Đề 93
Bài 1. Cho các biểu thức sau : 2 A x 2
x 5x 15
B x x 2 3 x 3 x 5 C
x 4 2 2 x 5 x 4 x 5 2 a) Rút gọn biểu thức , A B,C
b) Tính giá trị biểu thức B tại x 5
Bài 2. Phân tích các đa thức sau thành nhân tử : 3 2 2 2
a)5x y 40y
b)16x 8xy y 16
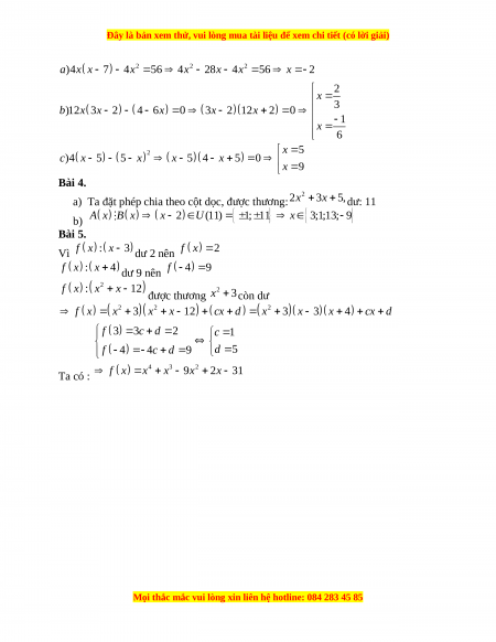
c)3x 14x 15 Bài 3.Tìm x biết :
a)4x x 7 2 4x 56
b)12x 3x 2 4 6x 0
c)4 x 5 5 x2 0
Bài 4.Cho hai đa thức A x 3 2 2
x x x 1và B x x 2
a) Tìm thương và số dư của phép chia đa thức A x cho đa thức B x
b) Tìm số nguyên x để A x B x
Bài 5. Tìm đa thức f x sao cho khi chia f x cho x 3 thì dư 2, nếu chia f x
cho x 4 thì dư 9 và nếu chia f x cho 2
x x 12 thì được thương là 2 x 3 và còn dư. Lời giải Bài 1. 2
a)A x 2 2 2 x x 15 3 2 x x 6 5 5 5
B x x 2 3 x 3 x 2 2
x 2x 9 x 2x 9 C
x 4 2 2 x 5 x 4 x 5 2
x 4 x 5 2 81 b) Tại x 5 B 9 2.5 1
Bài 2.Phân tích thành nhân tử : 3
a)5x y 40 y 5 y 3 x 8 5
y x 2 2
x 2x 40
b)16x 8xy y 16
4x y 2 2 2 2 4
4x y 4 4x y 4 2
c)3x 14x 15
3x 7 94 (3x 7 94) Bài 3.Tìm x, biết :
a x x 2 2 2 )4 7 4x 56
4x 28x 4x 56 x 2 2 x 3
b)12x 3x 2 4 6x 0
3x 2 12x 2 0 1 x 6 x
c x x2 5 )4 5 5
x 5 4 x 5 0 x 9 Bài 4. 2
a) Ta đặt phép chia theo cột dọc, được thương: 2x 3x 5, dư: 11
b) A x B
x x 2 U (11) 1 ; 1
1 x 3;1;13; 9 Bài 5.
Vì f x : x 3 dư 2 nên f x 2
f x : x 4 dư 9 nên f 4 9 f x 2
: x x 12 được thương 2x 3còn dư
f x 2 x 2 x x
cx d 2 3 12
x 3 x 3 x 4 cx d f 3 3 c d 2 c 1 f
4 4c d 9 d 5
Ta có : f x 4 3 2
x x 9x 2x 31
Đề thi giữa kì 1 Toán 8 năm 2023 - Đề 93
414
207 lượt tải
MUA NGAY ĐỂ XEM TOÀN BỘ TÀI LIỆU
CÁCH MUA:
- B1: Gửi phí vào TK:
1053587071
- NGUYEN VAN DOAN - Ngân hàng Vietcombank (QR) - B2: Nhắn tin tới Zalo VietJack Official ( nhấn vào đây ) để xác nhận thanh toán và tải tài liệu - giáo án
Liên hệ ngay Hotline hỗ trợ: 084 283 45 85
Đề thi được cập nhật liên tục trong gói này từ nay đến hết tháng 6/2023. Chúng tôi đảm bảo đủ số lượng đề đã cam kết hoặc có thể nhiều hơn, tất cả có BẢN WORD, LỜI GIẢI CHI TIẾT và tải về dễ dàng.
Để tải tài liệu gốc về máy bạn click vào nút Tải Xuống ở trên!
Thuộc bộ (mua theo bộ để tiết kiệm hơn):
- Tailieugiaovien.com.vn giới thiệu bộ 100 đề thi giữa học kì 1 môn Toán lớp 8 mới nhất năm 2022 - 2023 nhằm giúp Giáo viên có thêm tài liệu tham khảo ra đề thi Toán lớp 10.
- File word có lời giải chi tiết 100%.
- Mua trọn bộ sẽ tiết kiệm hơn tải lẻ 50%.
Đánh giá
4.6 / 5(414 )5
4
3
2
1

Trọng Bình
Tài liệu hay
Giúp ích cho tôi rất nhiều

Duy Trần
Tài liệu chuẩn
Rất thích tài liệu bên VJ soạn (bám sát chương trình dạy)
TÀI LIỆU BỘ BÁN CHẠY MÔN Toán Học
Xem thêmTÀI LIỆU BỘ BÁN CHẠY Lớp 8
Xem thêmTài liệu bộ mới nhất

Đây là bản xem thử, vui lòng mua tài liệu để xem chi tiết (có lời giải)
Đề 93
Bài 1. Cho các biểu thức sau :
2
2 2
2
5 15 2 3 3
5
4 2 5 4 5
A x x x B x x x x
C x x x x
a) Rút gọn biểu thức
, ,A B C
b) Tính giá trị biểu thức
B
tại
5x
Bài 2. Phân tích các đa thức sau thành nhân tử :
3 2 2 2
)5 40 )16 8 16 )3 14 15a x y y b x xy y c x x
Bài 3.Tìm x biết :
2
2
)4 7 4 56 )12 3 2 4 6 0
)4 5 5 0
a x x x b x x x
c x x
Bài 4.Cho hai đa thức
3 2
2 1A x x x x
và
2B x x
a) Tìm thương và số dư của phép chia đa thức
A x
cho đa thức
B x
b) Tìm số nguyên
x
để
A x B x
Bài 5. Tìm đa thức
f x
sao cho khi chia
f x
cho
3x
thì dư 2, nếu chia
f x
cho
4x
thì dư 9 và nếu chia
f x
cho
2
12x x
thì được thương là
2
3x
và còn
dư.
Lời giải
Bài 1.
2 3 2
2 2
2 2 2
2 2 2
) 15 6
5 5 5
2 3 3 2 9 2 9
4 2 5 4 5 4 5 81
a A x x x x x
B x x x x x x x x
C x x x x x x
b) Tại
5 9 2.5 1x B
Bài 2.Phân tích thành nhân tử :
3 3 2
2
2 2 2
)5 40 5 8 5 2 2 40
)16 8 16 4 4 4 4 4 4
a x y y y x y x x x
b x xy y x y x y x y
2
)3 14 15 3 7 94 (3 7 94)c x x x x
Bài 3.Tìm x, biết :
Mọi thắc mắc vui lòng xin liên hệ hotline: 084 283 45 85

Đây là bản xem thử, vui lòng mua tài liệu để xem chi tiết (có lời giải)
2 2 2
)4 7 4 56 4 28 4 56 2
2
3
)12 3 2 4 6 0 3 2 12 2 0
1
6
a x x x x x x x
x
b x x x x x
x
2
5
)4 5 5 5 4 5 0
9
x
c x x x x
x
Bài 4.
a) Ta đặt phép chia theo cột dọc, được thương:
2
2 3 5,x x
dư: 11
b)
2 (11) 1; 11 3;1;13; 9A x B x x U x
Bài 5.
Vì
: 3f x x
dư 2 nên
2f x
: 4f x x
dư 9 nên
4 9f
2
: 12f x x x
được thương
2
3x
còn dư
2 2 2
3 12 3 3 4f x x x x cx d x x x cx d
Ta có :
4 3 2
3 3 2
1
5
4 4 9
9 2 31
f c d
c
d
f c d
f x x x x x
Mọi thắc mắc vui lòng xin liên hệ hotline: 084 283 45 85