Đề 10
Bài 1: Phân tích đa thức thành nhân tử:
Bài 2: Sắp xếp và thực hiện phép chia. Bài 3: Tìm biết. Bài 4: Cho hình chữ nhật
có là giao điểm của hai đường chéo.Lấy một
điểm nằm giữa hai điểm và .Gọi là điểm đối xứng với điểm qua và là trung điểm của a) Chứng minh tứ giác là hình thang và tứ giác là hình bình hành b) Gọi
và lần lược là hình chiếu của trên các đường thẳng và Chứng minh tứ giác là hình chữ nhật. c) Chứng minh bốn điểm thẳng hàng.
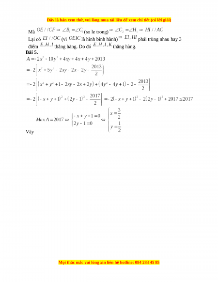
Bài 5:Tìm giá trị lớn nhất của biểu thức. Lời giải
Bài 1.Phân tích đa thức thành nhân tử :
Bài 2. Ta thực hiện phép chia theo cột dọc, được thương: Bài 3.Tìm x, biết :
Bài 4. A B E F O H I C K D a) Ta có : (tính chất đối xứng),
(tính chất hình chữ nhật) là đường trung bình Do đó là hình thang Ta có
(tính chất đường trung bình), mà là trung điểm Nên mà là hình bình hành b) Ta có hay ; Do đó
là hình chữ nhật (có 3 góc vuông), là trung điểm của đường chéo cũng là trung điểm của c) Ta có cân nên Tương tự cân nên
Mà (so le trong) Lại có (vì là hình bình hành) phải trùng nhau hay 3 điểm thẳng hàng. Do đó thẳng hàng. Bài 5. Vậy
Đề thi giữa kì 1 Toán 8 năm 2023 - Đề 10
524
262 lượt tải
MUA NGAY ĐỂ XEM TOÀN BỘ TÀI LIỆU
CÁCH MUA:
- B1: Gửi phí vào TK:
1053587071
- NGUYEN VAN DOAN - Ngân hàng Vietcombank (QR) - B2: Nhắn tin tới Zalo VietJack Official ( nhấn vào đây ) để xác nhận thanh toán và tải tài liệu - giáo án
Liên hệ ngay Hotline hỗ trợ: 084 283 45 85
Đề thi được cập nhật liên tục trong gói này từ nay đến hết tháng 6/2023. Chúng tôi đảm bảo đủ số lượng đề đã cam kết hoặc có thể nhiều hơn, tất cả có BẢN WORD, LỜI GIẢI CHI TIẾT và tải về dễ dàng.
Để tải tài liệu gốc về máy bạn click vào nút Tải Xuống ở trên!
Thuộc bộ (mua theo bộ để tiết kiệm hơn):
- Tailieugiaovien.com.vn giới thiệu bộ 100 đề thi giữa học kì 1 môn Toán lớp 8 mới nhất năm 2022 - 2023 nhằm giúp Giáo viên có thêm tài liệu tham khảo ra đề thi Toán lớp 10.
- File word có lời giải chi tiết 100%.
- Mua trọn bộ sẽ tiết kiệm hơn tải lẻ 50%.
Đánh giá
4.6 / 5(524 )5
4
3
2
1

Trọng Bình
Tài liệu hay
Giúp ích cho tôi rất nhiều

Duy Trần
Tài liệu chuẩn
Rất thích tài liệu bên VJ soạn (bám sát chương trình dạy)
TÀI LIỆU BỘ BÁN CHẠY MÔN Toán Học
Xem thêmTÀI LIỆU BỘ BÁN CHẠY Lớp 8
Xem thêmTài liệu bộ mới nhất

Đây là bản xem thử, vui lòng mua tài liệu để xem chi tiết (có lời giải)
Đề 10
Bài 1: Phân tích đa thức thành nhân tử:
Bài 2: Sắp xếp và thực hiện phép chia.
Bài 3: Tìm biết.
Bài 4: Cho hình chữ nhật có là giao điểm của hai đường chéo.Lấy một
điểm nằm giữa hai điểm và .Gọi là điểm đối xứng với điểm qua và
là trung điểm của
a) Chứng minh tứ giác là hình thang và tứ giác là hình bình hành
b) Gọi và lần lược là hình chiếu của trên các đường thẳng và
Chứng minh tứ giác là hình chữ nhật.
c) Chứng minh bốn điểm thẳng hàng.
Bài 5:Tìm giá trị lớn nhất của biểu thức.
Lời giải
Bài 1.Phân tích đa thức thành nhân tử :
Bài 2. Ta thực hiện phép chia theo cột dọc, được thương:
Bài 3.Tìm x, biết :
Mọi thắc mắc vui lòng xin liên hệ hotline: 084 283 45 85

Đây là bản xem thử, vui lòng mua tài liệu để xem chi tiết (có lời giải)
Bài 4.
K
H
I
F
O
C
A
D
B
E
a) Ta có : (tính chất đối xứng), (tính chất hình chữ nhật)
là đường trung bình Do đó là hình thang
Ta có (tính chất đường trung bình), mà là trung điểm
Nên mà là hình bình hành
b) Ta có hay ;
Do đó là hình chữ nhật (có 3 góc vuông), là trung điểm của đường chéo
cũng là trung điểm của
c) Ta có cân nên
Tương tự cân nên
Mọi thắc mắc vui lòng xin liên hệ hotline: 084 283 45 85

Đây là bản xem thử, vui lòng mua tài liệu để xem chi tiết (có lời giải)
Mà (so le trong)
Lại có (vì là hình bình hành) phải trùng nhau hay 3
điểm thẳng hàng. Do đó thẳng hàng.
Bài 5.
Vậy
Mọi thắc mắc vui lòng xin liên hệ hotline: 084 283 45 85