B. Đề kiểm tra giữa kì I ĐỀ SỐ 05
KIỂM TRA GIỮA HỌC KÌ I
NĂM HỌC 2023 – 2024
MÔN: TOÁN – LỚP 11
Thời gian: 90 phút (không kể thời gian giao đề)
PHẦN I. TRẮC NGHIỆM KHÁCH QUAN (7,0 điểm)
Hãy khoanh tròn vào phương án đúng duy nhất trong mỗi câu dưới đây.
Câu 1. Quy ước chọn chiều dương của một đường tròn định hướng là
A. Luôn cùng chiều quay kim đồng hồ.
B. Luôn ngược chiều quay kim đồng hồ.
C. Có thể cùng chiều quay kim đồng hồ mà cũng có thể ngược chiều quay kim đồng hồ.
D. Không cùng chiều quay kim đồng hồ và cũng
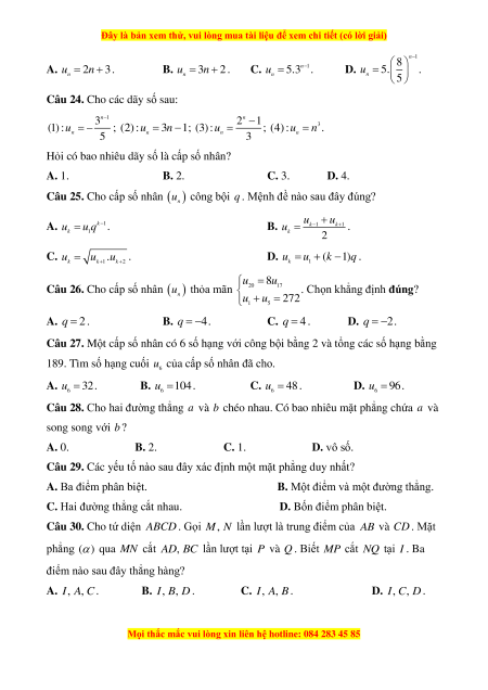
không ngược chiều quay kim đồng hồ. y N M
Câu 2. Trong mặt phẳng tọa độ Oxy, trên đường tròn
lượng giác như hình vẽ bên dưới. Điểm nào trong bốn x O A
đáp án A, B, C, D biểu diễn cho góc lượng giác có số đo bằng 4 05? P Q
A. Điểm N. B. Điểm M . C. Điểm . P D. Điểm . P
Câu 3. Đổi số đo của góc sang độ. 3 A. 90 . B. 30 . C. 60 . D. 45 . 5
Câu 4. Cho 2
. Khẳng định nào sau đây là đúng? 2
A. tan 0, cot 0.
B. tan 0, cot 0 .
C. tan 0, cot 0 .
D. tan 0, cot 0 .
Câu 5. Với mọi
thì tan(2017 ) bằng
A. tan x . B. cot x .
C. tan x . D. cot x . 3
Câu 6. Cho góc thỏa mãn 5 cos và
. Khẳng định nào sau đây 3 2 đúng? 3 2 4 2 A. tan . B. tan . C. tan . D. tan . 5 5 5 5
Câu 7. Khẳng định nào đúng trong các khẳng định sau?
A. sin a cos a 2 sin a .
B. sin a cos a 2 sin a . 4 4
C. sin a cos a 2 sin a .
D. sin a cos a 2 sin a . 4 4
Câu 8. Trong các mệnh đề sau, mệnh đề nào đúng?
A. 1 sin 2x cos 2x 2 2 cos . x cos x . 4
B. 1 sin 2x cos 2x 2 2 sin . x cos x . 4
C. 1 sin 2x cos 2x 2cos .
x sin x cos x.
D. 1 sin 2x cos 2x 2 2 cos . x cos x . 4
Câu 9. Biến đổi biểu thức A 4sin . x sin 2 .
x sin 3x thành tổng, ta được
A. A sin 4x cos 2x sin 6x .
B. A sin 4x cos 2x sin 6x .
C. A sin 4x sin 2x sin 6x .
D. A sin 4x sin 2x sin 6x .
Câu 10. Trong các hàm số sau, hàm số nào là hàm số chẵn? A. y sin . x B. y cos . x C. y tan . x D. y cot . x
Câu 11. Mệnh đề nào sau đây là sai?
A. Hàm số y sin x tuần hoàn với chu kì 2 .
B. Hàm số y cos x tuần hoàn với chu kì 2 .
C. Hàm số y tan x tuần hoàn với chu kì 2 .
D. Hàm số y cot x tuần hoàn với chu kì . x
Câu 12. Tìm tập xác định D của hàm số cos y . sin x 2 A. D
\ k ,k Z. B. D
\ k ,k Z . 2 C. D
\ k ,k . D. D
\ 2k ,k Z . 2
Câu 13. Nghiệm của phương trình cos x 1 là
A. x k . B. x k2 .
C. x k2 . D. x k . 2 2
Câu 14. Tất cả nghiệm của phương trình tan 2x tan là 11 A. x
k ,k . B. x
k ,k . 11 22 C. x
k2 ,k . D. x k ,k . 22 22 2
Câu 15. Tất cả nghiệm của phương trình sin 2x sin 3x là 2 A. x k , k .
B. x k 2 , k . 5 5
C. x k2 và x
k2 ,k . D. x k2 và 5 2 x k , k . 5 5
Câu 16. Tập nghiệm của phương trình 2sin 2x 1 0 là 7 A. S k ,
k , k . B. 12 12 7 S k2 ,
k2 , k . 6 12 7 7 C. S k2 ,
k2 , k . D. S k ,
k , k . 12 12 6 12
Câu 17. Trong các dãy số u cho bởi số hạng tổng quát u sau, dãy số nào là dãy n n số tăng? 2 3 n A. u . B. u .
C. u 2n . D. u . n 2 n 3n n n n
Câu 18. Mệnh đề nào sau đây đúng? A. Dãy số 1 u
2 là dãy tăng. B. Dãy số u ( 1
)n 2n là dãy giảm. n 1 n n n C. Dãy số 1 u u n là dãy tăng. n
n là dãy giảm. D. Dãy số 1 2 cos 1 n n n
Câu 19. Cho dãy số u biết 3 1 u
. Dãy số u bị chặn trên bởi số nào dưới n n n 3n 1 đây? 1 1 A. . B. 1. C. . D. 0. 3 2
Câu 20. Trong các dãy số sau, dãy số nào là một cấp số cộng? A. 1; 2 ; 4 ; 6 ; 8 . B. 1; 3 ; 6 ; 9 ; 12 . C. 1; 3 ; 7 ; 11 ; 15 . D. 1; 3 ; 5 ; 7 ; 9 .
Câu 21. Trong các dãy số sau, dãy số nào là một cấp số cộng? A. u ( 1
)n(2n 1). B. u sin . n n n u 1 u 1 C. 1 . D. 1 . u u 1 u 2u n n 1 n n 1 1 1
Câu 22. Cho cấp số cộng u có u và d . Gọi S là tổng 5 số hạng đầu n 1 4 4 5
tiên của cấp số cộng đã cho. Mệnh đề nào sau đây đúng? 4 4 5 5
A. S . B. S . C. S . D. S . 5 5 5 5 5 4 5 4
Câu 23. Tổng n số hạng đầu tiên của một cấp số cộng là 2
S n 4n với n *. n
Tìm số hạng tổng quát u của cấp số cộng đã cho. n
Đề thi giữa kì 1 Toán 11 Chân trời sáng tạo (đề 5)
545
273 lượt tải
MUA NGAY ĐỂ XEM TOÀN BỘ TÀI LIỆU
CÁCH MUA:
- B1: Gửi phí vào TK:
1053587071
- NGUYEN VAN DOAN - Ngân hàng Vietcombank (QR) - B2: Nhắn tin tới Zalo VietJack Official ( nhấn vào đây ) để xác nhận thanh toán và tải tài liệu - giáo án
Liên hệ ngay Hotline hỗ trợ: 084 283 45 85
Chúng tôi đảm bảo đủ số lượng đề đã cam kết hoặc có thể nhiều hơn, tất cả có BẢN WORD, LỜI GIẢI CHI TIẾT và tải về dễ dàng.
Để tải tài liệu gốc về máy bạn click vào nút Tải Xuống ở trên!
Thuộc bộ (mua theo bộ để tiết kiệm hơn):
- Tailieugiaovien.com.vn giới thiệu bộ 10 đề giữa kì 1 gồm đầy đủ ma trận và lời giải chi tiết môn Toán 11 bộ Chân trời sáng tạo mới nhất năm 2023 - 2024 nhằm giúp Giáo viên có thêm tài liệu tham khảo ra đề thi Toán lớp 11.
- File word có lời giải chi tiết 100%.
- Mua trọn bộ sẽ tiết kiệm hơn tải lẻ 50%.
Đánh giá
4.6 / 5(545 )5
4
3
2
1

Trọng Bình
Tài liệu hay
Giúp ích cho tôi rất nhiều

Duy Trần
Tài liệu chuẩn
Rất thích tài liệu bên VJ soạn (bám sát chương trình dạy)
TÀI LIỆU BỘ BÁN CHẠY MÔN Toán Học
Xem thêmTÀI LIỆU BỘ BÁN CHẠY Lớp 11
Xem thêmTài liệu bộ mới nhất

Đây là bản xem thử, vui lòng mua tài liệu để xem chi tiết (có lời giải)
Mọi thắc mắc vui lòng xin liên hệ hotline: 084 283 45 85
B. Đề kiểm tra giữa kì I
ĐỀ SỐ 05
KIỂM TRA GIỮA HỌC KÌ I
NĂM HỌC 2023 – 2024
MÔN: TOÁN – LỚP 11
Thời gian: 90 phút (không kể thời gian giao đề)
PHẦN I. TRẮC NGHIỆM KHÁCH QUAN (7,0 điểm)
Hãy khoanh tròn vào phương án đúng duy nhất trong mỗi câu dưới đây.
Câu 1. Quy ước chọn chiều dương của một đường tròn định hướng là
A. Luôn cùng chiều quay kim đồng hồ.
B. Luôn ngược chiều quay kim đồng hồ.
C. Có thể cùng chiều quay kim đồng hồ mà cũng có thể ngược chiều quay kim đồng
hồ.
D. Không cùng chiều quay kim đồng hồ và cũng
không ngược chiều quay kim đồng hồ.
Câu 2. Trong mặt phẳng tọa độ
,Oxy
trên đường tròn
lượng giác như hình vẽ bên dưới. Điểm nào trong bốn
đáp án A, B, C, D biểu diễn cho góc lượng giác có số
đo bằng
405 ?
A. Điểm
.N
B. Điểm
.M
C. Điểm
.P
D. Điểm
.P
Câu 3. Đổi số đo của góc
3
sang độ.
A.
90 .
B.
30 .
C.
60 .
D.
45 .
Câu 4. Cho
5
2
2
. Khẳng định nào sau đây là đúng?
A.
tan 0, cot 0
. B.
tan 0, cot 0
.
C.
tan 0, cot 0
. D.
tan 0, cot 0
.
Câu 5. Với mọi
thì
tan(2017 )
bằng
y
x
N
Q
P
M
O
A

Đây là bản xem thử, vui lòng mua tài liệu để xem chi tiết (có lời giải)
Mọi thắc mắc vui lòng xin liên hệ hotline: 084 283 45 85
A.
tan x
. B.
cot x
. C.
tan x
. D.
cot x
.
Câu 6. Cho góc
thỏa mãn
5
cos
3
và
3
2
. Khẳng định nào sau đây
đúng?
A.
3
tan
5
. B.
2
tan
5
. C.
4
tan
5
. D.
2
tan
5
.
Câu 7. Khẳng định nào đúng trong các khẳng định sau?
A.
sin cos 2sin
4
a a a
. B.
sin cos 2sin
4
a a a
.
C.
sin cos 2sin
4
a a a
. D.
sin cos 2sin
4
a a a
.
Câu 8. Trong các mệnh đề sau, mệnh đề nào đúng?
A.
1 sin2 cos2 2 2cos .cos .
4
x x x x
B.
1 sin2 cos2 2 2sin .cos .
4
x x x x
C.
1 sin2 cos2 2cos . sin cos .x x x x x
D.
1 sin2 cos2 2 2cos .cos .
4
x x x x
Câu 9. Biến đổi biểu thức
4sin .sin2 .sin3A x x x
thành tổng, ta được
A.
sin4 cos2 sin6A x x x
. B.
sin4 cos2 sin6A x x x
.
C.
sin4 sin2 sin6A x x x
. D.
sin4 sin2 sin6A x x x
.
Câu 10. Trong các hàm số sau, hàm số nào là hàm số chẵn?
A.
sin .yx
B.
cos .yx
C.
tan .yx
D.
cot .yx
Câu 11. Mệnh đề nào sau đây là sai?
A. Hàm số
sinyx
tuần hoàn với chu kì
2.
B. Hàm số
cosyx
tuần hoàn với chu kì
2.
C. Hàm số
tanyx
tuần hoàn với chu kì
2.

Đây là bản xem thử, vui lòng mua tài liệu để xem chi tiết (có lời giải)
Mọi thắc mắc vui lòng xin liên hệ hotline: 084 283 45 85
D. Hàm số
cotyx
tuần hoàn với chu kì
.
Câu 12. Tìm tập xác định
D
của hàm số
cos
.
sin
2
x
y
x
A.
D \ , .
2
kk
Z
B.
D \ , .kk
Z
C.
D \ , .
2
kk
D.
D \ 2 , .kk
Z
Câu 13. Nghiệm của phương trình
cos 1x
là
A.
xk
. B.
2
2
xk
. C.
2xk
. D.
2
xk
.
Câu 14. Tất cả nghiệm của phương trình
tan2 tan
11
x
là
A.
,
11
x k k
. B.
,
22
x k k
.
C.
2,
22
x k k
. D.
,
22 2
x k k
.
Câu 15. Tất cả nghiệm của phương trình
sin2 sin3xx
là
A.
2
,
55
x k k
. B.
2,x k k
.
C.
2xk
và
2,
5
x k k
. D.
2xk
và
2
,.
55
x k k
Câu 16. Tập nghiệm của phương trình
2sin2 1 0x
là
A.
7
,,
12 12
S k k k
. B.
7
2 , 2 , .
6 12
S k k k
C.
7
2 , 2 ,
12 12
S k k k
. D.
7
, , .
6 12
S k k k

Đây là bản xem thử, vui lòng mua tài liệu để xem chi tiết (có lời giải)
Mọi thắc mắc vui lòng xin liên hệ hotline: 084 283 45 85
Câu 17. Trong các dãy số
n
u
cho bởi số hạng tổng quát
n
u
sau, dãy số nào là dãy
số tăng?
A.
2
3
n
n
u
. B.
3
n
u
n
. C.
2
n
n
u
. D.
2
n
n
u
.
Câu 18. Mệnh đề nào sau đây đúng?
A. Dãy số
1
2
n
u
n
là dãy tăng. B. Dãy số
( 1) 2 1
nn
n
u
là dãy giảm.
C. Dãy số
1
1
n
n
u
n
là dãy giảm. D. Dãy số
1
2 cos
n
un
n
là dãy tăng.
Câu 19. Cho dãy số
n
u
biết
31
31
n
n
u
n
. Dãy số
n
u
bị chặn trên bởi số nào dưới
đây?
A.
1
3
. B. 1. C.
1
2
. D. 0.
Câu 20. Trong các dãy số sau, dãy số nào là một cấp số cộng?
A.
1; 2; 4; 6; 8
. B.
1; 3; 6; 9; 12
.
C.
1; 3; 7; 11; 15
. D.
1; 3; 5; 7; 9
.
Câu 21. Trong các dãy số sau, dãy số nào là một cấp số cộng?
A.
( 1) (2 1)
n
n
un
. B.
sin
n
u
n
.
C.
1
1
1
1
nn
u
uu
. D.
1
1
1
2
nn
u
uu
.
Câu 22. Cho cấp số cộng
n
u
có
1
1
4
u
và
1
4
d
. Gọi
5
S
là tổng 5 số hạng đầu
tiên của cấp số cộng đã cho. Mệnh đề nào sau đây đúng?
A.
5
4
5
S
. B.
5
4
5
S
. C.
5
5
4
S
. D.
5
5
4
S
.
Câu 23. Tổng
n
số hạng đầu tiên của một cấp số cộng là
2
4
n
S n n
với
*n
.
Tìm số hạng tổng quát
n
u
của cấp số cộng đã cho.

Đây là bản xem thử, vui lòng mua tài liệu để xem chi tiết (có lời giải)
Mọi thắc mắc vui lòng xin liên hệ hotline: 084 283 45 85
A.
23
n
un
. B.
32
n
un
. C.
1
5.3
n
n
u
. D.
1
8
5.
5
n
n
u
.
Câu 24. Cho các dãy số sau:
1
3
(1):
5
n
n
u
;
(2): 3 1
n
un
;
21
(3):
3
n
n
u
;
3
(4):
n
un
.
Hỏi có bao nhiêu dãy số là cấp số nhân?
A. 1. B. 2. C. 3. D. 4.
Câu 25. Cho cấp số nhân
n
u
công bội
q
. Mệnh đề nào sau đây đúng?
A.
1
1
k
k
u u q
. B.
11
2
kk
k
uu
u
.
C.
12
.
k k k
u u u
. D.
1
( 1)
k
u u k q
.
Câu 26. Cho cấp số nhân
n
u
thỏa mãn
20 17
15
8
272
uu
uu
. Chọn khẳng định đúng?
A.
2q
. B.
4q
. C.
4q
. D.
2q
.
Câu 27. Một cấp số nhân có 6 số hạng với công bội bằng 2 và tổng các số hạng bằng
189. Tìm số hạng cuối
6
u
của cấp số nhân đã cho.
A.
6
32u
. B.
6
104u
. C.
6
48u
. D.
6
96u
.
Câu 28. Cho hai đường thẳng
a
và
b
chéo nhau. Có bao nhiêu mặt phẳng chứa
a
và
song song với
b
?
A. 0. B. 2. C. 1. D. vô số.
Câu 29. Các yếu tố nào sau đây xác định một mặt phẳng duy nhất?
A. Ba điểm phân biệt. B. Một điểm và một đường thẳng.
C. Hai đường thẳng cắt nhau. D. Bốn điểm phân biệt.
Câu 30. Cho tứ diện
ABCD
. Gọi
,MN
lần lượt là trung điểm của
AB
và
CD
. Mặt
phẳng
()
qua
MN
cắt
,AD BC
lần lượt tại
P
và
Q
. Biết
MP
cắt
NQ
tại
I
. Ba
điểm nào sau đây thẳng hàng?
A.
,,I A C
. B.
,,I B D
. C.
,,I A B
. D.
,,I C D
.

Đây là bản xem thử, vui lòng mua tài liệu để xem chi tiết (có lời giải)
Mọi thắc mắc vui lòng xin liên hệ hotline: 084 283 45 85
Câu 31. Cho tứ diện
ABCD
. Gọi
, MN
lần lượt là các điểm thuộc
, AB AC
. Giao
tuyến của hai mặt phẳng
( )DBN
và
( )DCM
là
A.
DG
với
G
là trung điểm của
BN
.
B.
DG
với
G
là giao điểm của
BN
và
CM
.
C.
DG
với
G
là tâm đường tròn ngoại tiếp tam giác
ABC
.
D.
DG
với
G
là trọng tâm tam giác
ABC
.
Câu 32. Trong các mệnh đề sau, mệnh đề nào sai?
A. Hai đường thẳng chéo nhau thì không có điểm chung.
B. Hai đường thẳng không có điểm chung thì chéo nhau.
C. Hai đường thẳng phân biệt không cắt nhau và không song song thì chéo nhau.
D. Hai đường thẳng phân biệt không chéo nhau thì hoặc cắt nhau hoặc song song.
Câu 33. Hai đường thẳng được gọi là song song nếu
A. chúng không có điểm chung.
B. chúng có một điểm chung duy nhất.
C. chúng đồng phẳng và không có điểm chung.
D. chúng đồng phẳng.
Câu 34. Cho hình chóp
.S ABCD
có
AD
không song song với
BC
. Gọi
, , , , ,M N P Q R T
lần lượt là trung điểm của
, , , , ,AC BD BC CD SA SD
. Cặp đường
thẳng nào sau đây song song với nhau?
A.
MP
và
RT
. B.
MQ
và
RT
. C.
MN
và
RT
. D.
PQ
và
RT
.
Câu 35. Cho tứ diện
ABCD
. Các điểm
,PQ
lần lượt là trung điểm của
AB
và
CD
;
điểm
R
nằm trên cạnh
BC
sao cho
2BR RC
. Gọi
S
là giao điểm của mặt phẳng
()PQR
và cạnh
AD
. Tính tỉ số
SA
SD
.
A. 2. B. 1. C.
1
2
. D.
1
3
.
II. Tự luận (3,0 điểm)
Bài 1. (1,0 điểm) Giải phương trình:

Đây là bản xem thử, vui lòng mua tài liệu để xem chi tiết (có lời giải)
Mọi thắc mắc vui lòng xin liên hệ hotline: 084 283 45 85
a)
cot 30 cot
2
x
x
; b)
sin2 cos3xx
.
Bài 2. (1,0 điểm) Người ta thiết kế một cái tháp gồm 11 tầng. Diện tích bề mặt trên
của mỗi tầng bằng nửa diện tích của mặt trên của tầng ngay bên dưới và diện tích mặt
trên của tầng 1 bằng nửa diện tích của đế tháp (có diện tích là
2
12 288 m
). Tính diện
tích mặt trên cùng.
Bài 3. (1,0 điểm) Cho hình chóp
.S ABCD
có đáy
ABCD
là hình bình hành tâm
O
.
Gọi
,MN
lần lượt là trung điểm của
AD
và
SB
.
a) Tìm giao tuyến của hai mặt phẳng
()SAB
và
()SCD
.
b) Chứng minh
ON
song song với mặt phẳng
()SAD
.
c) Tìm giao điểm của đường thẳng
MN
và mặt phẳng
()SAC
.
-------------- HẾT --------------

Đây là bản xem thử, vui lòng mua tài liệu để xem chi tiết (có lời giải)
Mọi thắc mắc vui lòng xin liên hệ hotline: 084 283 45 85
C. Đáp án và hướng dẫn giải đề kiểm tra giữa kì I
ĐÁP ÁN ĐỀ SỐ 05
I. Bảng đáp án trắc nghiệm
1. B
2. D
3. C
4. A
5. C
6. B
7. B
8. A
9. D
10. B
11. C
12. C
13. C
14. D
15. D
16. A
17. C
18. D
19. B
20. C
21. C
22. D
23. A
24. A
25. A
26. A
27. D
28. C
29. C
30. B
31. B
32. B
33. C
34. B
35. A
II. Hướng dẫn giải chi tiết trắc nghiệm
Câu 1.
Đáp án đúng là: B
Quy ước chọn chiều dương của một đường tròn định hướng luôn ngược chiều quay
kim đồng hồ.
Câu 2.
Đáp án đúng là: D
Ta có
405 45 360
nên điểm biểu diễn của góc có số đo bằng
405
trùng
với góc có số do bằng
45 .
Mà số đo góc lượng giác
,OA OQ
bằng
45
nên điểm
Q
là điểm biểu diễn của
góc có số đo bằng
405
trên đường tròn lượng giác.
Câu 3.
Đáp án đúng là: C
Ta có:
o
180
. 60 .
33
Câu 4.
Đáp án đúng là: A
Ta có
5
2
2
nên điểm cuối cung
thuộc góc phần tư thứ nhất.
Do đó
tan 0, cot 0
.

Đây là bản xem thử, vui lòng mua tài liệu để xem chi tiết (có lời giải)
Mọi thắc mắc vui lòng xin liên hệ hotline: 084 283 45 85
Câu 5.
Đáp án đúng là: C
Ta có
tan(2017 ) tan x
.
Câu 6.
Đáp án đúng là: B
Ta có
2
2
sin 1 cos
3
3
2
Suy ra
2
sin
3
.
Do đó
sin 2
tan
cos
5
.
Câu 7.
Đáp án đúng là: B
Khẳng định đúng là
sin cos 2sin
4
a a a
.
Câu 8.
Đáp án đúng là: A
Ta có
2
1 sin2 cos2 2sin cos 2cos 2cos (sin cos )x x x x x x x x
.
Mà
11
sin cos 2 cos sin 2cos .
4
22
x x x x x
Vậy
1 sin2 cos2 2 2cos cos .
4
x x x x
Câu 9.
Đáp án đúng là: D
Áp dụng quy tắc từ tích sang tổng, ta được:
4sin .sin2 .sin3 2 cos cos3 sin3 sin4 sin2 sin6A x x x x x x x x x
.
Câu 10.

Đây là bản xem thử, vui lòng mua tài liệu để xem chi tiết (có lời giải)
Mọi thắc mắc vui lòng xin liên hệ hotline: 084 283 45 85
Đáp án đúng là: B
Hàm số
cosyx
là hàm số chẵn.
Câu 11.
Đáp án đúng là: C
Mệnh đề sai là: Hàm số
tanyx
tuần hoàn với chu kì
2.
Vì hàm số
tanyx
tuần hoàn với chu kì
.
Câu 12.
Đáp án đúng là: C
Hàm số xác định khi và chỉ khi
sin 0 , .
2 2 2
x x k x k k
Vậy tập xác định
D \ , .
2
kk
Câu 13.
Đáp án đúng là: C
Ta có
cos 1 2 ,x x k k
.
Câu 14.
Đáp án đúng là: D
tan2 tan
11
x
,
22 2
x k k
.
Câu 15.
Đáp án đúng là: D
2
3 2 2
sin2 sin3
2
3 2 2
55
xk
x x k
xx
x x k
xk
, với
k
.
Câu 16.
Đáp án đúng là: A
1
2sin2 1 0 sin2 sin2 sin
22
x x x

Đây là bản xem thử, vui lòng mua tài liệu để xem chi tiết (có lời giải)
Mọi thắc mắc vui lòng xin liên hệ hotline: 084 283 45 85
22
6
,
7
22
6
xk
k
xk
12
,
7
12
xk
k
xk
.
Câu 17.
Đáp án đúng là: C
Dãy số
2
n
n
u
là dãy số tăng.
Câu 18.
Đáp án đúng là: D
Ta có
1
1 1 1
2 cos 2 cos cos 0
12
nn
u n u
n n n
.
Do đó dãy số
1
2 cos
n
un
n
là dãy tăng.
Câu 19.
Đáp án đúng là: B
Ta có
3 1 2
11
3 1 3 1
n
n
u
nn
.
Mặt khác:
2
51
0
72
u
nên suy ra dãy số
n
u
bị chặn trên bởi số 1.
Câu 20.
Đáp án đúng là: C
Ta thấy dãy số
1; 3; 7; 11; 15
là một cấp số cộng có số hạng đầu là 1 và công sai
là
4
.
Câu 21.

Đây là bản xem thử, vui lòng mua tài liệu để xem chi tiết (có lời giải)
Mọi thắc mắc vui lòng xin liên hệ hotline: 084 283 45 85
Đáp án đúng là: C
Dãy
n
u
là một cấp số cộng nên
1nn
u u d
(
d
là hằng số).
Vậy dãy số
1
1
1
1
nn
u
uu
là cấp số cộng.
Câu 22.
Đáp án đúng là: D
Ta có
1
1
4
1
4
u
d
Do đó
51
5.4 1 1 5
5 5. 10.
2 4 4 4
S u d
.
Câu 23.
Đáp án đúng là: A
Ta có
22
1
4
22
n
dd
n n S n u n
1
1
1
5
2
2
4
2
d
u
d
d
u
.
Do đó
23
n
un
.
Câu 24.
Đáp án đúng là: A
Có 1 dãy cấp số nhân đó là
1
3
(1):
5
n
n
u
.
Câu 25.
Đáp án đúng là: A
Cấp số nhân
n
u
công bội
q
thì
1
1
k
k
u u q
.
Câu 26.
Đáp án đúng là: A

Đây là bản xem thử, vui lòng mua tài liệu để xem chi tiết (có lời giải)
Mọi thắc mắc vui lòng xin liên hệ hotline: 084 283 45 85
3
19 16
11
20 17
4
15
1
1
4
1
8
8
8
2
272
272
1 272
16
1
q
u q u q
uu
q
uu
u
uq
u
q
.
Câu 27.
Đáp án đúng là: D
Theo giả thiết
66
6 1 1
1
2
2
1 1 2
189
3
1 1 2
q
q
q
S u u
u
q
.
55
61
3.2 96u u q
.
Câu 28.
Đáp án đúng là: C
Cho hai đường thẳng chéo nhau, có duy nhất một mặt phẳng qua đường thẳng này và
song song với đường thẳng kia.
Câu 29.
Đáp án đúng là: C
Các yếu tố để xác định một mặt phẳng duy nhất là hai đường thẳng cắt nhau.
Câu 30.
Đáp án đúng là: B
Ta có
( ) ( )ABD BCD BD
.
Lại có
()
()
I MP ABD
I nq BCD

Đây là bản xem thử, vui lòng mua tài liệu để xem chi tiết (có lời giải)
Mọi thắc mắc vui lòng xin liên hệ hotline: 084 283 45 85
Suy ra
I
thuộc giao tuyến của
()ABD
và
()BCD
nên
I BD
.
Vậy ba điểm
,,I B D
thẳng hàng.
Câu 31.
Đáp án đúng là: B
Dễ thấy
D
là điểm chung thứ nhất của hai mặt phẳng.
Trong mặt phẳng
()ABC
, gọi
G BN CM
()
()
G BN BDN
G CM DCM
( ) ( )G DBN DCM
( ) ( )DG DBN DCM
.
Do
,MN
là các điểm bất kì thuộc hai đoạn thẳng
,AB AC
chưa kết luận được vị trí
của
G
.
Vậy giao tuyến của hai mặt phẳng
()DBN
và
()DCM
là
DG
với
D
là giao điểm
của
BN
và
CM
.
Câu 32.
Đáp án đúng là: B
Hai đường thẳng không có điểm chung thì chúng song song (khi chúng đồng phẳng)
hoặc chéo nhau (khi chúng không đồng phẳng).
Câu 33.

Đây là bản xem thử, vui lòng mua tài liệu để xem chi tiết (có lời giải)
Mọi thắc mắc vui lòng xin liên hệ hotline: 084 283 45 85
Đáp án đúng là: C
Hai đường thẳng được gọi là song song nếu chúng đồng phẳng và không có điểm
chung.
Câu 34.
Đáp án đúng là: B
Ta có
,MQ
lần lượt là trung điểm của
,AC CD
.
Suy ra
MQ
là đường trung bình của tam giác
CAD
nên
(1)//MQ AD
Mặt khác
,RT
lần lượt là trung điểm của
,SA SD
.
Suy ra
RT
là đường trung bình của tam giác
SAD
nên
(2)//RT SD
Từ (1) và (2) suy ra
//MQ RT
.
Câu 35.
Đáp án đúng là: A
Gọi
I
là giao điểm của
BD
và
RQ
.
Nối
P
với
I
, cắt
AD
tại
S
.

Đây là bản xem thử, vui lòng mua tài liệu để xem chi tiết (có lời giải)
Mọi thắc mắc vui lòng xin liên hệ hotline: 084 283 45 85
• Xét tam giác
BCD
bị cắt bởi
IR
, ta có:
1
. . 1 .2.1 1
2
DI BR CQ DI DI
IB RC QD IB IB
.
• Xét tam giác
ABD
bị cắt bởi
PI
, ta có:
1
. . 1 . .1 1 2
2
AS DI BP SA SA
SD IB PA SD SD
.
III. Hướng dẫn giải chi tiết tự luận
Bài 1. (1,0 điểm)
a) Điều kiện
20 .180
30
( , )
.360
.180
2
xk
x
kn
x
xn
k
Ta có
cot 30 cot
2
x
x
30 .180
2
x
xk
2 60 .360x x k
60 .360 ,x k k
.
Vậy nghiệm của phương trình đã cho là
60 .360 ,x k k
.
b)
sin2 cos3 cos3 cos 2
2
x x x x
3 2 2
2
3 2 2
2
x x k
x x k
2
52
10 5
2
,
2
2
2
2
k
x
xk
k
xk
xk
.
Vậy nghiệm của phương trình đã cho là
2
; 2 ,
10 5 2
k
x x k k
.

Đây là bản xem thử, vui lòng mua tài liệu để xem chi tiết (có lời giải)
Mọi thắc mắc vui lòng xin liên hệ hotline: 084 283 45 85
Bài 2. (1,0 điểm)
Diện tích bề mặt của mỗi tầng (kể từ 1) lập thành một cấp số nhân có công bội
1
2
q
và
1
12 288
6144
2
u
.
Khi đó diện tích mặt trên cùng là:
10
11 1
10
6144
6
2
u u q
.
Bài 3. (1,0 điểm)
a) Xét hai mặt phẳng
()SAB
và
()SCD
có
S
là điểm chung của hai mặt phẳng.
Mặt khác
//
()
()
AB CD
AB SAB
CD SCD
.
Gọi
Sx
là đường thẳng qua
S
và song song với
AB
và CD.
Do đó giao tuyến của hai mặt phẳng
()SAB
và
()SCD
là đường thẳng đi qua
Sx
.
b) Xét tam giác
SBD
có
//ON SD
(vì
,ON
lần lượt là trung điểm của
BD
và
SB
).
Mà
()SD SCD
nên
// ( )ON SCD
.
c) Xét mặt phẳng
()ABCD
.
Gọi
I
là giao điểm của
AC
và
BM
.
Xét hai mặt phẳng
()SAC
và
()SBM
.

Đây là bản xem thử, vui lòng mua tài liệu để xem chi tiết (có lời giải)
Mọi thắc mắc vui lòng xin liên hệ hotline: 084 283 45 85
Ta có
( ) ( )SAC SBM SI
.
Gọi
J
là giao điểm của
SI
và
MN
.
Khi đó
( ) ( )J SI SAC J SAC
J MN
.
Vậy
J
là giao điểm của
MN
và mặt phẳng
()SAC
.
c) Chọn mặt phẳng
()SAC
chứa
NC
. Tìm giao tuyến của
()SAC
và
()SMQ
:
Ta có
( ) ( )
// , ( ), ( )
S SAC SMQ
AC MQ AC SAC MQ SMQ
.
Do đó
( ) ( ) // //SAC SMQ Sx AC MQ
.
Trong mặt phẳng
()SAC
, gọi
J CN Sx
.
Ta có
()
()
J CN
J CN SMQ
J Sx SMQ
Vậy
J
là giao điểm của đường thẳng
CN
và mặt phẳng
()SMQ
.