Bộ sách: Chân trời sáng tạo – Toán 8
Đề kiểm tra giữa học kì I ĐỀ SỐ 02
KIỂM TRA GIỮA HỌC KÌ I
MÔN: TOÁN – LỚP 8
Thời gian: 90 phút (không kể thời gian giao đề)
PHẦN I. TRẮC NGHIỆM KHÁCH QUAN (3,0 điểm)
Hãy khoanh tròn vào phương án đúng duy nhất trong mỗi câu dưới đây.
Câu 1. Trong các biểu thức đại số sau, biểu thức nào không phải là đơn thức? 1 A. x . B. 3 xy . C. 3x 4 . D. 7 . 2
Câu 2. Tích của đa thức 6xy và đa thức 2
2x 3y là đa thức A. 2 2
12x y 18xy . B. 3 2 12x y 18xy . C. 3 2
12x y 18xy . D. 2 2 12x y 18xy . 1
Câu 3. Thực hiện tính 3 3 2 4 x y 2x y : 2
xy được kết quả là 3 1 1 1 1 A. 2 2 x y 2x y . B. 2 2 x y 2xy . C. 2 2 x y xy . D. 2 x y 2xy . 3 3 2 2
Câu 4. Hằng đẳng thức 2 2
A B A B A B có tên là
A. bình phương của một tổng.
B. tổng hai bình phương.
C. bình phương của một hiệu.
D. hiệu hai bình phương.
Câu 5. Tính giá trị biểu thức 3 2
A 8x 12x 6x 1 tại x 9,5 . A. 20 . B. 400 . C. 4 000 . D. 8 000 . x 1
Câu 6. Với điều kiện nào của x thì phân thức 2 (x có nghĩa? 2) A. x 2 . B. x 1. C. x 2 . D. x 2 .
1 1
Câu 7. Khi quy đồng mẫu hai phân thức 2 x và 16
x được kết quả nào sau đây? 4 1 x 4 1 x 4 A. B. ; .
x x ; x x . 4 4 4 4
2x 16x 4 x 4x 4 1 x 4 1 1 C. ; . D. ; . 2
x 16 x 4 x 4
2x 16 x 4x 4
x 3x 3 6x
Câu 8. Kết quả phép nhân là 3x x 32 2 2 x 3 2 2 A. . C. . x . B. 3 x 3 x . D. 3
x 3x 3
Câu 9. Hình chóp tam giác đều có mặt bên là hình gì? A. Tam giác cân. B. Tam giác đều. C. Tam giác vuông.
D. Tam giác vuông cân.
Câu 10. Chiếc hộp bánh ít trong hình bên có dạng hình gì?
A. Hình lăng trụ đứng tam giác.
B. Hình chóp tam giác đều.
C. Hình chóp tứ giác đều. D. Hình tam giác.
Câu 11. Cho hình chóp tam giác đều có độ dài cạnh đáy là 5 cm, độ dài trung đoạn
của hình chóp là 6 cm. Diện tích xung quanh của hình chóp tam giác đều đó là A. 2 40 cm . B. 2 36 cm . C. 2 45 cm . D. 2 50 cm .
Câu 12. Tính thể tích của hình chóp ở bên trong hình
hộp chữ nhật với kích thước như hình vẽ. A. 3 150 cm . B. 3 75 cm . C. 3 50 cm . D. 3 37,5 cm .
II. Tự luận (7,0 điểm)
Bài 1. (2,0 điểm) Thực hiện phép tính: a) 2
xyz x xy 2 3 3 5 1
5x xyz 5xy 3 y ; b) 3 2
x x y xy 2 3 2 3
x y 2xy 2; 1 c) 3
2xy 4 y 8x y ; 2 d) 8 8 5 5 3 3
x y x y x y 2 2 2 7 : x y .
Bài 2. (1,5 điểm) Phân tích các đa thức sau thành nhân tử: a) 3 2
2x 6x 4x ; b) x 2 2 2 5 9x ; c) 2 2
4x 9 y 4x 6 . y x
6 x 2x 6 x
Bài 3. (1,0 điểm) Cho biểu thức: A : . 2 2 2
x 36 6x x x 6x 6 x
a) Viết điều kiện xác định của biểu thức A .
b) Rút gọn biểu thức trên.
Bài 4. (2,0 điểm)
a) Một khối Rubic có dạng hình chóp tam giác đều.
Biết chiều cao khoảng 5,88 cm, thể tích của khối Rubic là 3
44,002 cm . Tính diện tích đáy của khối Rubic.
b) Một hình chóp tam giác đều có thể tích là 3
12 3 cm , diện tích đáy là 2
9 3 cm . Tính chiều cao của hình chóp tam giác đều đó. 16
Bài 5. (0,5 điểm) Cho biểu thức A 2
x 2x . Tính giá trị lớn nhất của biểu thức 5 . A
-------------- HẾT --------------
Đề thi giữa kì 1 Toán 8 Chân trời sáng tạo (đề 2)
0.9 K
456 lượt tải
MUA NGAY ĐỂ XEM TOÀN BỘ TÀI LIỆU
CÁCH MUA:
- B1: Gửi phí vào TK:
1053587071
- NGUYEN VAN DOAN - Ngân hàng Vietcombank (QR) - B2: Nhắn tin tới Zalo VietJack Official ( nhấn vào đây ) để xác nhận thanh toán và tải tài liệu - giáo án
Liên hệ ngay Hotline hỗ trợ: 084 283 45 85
Đề thi được cập nhật liên tục trong gói này từ nay đến hết tháng 3/2024. Chúng tôi đảm bảo đủ số lượng đề đã cam kết hoặc có thể nhiều hơn, tất cả có BẢN WORD, LỜI GIẢI CHI TIẾT và tải về dễ dàng.
Để tải tài liệu gốc về máy bạn click vào nút Tải Xuống ở trên!
Thuộc bộ (mua theo bộ để tiết kiệm hơn):
- Tailieugiaovien.com.vn giới thiệu bộ 10 đề giữa kì 1 gồm đầy đủ ma trận và lời giải chi tiết môn Toán 8 Chân trời sáng tạo mới nhất năm 2023 nhằm giúp Giáo viên có thêm tài liệu tham khảo ra đề thi Toán lớp 8.
- File word có lời giải chi tiết 100%.
- Mua trọn bộ sẽ tiết kiệm hơn tải lẻ 50%.
Đánh giá
4.6 / 5(912 )5
4
3
2
1

Trọng Bình
Tài liệu hay
Giúp ích cho tôi rất nhiều

Duy Trần
Tài liệu chuẩn
Rất thích tài liệu bên VJ soạn (bám sát chương trình dạy)
TÀI LIỆU BỘ BÁN CHẠY MÔN Toán Học
Xem thêmTÀI LIỆU BỘ BÁN CHẠY Lớp 8
Xem thêmTài liệu bộ mới nhất

Đây là bản xem thử, vui lòng mua tài liệu để xem chi tiết (có lời giải)
Mọi thắc mắc vui lòng xin liên hệ hotline: 084 283 45 85
Bộ sách: Chân trời sáng tạo – Toán 8
Đề kiểm tra giữa học kì I
ĐỀ SỐ 02
KIỂM TRA GIỮA HỌC KÌ I
MÔN: TOÁN – LỚP 8
Thời gian: 90 phút (không kể thời gian giao đề)
PHẦN I. TRẮC NGHIỆM KHÁCH QUAN (3,0 điểm)
Hãy khoanh tròn vào phương án đúng duy nhất trong mỗi câu dưới đây.
Câu 1. Trong các biểu thức đại số sau, biểu thức nào không phải là đơn thức?
A.
x
. B.
3
1
2
xy
. C.
34x
. D.
7
.
Câu 2. Tích của đa thức
6xy
và đa thức
2
23xy
là đa thức
A.
22
12 18x y xy
. B.
32
12 18x y xy
. C.
32
12 18x y xy
. D.
22
12 18x y xy
.
Câu 3. Thực hiện tính
3 3 2 4 2
1
2:
3
x y x y xy
được kết quả là
A.
22
1
2
3
x y x y
. B.
22
1
2
3
x y xy
. C.
22
1
2
x y xy
. D.
2
1
2
2
x y xy
.
Câu 4. Hằng đẳng thức
22
A B A B A B
có tên là
A. bình phương của một tổng. B. tổng hai bình phương.
C. bình phương của một hiệu. D. hiệu hai bình phương.
Câu 5. Tính giá trị biểu thức
32
8 12 6 1A x x x
tại
9,5x
.
A.
20
. B.
400
. C.
4 000
. D.
8 000
.
Câu 6. Với điều kiện nào của
x
thì phân thức
2
1
( 2)
x
x
có nghĩa?
A.
2x
. B.
1x
. C.
2x
. D.
2x
.

Đây là bản xem thử, vui lòng mua tài liệu để xem chi tiết (có lời giải)
Mọi thắc mắc vui lòng xin liên hệ hotline: 084 283 45 85
Câu 7. Khi quy đồng mẫu hai phân thức
2
1
16x
và
1
4x
được kết quả nào sau đây?
A.
14
;.
4 4 4 4
x
x x x x
B.
2
14
;.
16 4 4 4
x
x x x x
C.
2
14
;.
16 4 4
x
x x x
D.
2
11
;.
16 4 4x x x
Câu 8. Kết quả phép nhân
2
33
6
3
3
xx
x
x
x
là
A.
2
3x
. B.
23
3
x
x
. C.
2
3x
. D.
2
33xx
.
Câu 9. Hình chóp tam giác đều có mặt bên là hình gì?
A. Tam giác cân. B. Tam giác đều.
C. Tam giác vuông. D. Tam giác vuông cân.
Câu 10. Chiếc hộp bánh ít trong hình bên có
dạng hình gì?
A. Hình lăng trụ đứng tam giác.
B. Hình chóp tam giác đều.
C. Hình chóp tứ giác đều.
D. Hình tam giác.
Câu 11. Cho hình chóp tam giác đều có độ dài cạnh đáy là 5 cm, độ dài trung đoạn
của hình chóp là 6 cm. Diện tích xung quanh của hình chóp tam giác đều đó là
A.
2
40 cm
. B.
2
36 cm
. C.
2
45 cm
. D.
2
50 cm
.
Câu 12. Tính thể tích của hình chóp ở bên trong hình
hộp chữ nhật với kích thước như hình vẽ.
A.
3
150 cm
. B.
3
75 cm
.
C.
3
50 cm
. D.
3
37,5 cm
.

Đây là bản xem thử, vui lòng mua tài liệu để xem chi tiết (có lời giải)
Mọi thắc mắc vui lòng xin liên hệ hotline: 084 283 45 85
II. Tự luận (7,0 điểm)
Bài 1. (2,0 điểm) Thực hiện phép tính:
a)
22
3 3 5 1 5 5 3xyz x xy x xyz xy y
;
b)
3 2 2
3 2 3 2 2x x y xy x y xy
;
c)
3
1
2 4 8
2
xy y x y
;
d)
8 8 5 5 3 3 2 2
2 7 :x y x y x y x y
.
Bài 2. (1,5 điểm) Phân tích các đa thức sau thành nhân tử:
a)
32
2 6 4x x x
; b)
2
2
2 5 9xx
; c)
22
.4946xxy y
Bài 3. (1,0 điểm) Cho biểu thức:
2 2 2
6 2 6
:
36 6 6 6
x x x x
A
x x x x x x
.
a) Viết điều kiện xác định của biểu thức
A
.
b) Rút gọn biểu thức trên.
Bài 4. (2,0 điểm)
a) Một khối Rubic có dạng hình chóp tam giác đều.
Biết chiều cao khoảng
5,88 cm
, thể tích của khối
Rubic là
3
44,002 cm
. Tính diện tích đáy của khối
Rubic.
b) Một hình chóp tam giác đều có thể tích là
3
12 3 cm ,
diện tích đáy là
2
9 3 cm .
Tính chiều cao của hình chóp tam giác đều đó.
Bài 5. (0,5 điểm) Cho biểu thức
2
16
25
A
xx
. Tính giá trị lớn nhất của biểu thức
.A
-------------- HẾT --------------

Đây là bản xem thử, vui lòng mua tài liệu để xem chi tiết (có lời giải)
Mọi thắc mắc vui lòng xin liên hệ hotline: 084 283 45 85

Đây là bản xem thử, vui lòng mua tài liệu để xem chi tiết (có lời giải)
Mọi thắc mắc vui lòng xin liên hệ hotline: 084 283 45 85
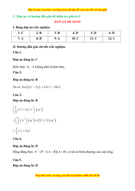
C. Đáp án và hướng dẫn giải đề kiểm tra giữa kì I
ĐÁP ÁN ĐỀ SỐ 02
I. Bảng đáp án trắc nghiệm
1. C
2. B
3. B
4. D
5. D
6. D
7. A
8. B
9. A
10. C
11. C
12. C
II. Hướng dẫn giải chi tiết trắc nghiệm
Câu 1.
Đáp án đúng là: C
Biểu thức
34x
không phải là đơn thức.
Câu 2.
Đáp án đúng là: B
Ta có:
2
6 2 3xy x y
32
12 18x y xy
.
Câu 3.
Đáp án đúng là: B
3 3 2 4 2
1
2:
3
x y x y xy
3 3 2 2 4 2
1
: 2 :
3
x y xy x y xy
22
1
2
3
x y xy
Câu 4.
Đáp án đúng là: D
Hằng đẳng thức
22
A B A B A B
có tên là bình phương của một tổng.
Câu 5.
Đáp án đúng là: D

Đây là bản xem thử, vui lòng mua tài liệu để xem chi tiết (có lời giải)
Mọi thắc mắc vui lòng xin liên hệ hotline: 084 283 45 85
Ta có:
32
8 12 6 1A x x x
32
23
2 3. 2 .1 3. 2 .1 1x x x
3
21x
.
Thay
9,5x
ta được giá trị biểu thức
3
3
2.9,5 1 20 8 000A
.
Câu 6.
Đáp án đúng là: D
Để phân thức
2
1
( 2)
x
x
có nghĩa thì
2
20x
nên
20x
hay
2x
.
Câu 7.
Đáp án đúng là: A
Mẫu thức chung của hai phân thức
2
1
16x
và
1
4x
là
44xx
.
Nên ta có
2
1 1 1 4
;
16 4 4 4 4 4
x
x x x x x x
.
Câu 8.
Đáp án đúng là: B
Ta có
2
33
6
3
3
xx
x
x
x
2
3 3 .6 2 3
3
3 . 3
x x x x
x
xx
.
Câu 9.
Đáp án đúng là: A
Hình chóp đều là hình chóp có mặt đáy là một đa giác đều, các mặt bên là những tam
giác cân có chung đỉnh.
Câu 10.
Đáp án đúng là: C
Chiếc hộp bánh ít trong hình trên có dạng hình chóp tứ giác đều.

Đây là bản xem thử, vui lòng mua tài liệu để xem chi tiết (có lời giải)
Mọi thắc mắc vui lòng xin liên hệ hotline: 084 283 45 85
Câu 11.
Đáp án đúng là: C
Diện tích xung quanh của hình chóp tam giác đều là:
2
1
. 5.3 .6 45 cm
2
xq
S
.
Câu 12.
Đáp án đúng là: C
Chiều cao của hình chóp tứ giác đều chính là chiều cao
của hình hộp chữ nhật.
Thể tích của hình chóp ở bên trong hình hộp chữ nhật
là:
3
11
. . . 5.5 .6 50 cm
33
V S h
.
Vậy thể tích của hình chóp ở bên trong hình hộp chữ nhật là
3
50 cm .
III. Hướng dẫn giải chi tiết tự luận
Bài 1. (2,0 điểm)
a)
22
3 3 5 1 5 5 3xyz x xy x xyz xy y
22
3 3 5 1 5 5 3xyz x xy x xyz xy y
22
3 3 5 5 5 1 3xyz xyz x x xy xy y
2
2 8 10 4xyz x xy y
.
b)
3 2 2
3 2 3 2 2x x y xy x y xy
3 2 2
3 2 3 2 2x x y xy x y xy
2 2 3
( ) ( ) (2 2 ) 3 (3 2)x y x y xy xy x
3
31x
.

Đây là bản xem thử, vui lòng mua tài liệu để xem chi tiết (có lời giải)
Mọi thắc mắc vui lòng xin liên hệ hotline: 084 283 45 85
c)
3
1
(2 4 8 )
2
xy y x y
3
1 1 1
2 . ( 4 ). ( 8 ).
2 2 2
xy y y y x y
42
24xy y xy
.
d)
8 8 5 5 3 3 2 2
2 7 :x y x y x y x y
.
8 8 2 2 5 5 2 2 3 3 2 2
: 2 : 7 :x y x y x y x y x y x y
6 6 3 3
27x y x y xy
.
Bài 2. (1,5 điểm)
a)
3 2 2
2 6 4 2 3 2x x x x x x
b)
2
2
2 5 9xx
2 5 9 2 5 9x x x x
11 5 5 7xx
c)
22
4 49 6xyxy
22
4 469 xyxy
22 3 2 3 2 3x y x y x y
22 3 2 3x y x y
.
Bài 3. (1,0 điểm)
a) Điều kiện xác định của biểu thức
A
là
3; 6xx
.
b) Với
3; 6xx
, ta có:
2 2 2
6 2 6
:
36 6 6 6
x x x x
A
x x x x x x
23
6
:
6 6 6 6 6
x
x x x
x x x x x x x

Đây là bản xem thử, vui lòng mua tài liệu để xem chi tiết (có lời giải)
Mọi thắc mắc vui lòng xin liên hệ hotline: 084 283 45 85
2
2
66
6 6 6 6 2 3 6
x x x
xx
x x x x x x x x
22
12 36
6
6 6 2 3 6
x x x
xx
x
x x x x x
22
12 36
2 3 6 6
x x x x
x x x
12 36
2 3 6 6
xx
x x x
12 3
2 3 6 6
x
x
x x x
66
1
6 6 6
xx
x x x
.
Bài 4. (2,0 điểm)
a) Diện tích đáy của khối Rubic là:
1
..
3
V S h
suy ra
2
3 3.44,002
22,45 cm
5,88
V
S
h
.
b) Chiều cao của hình chóp tam giác đều đó là:
1
..
3
V S h
suy ra
3 3.12 3
4 (cm)
93
V
h
S
.
Bài 5. (0,5 điểm)
Ta có
2
22
2 5 2 1 4 1 4x x x x x
.
Vì
2
10x
nên
2
1 4 4x
.
Dấu
""
xảy ra khi và chỉ khi
2
10x
hay
1x
.
Suy ra:
2
16 16
4
2 5 4
A
xx
. Do đó
4A
.
Vậy với
1x
thì
A
đạt giá trị lớn nhất là
4
.

Đây là bản xem thử, vui lòng mua tài liệu để xem chi tiết (có lời giải)
Mọi thắc mắc vui lòng xin liên hệ hotline: 084 283 45 85