SỞ GIÁO DỤC VÀ ĐÀO TẠO
KỲ THI TUYỂN SINH LỚP 10 THPT
THÀNH PHỐ HỒ CHÍ MINH NĂM HỌC 2022-2023
KHÓA NGÀY 11 THÁNG 6 NĂM 2022 ĐỀ CHÍNH THỨC Môn thi: Toán
Ngày thi: 12 tháng 6 năm 2022
Thời gian làm bài: 120 phút (Không kể thời gian phát đề) Bài 1. (1,5 điểm) Cho parabol và đường thẳng . a) Vẽ và
trên cùng hệ trục tọa độ.
b) Tìm tọa độ giao điểm và bằng phép tính.
Bài 2. (1,0 điểm) Cho phương trình có hai nghiệm là .
Không giải phương trình, hãy tính giá trị của biểu thức . Bài 3. (1,0 điểm)
Để đánh giá thể trạng (gầy, bình thường, thừa cân) của một người, người ta
thường dùng chỉ số BMI (Body Mass Index). Chỉ số BMI được tính dựa trên chiều cao
và cân nặng theo công thức sau: .
Đối với người trưởng thành, chỉ số này được đánh giá như sau: Phân loại BMI (kg/m2) Cân nặng thấp (gầy) Bình thường Thừa cân Tiền béo phì
Béo phì độ I Béo phì độ II Béo phì độ III
Hạnh và Phúc là hai người trưởng thành đang cần xác định thể trạng của mình.
a) Hạnh cân nặng 50 kg và cao 1,63 m. Hãy cho biết phân loại theo chỉ số BMI của Hạnh?
b) Phúc cao 1,73 m thì cân nặng trong khoảng nào để chỉ số BMI của Phúc ở mức bình
thường ? (làm tròn kết quả đến chữ số thập phân thứ nhất) Bài 4. (0,75 điểm)
Giá bán một cái bánh cùng loại ở hai cửa hàng A và B đều là 15 000 đồng, nhưng
mỗi cửa hàng áp dụng hình thức khuyến mãi khác nhau.
Cửa hàng A: đối với 3 cái bánh đầu tiên, giá mỗi cái là 15 000 đồng và từ cái bánh
thứ tư trở đi, khách hàng chỉ phải trả 75% giá bánh.
Cửa hàng B: cứ mua 3 cái bánh được tặng thêm 1 cái bánh cùng loại.
Bạn Hằng cần đúng 13 cái bánh để tổ chức sinh nhật thì bạn ấy nên mua bánh ở
cửa hàng nào để tiết kiệm và tiết kiệm được bao nhiêu tiền so với cửa hàng kia? Bài 5. (1,0 điểm)
Một vận động viên khi leo núi nhận thấy rằng
càng lên cao thì nhiệt độ không khí càng giảm. Mối
liên hệ giữa nhiệt độ không khí và độ cao (so với
chân núi) được cho bởi hàm số có đồ thị
như hình vẽ bên (nhiệt độ tính theo và độ cao tính theo mét)
Tại chân núi, người đó đo được nhiệt độ không khí là
và trung bình cứ lên cao 100 m thì nhiệt độ giảm . a) Xác định trong công thức trên.
b) Bạn Minh đang leo núi và dùng nhiệt kế đo được nhiệt độ không khí tại vị trí dừng chân là
Hỏi bạn Minh đang ở độ cao bao nhiêu mét so với chân núi ?
Bài 6. (1,0 điểm)
Một đống cát có dạng hình nón có chu vi đáy là 25,12 m và độ cao là 1,5 m.
a) Tính thể tích của đống cát trên ? Biết công thức tính chu vi đường tròn là
và công thức tính thể tích hình nón là
(trong đó R là bán kính đường tròn
đáy; h là chiều cao hình nón, lấy .
b) Người ta dùng xe cải tiến để vận chuyển đống cát đó đên khu xây dựng. Biết thùng
chứa của xe cải tiến có dạng hình hộp chữ nhật có kích thước dài 1 m, rộng 6 dm và cao
3 dm. Trong mỗi chuyến xe, thùng xe có thể chứa nhiều hơn thể tích thực của nó là 10%
để vận chuyển được nhiểu cát hơn. Hỏi cần ít nhất bao nhiêu chuyến xe cải tiến để
chuyển hết đống cát trên? Bài 7. (0,75 điểm)
Đại hội Thể thao Đông Nam Á – SEA Games (South East Asian Games) là sự
kiện thể thao được tổ chức 2 năm một lần với sự tham gia của các vận động viên trong
khu vực Đông Nam Á. Việt Nam là chủ nhà của SEA Games 31 diễn ra từ này
12/5/2022 đến ngày 23/5/2022.
Ở môn bóng đá nam, một bảng đấu gồm có 5 đội A, B, C, D, E thi đấu theo thể
thức vòng tròn một lượt (mỗi đội thi đấu đúng một trận với các đội còn lại). Trong mỗi
trận đấu, đội thắng được 3 điểm, đội hòa được 1 điểm và đội thua được 0 điểm.
a) Hỏi có tất cả bao nhiêu trận đấu đã diễn ra ở bảng đấu trên?
b) Khi kết thúc bảng đấu, các đội A, B, C, D, E lần lượt có điểm số là 10, 9, 6, 4, 0.
Hỏi có bao nhiêu trận hòa và cho biết đó là trận hòa giữa các đội nào (nếu có)? Bài 8. (3,0 điểm) Cho tam giác
có ba góc nhọn nội tiếp đường tròn . Gọi là điểm trên cung nhỏ sao cho Từ kẻ vuông góc với ( thuộc kẻ vuông góc với . Đường thẳng cắt tia tại . a) Chứng minh tứ giác nội tiếp và . b) Chứng minh tứ giác nội tiếp và . c) Gọi
lần lượt là trung điểm của Chứng minh vuông góc với . --HẾT--
Đề chính thức Toán vào 10 TP Hồ Chí Minh năm 2022 - 2023
2.1 K
1.1 K lượt tải
MUA NGAY ĐỂ XEM TOÀN BỘ TÀI LIỆU
CÁCH MUA:
- B1: Gửi phí vào TK:
1053587071
- NGUYEN VAN DOAN - Ngân hàng Vietcombank (QR) - B2: Nhắn tin tới Zalo VietJack Official ( nhấn vào đây ) để xác nhận thanh toán và tải tài liệu - giáo án
Liên hệ ngay Hotline hỗ trợ: 084 283 45 85
Đề thi được cập nhật liên tục trong gói này từ nay đến hết tháng 6/2023. Chúng tôi đảm bảo đủ số lượng đề đã cam kết hoặc có thể nhiều hơn, tất cả có BẢN WORD, LỜI GIẢI CHI TIẾT và tải về dễ dàng.
Để tải tài liệu gốc về máy bạn click vào nút Tải Xuống ở trên!
Thuộc bộ (mua theo bộ để tiết kiệm hơn):
- Tailieugiaovien.com.vn giới thiệu tuyển tập đề thi môn Toán vào 10 TP Hồ Chí Minh mới nhất qua các năm 2022 - 2023 nhằm giúp Giáo viên có thêm tài liệu tham khảo ra đề thi Toán vào 10.
- File word có lời giải chi tiết 100%.
- Mua trọn bộ sẽ tiết kiệm hơn tải lẻ 50%.
Đánh giá
4.6 / 5(2105 )5
4
3
2
1

Trọng Bình
Tài liệu hay
Giúp ích cho tôi rất nhiều

Duy Trần
Tài liệu chuẩn
Rất thích tài liệu bên VJ soạn (bám sát chương trình dạy)
TÀI LIỆU BỘ BÁN CHẠY MÔN Toán Học
Xem thêmTÀI LIỆU BỘ BÁN CHẠY Ôn vào 10
Xem thêmTài liệu bộ mới nhất

Đây là bản xem thử, vui lòng mua tài liệu để xem chi tiết (có lời giải)
SỞ GIÁO DỤC VÀ ĐÀO TẠO
THÀNH PHỐ HỒ CHÍ MINH
ĐỀ CHÍNH THỨC
KỲ THI TUYỂN SINH LỚP 10 THPT
NĂM HỌC 2022-2023
KHÓA NGÀY 11 THÁNG 6 NĂM 2022
Môn thi: Toán
Ngày thi: 12 tháng 6 năm 2022
Thời gian làm bài: 120 phút (Không kể thời
gian phát đề)
Bài 1. (1,5 điểm)
Cho parabol và đường thẳng .
a) Vẽ và trên cùng hệ trục tọa độ.
b) Tìm tọa độ giao điểm và bằng phép tính.
Bài 2. (1,0 điểm)
Cho phương trình có hai nghiệm là .
Không giải phương trình, hãy tính giá trị của biểu thức .
Bài 3. (1,0 điểm)
Để đánh giá thể trạng (gầy, bình thường, thừa cân) của một người, người ta
thường dùng chỉ số BMI (Body Mass Index). Chỉ số BMI được tính dựa trên chiều cao
và cân nặng theo công thức sau:
.
Đối với người trưởng thành, chỉ số này được đánh giá như sau:
Phân loại BMI (kg/m
2
)
Cân nặng thấp (gầy)
Bình thường
Thừa cân
Tiền béo phì
Mọi thắc mắc vui lòng xin liên hệ hotline: 084 283 45 85

Đây là bản xem thử, vui lòng mua tài liệu để xem chi tiết (có lời giải)
Béo phì độ I
Béo phì độ II
Béo phì độ III
Hạnh và Phúc là hai người trưởng thành đang cần xác định thể trạng của mình.
a) Hạnh cân nặng 50 kg và cao 1,63 m. Hãy cho biết phân loại theo chỉ số BMI của
Hạnh?
b) Phúc cao 1,73 m thì cân nặng trong khoảng nào để chỉ số BMI của Phúc ở mức bình
thường ? (làm tròn kết quả đến chữ số thập phân thứ nhất)
Bài 4. (0,75 điểm)
Giá bán một cái bánh cùng loại ở hai cửa hàng A và B đều là 15 000 đồng, nhưng
mỗi cửa hàng áp dụng hình thức khuyến mãi khác nhau.
Cửa hàng A: đối với 3 cái bánh đầu tiên, giá mỗi cái là 15 000 đồng và từ cái bánh
thứ tư trở đi, khách hàng chỉ phải trả 75% giá bánh.
Cửa hàng B: cứ mua 3 cái bánh được tặng thêm 1 cái bánh cùng loại.
Bạn Hằng cần đúng 13 cái bánh để tổ chức sinh nhật thì bạn ấy nên mua bánh ở
cửa hàng nào để tiết kiệm và tiết kiệm được bao nhiêu tiền so với cửa hàng kia?
Bài 5. (1,0 điểm)
Một vận động viên khi leo núi nhận thấy rằng
càng lên cao thì nhiệt độ không khí càng giảm. Mối
liên hệ giữa nhiệt độ không khí và độ cao (so với
chân núi) được cho bởi hàm số có đồ thị
như hình vẽ bên (nhiệt độ tính theo và độ cao
tính theo mét)
Tại chân núi, người đó đo được nhiệt độ không khí
là và trung bình cứ lên cao 100 m thì nhiệt độ
giảm .
a) Xác định trong công thức trên.
Mọi thắc mắc vui lòng xin liên hệ hotline: 084 283 45 85

Đây là bản xem thử, vui lòng mua tài liệu để xem chi tiết (có lời giải)
b) Bạn Minh đang leo núi và dùng nhiệt kế đo được nhiệt độ không khí tại vị trí dừng
chân là Hỏi bạn Minh đang ở độ cao bao nhiêu mét so với chân núi ?
Bài 6. (1,0 điểm)
Một đống cát có dạng hình nón có chu vi đáy là 25,12 m và độ cao là 1,5 m.
a) Tính thể tích của đống cát trên ? Biết công thức tính chu vi đường tròn là
và công thức tính thể tích hình nón là (trong đó R là bán kính đường tròn
đáy; h là chiều cao hình nón, lấy .
b) Người ta dùng xe cải tiến để vận chuyển đống cát đó đên khu xây dựng. Biết thùng
chứa của xe cải tiến có dạng hình hộp chữ nhật có kích thước dài 1 m, rộng 6 dm và cao
3 dm. Trong mỗi chuyến xe, thùng xe có thể chứa nhiều hơn thể tích thực của nó là 10%
để vận chuyển được nhiểu cát hơn. Hỏi cần ít nhất bao nhiêu chuyến xe cải tiến để
chuyển hết đống cát trên?
Bài 7. (0,75 điểm)
Đại hội Thể thao Đông Nam Á – SEA Games (South East Asian Games) là sự
kiện thể thao được tổ chức 2 năm một lần với sự tham gia của các vận động viên trong
khu vực Đông Nam Á. Việt Nam là chủ nhà của SEA Games 31 diễn ra từ này
12/5/2022 đến ngày 23/5/2022.
Ở môn bóng đá nam, một bảng đấu gồm có 5 đội A, B, C, D, E thi đấu theo thể
thức vòng tròn một lượt (mỗi đội thi đấu đúng một trận với các đội còn lại). Trong mỗi
trận đấu, đội thắng được 3 điểm, đội hòa được 1 điểm và đội thua được 0 điểm.
a) Hỏi có tất cả bao nhiêu trận đấu đã diễn ra ở bảng đấu trên?
Mọi thắc mắc vui lòng xin liên hệ hotline: 084 283 45 85

Đây là bản xem thử, vui lòng mua tài liệu để xem chi tiết (có lời giải)
b) Khi kết thúc bảng đấu, các đội A, B, C, D, E lần lượt có điểm số là 10, 9, 6, 4, 0.
Hỏi có bao nhiêu trận hòa và cho biết đó là trận hòa giữa các đội nào (nếu có)?
Bài 8. (3,0 điểm)
Cho tam giác có ba góc nhọn nội tiếp đường tròn . Gọi là
điểm trên cung nhỏ sao cho Từ kẻ vuông góc với ( thuộc
kẻ vuông góc với . Đường thẳng cắt tia tại .
a) Chứng minh tứ giác nội tiếp và .
b) Chứng minh tứ giác nội tiếp và .
c) Gọi lần lượt là trung điểm của Chứng minh vuông góc với .
--HẾT--
Mọi thắc mắc vui lòng xin liên hệ hotline: 084 283 45 85

Đây là bản xem thử, vui lòng mua tài liệu để xem chi tiết (có lời giải)
ĐÁP ÁN VÀ HƯỚNG DẪN GIẢI
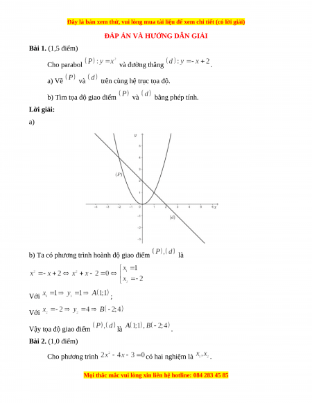
Bài 1. (1,5 điểm)
Cho parabol và đường thẳng .
a) Vẽ và trên cùng hệ trục tọa độ.
b) Tìm tọa độ giao điểm và bằng phép tính.
Lời giải:
a)
b) Ta có phương trình hoành độ giao điểm là
Với ;
Với
Vậy tọa độ giao điểm là .
Bài 2. (1,0 điểm)
Cho phương trình có hai nghiệm là .
Mọi thắc mắc vui lòng xin liên hệ hotline: 084 283 45 85