Vậy .
Để
Vậy để thì .
Bài 2.
a) Xét hàm số có hệ số nên hàm số đồng biến khi , nghịch biến
khi và đồ thị của hàm số là parabol có bề lõm quay lên trên.
Ta có bảng giá trị:
0 2 4
8 2 0 2 8
Vậy đồ thị hàm số là parabol nhận trục làm trục đối xứng và đi qua
các điểm .
Đồ thị hàm số:
Mọi thắc mắc vui lòng xin liên hệ hotline: 084 283 45 85

Đây là bản xem thử, vui lòng mua tài liệu để xem chi tiết (có lời giải)
b) Xét phương trình hoành độ giao điểm của và đường thẳng ta có:
Với ;
Với (do có hoành độ dương).
Mọi thắc mắc vui lòng xin liên hệ hotline: 084 283 45 85