ĐỀ KIỂM TRA GIỮA KÌ SỐ 1
I. Phần trắc nghiệm. (3 điểm)
Khoanh tròn vào chữ cái đặt trước câu trả lời đúng:
Câu 1. Số liền trước của 30 là: (0,5 điểm) A. 18 B. 29 C. 31 D. 32
Câu 2. Trong phép tính: 76 – 12 = 64, 76 – 12 được gọi là: (0,5 điểm) A. Số hạng B. Hiệu C. Số bị trừ D. Tổng
Câu 3. Số? (0,5 điểm) 8 dm = ? cm A. 18 B. 10 C. 80 D. 16
Câu 4. Số bị trừ là số lớn nhất có hai chữ số và số trừ là số liền sau của 67. Vậy
hiệu là: (0,5 điểm) A. 31 B. 32 C. 30 D. 33
Câu 5. Số? (0,5 điểm)
19 – 5 < 7 + ? < 8 + 9 A. 8 B. 6 C. 7 D. 5
Câu 6. Nhà Minh có 12 con gà. Mẹ bán đi một số con thì còn lại 7 con gà. Số con
gà mẹ đã bán đi là: (0,5 điểm) A. 19 con gà B. 4 con gà C. 6 con gà D. 5 con gà
II. Phần tự luận. (7 điểm)
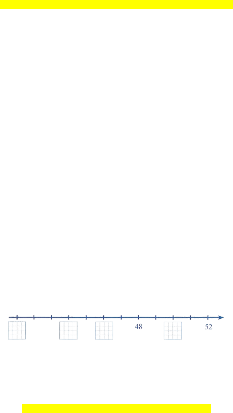
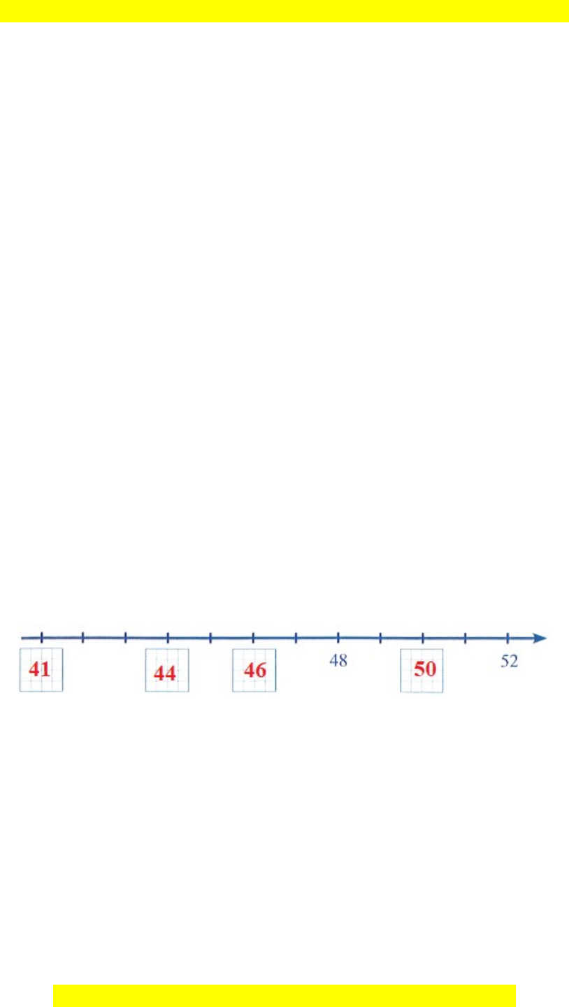
Bài 1. Số? (1 điểm)
Bài 2. Tính: (1 điểm) 6 + 8 = ….. 3 + 8 = ….. 13 – 7 = ….. 14 – 5 = …..
Bài 3. Tính: (1 điểm)
5 + 8 – 7 = ….. 13 – 9 + 8 = …..
Bài 4. >; <; =? (1 điểm)
18 dm – 9 dm ….. 50 cm – 10 cm 8 + 7 ….. 88 – 73
Bài 5. Anh Tuấn có 15 cái kẹo. Hà có ít hơn anh Tuấn 8 cái kẹo.
a. Hỏi Hà có bao nhiêu cái kẹo? (1 điểm) Bài giải
……………………………………………………………………………………… …..
……………………………………………………………………………………… ….
……………………………………………………………………………………… ….
b. Anh Tuấn cho Hà một số kẹo thì số kẹo của hai anh em bằng nhau. Hỏi anh
Tuấn đã cho Hà bao nhiêu cái kẹo? (1 điểm)
Trả lời: Anh Tuấn đã cho Hà ….. cái kẹo.
Bài 6. Tìm tổng của hai số có hai chữ số biết: số hạng thứ nhất là số nhỏ nhất có
tổng các chữ số bằng 5 và số hạng thứ hai là số lớn nhất có tổng các chữ số bằng 5. (1 điểm)
Trả lời: Tổng của hai số đó là: …..
ĐÁP ÁN VÀ HƯỚNG DẪN GIẢI
I. Phần trắc nghiệm. (3 điểm) Câu 1 Câu 2 Câu 3 Câu 4 Câu 5 Câu 6 B B C A A D Câu 1. Đáp án đúng là: B
Muốn tìm số liền trước của một số, ta lấy số đó trừ đi 1 đơn vị. 30 – 1 = 29.
Vậy số liền trước của 30 là: 29. Câu 2. Đáp án đúng là: B 76 – 12 = 64 có: 76: số bị trừ 12: số trừ 76 – 12: hiệu
Vậy trong phép tính: 76 – 12 = 64, 76 – 12 được gọi là: hiệu. Câu 3. Đáp án đúng là: C 8 dm = ? cm Ta có: 8 dm = 80 cm.
Vậy số cần điền là: 80 Câu 4. Đáp án đúng là: A
Số lớn nhất có hai chữ số là: 99.
Muốn tìm số liền sau của một số, ta lấy số đó cộng thêm 1 đơn vị.
Số liền sau của 67 là: 67 + 1 = 68
Vậy hiệu cần tìm là: 99 – 68 = 31 Câu 5. Đáp án đúng là: A
19 – 5 < 7 + ? < 8 + 9 Ta có: 19 – 5 = 14 8 + 9 = 17 Vậy: 14 < 7 + ? < 17 Vậy số cần tìm là: 8. Khi đó 7 + 8 = 15
Ta được: 14 < 15 < 17 Câu 6. Đáp án đúng là: D
Số con gà mẹ đã bán đi là: 12 – 7 = 5 (con gà)
II. Phần tự luận. (7 điểm) Bài 1. Bài 2. 6 + 8 = 14 3 + 8 = 11 13 – 7 = 6 14 – 5 = 9 Bài 3. 5 + 8 – 7 = 6 13 – 9 + 8 = 12 Giải thích: 5 + 8 – 7 = …..
Đề thi giữa kì 1 Toán lớp 2 Cánh diều - Đề 1
406
203 lượt tải
MUA NGAY ĐỂ XEM TOÀN BỘ TÀI LIỆU
CÁCH MUA:
- B1: Gửi phí vào TK:
1133836868- CT TNHH DAU TU VA DV GD VIETJACK - Ngân hàng MB (QR) - B2: Nhắn tin tới Zalo VietJack Official ( nhấn vào đây ) để xác nhận thanh toán và tải tài liệu - giáo án
Liên hệ ngay Hotline hỗ trợ: 084 283 45 85
Chúng tôi đảm bảo đủ số lượng đề đã cam kết hoặc có thể nhiều hơn, tất cả có BẢN WORD, LỜI GIẢI CHI TIẾT và tải về dễ dàng.
Để tải tài liệu gốc về máy bạn click vào nút Tải Xuống ở trên!
Thuộc bộ (mua theo bộ để tiết kiệm hơn):
- Tailieugiaovien.com.vn giới thiệu bộ đề thi giữa kì 1 Toán 2 Cánh diều mới nhất nhằm giúp Giáo viên có thêm tài liệu tham khảo ra đề thi Toán lớp 2.
Số đề hiện tại: 10 đề
- File word có lời giải chi tiết 100%.
- Mua trọn bộ sẽ tiết kiệm hơn tải lẻ 50%.
Đánh giá
4.6 / 5(406 )5
4
3
2
1
Trọng Bình
Tài liệu hay
Giúp ích cho tôi rất nhiều
Duy Trần
Tài liệu chuẩn
Rất thích tài liệu bên VJ soạn (bám sát chương trình dạy)
TÀI LIỆU BỘ BÁN CHẠY MÔN Toán Học
Xem thêmTÀI LIỆU BỘ BÁN CHẠY Lớp 2
Xem thêmTài liệu bộ mới nhất

Đây là bản xem thử, vui lòng mua tài liệu để xem chi tiết (có lời giải)
ĐỀ KIỂM TRA GIỮA KÌ SỐ 1
I. Phần trắc nghiệm. (3 điểm)
Khoanh tròn vào chữ cái đặt trước câu trả lời đúng:
Câu 1. Số liền trước của 30 là: (0,5 điểm)
A. 18 B. 29 C. 31 D. 32
Câu 2. Trong phép tính: 76 – 12 = 64, 76 – 12 được gọi là: (0,5 điểm)
A. Số hạng B. Hiệu C. Số bị trừ D. Tổng
Câu 3. Số? (0,5 điểm)
8 dm = ? cm
A. 18 B. 10 C. 80 D. 16
Câu 4. Số bị trừ là số lớn nhất có hai chữ số và số trừ là số liền sau của 67. Vậy
hiệu là: (0,5 điểm)
A. 31 B. 32 C. 30 D. 33
Câu 5. Số? (0,5 điểm)
19 – 5 < 7 + ? < 8 + 9
A. 8 B. 6 C. 7 D. 5
Câu 6. Nhà Minh có 12 con gà. Mẹ bán đi một số con thì còn lại 7 con gà. Số con
gà mẹ đã bán đi là: (0,5 điểm)
A. 19 con gà B. 4 con gà C. 6 con gà D. 5 con gà
II. Phần tự luận. (7 điểm)
Bài 1. Số? (1 điểm)
Bài 2. Tính: (1 điểm)
6 + 8 = ….. 3 + 8 = ….. 13 – 7 = ….. 14 – 5 = …..
Bài 3. Tính: (1 điểm)
Mọi thắc mắc vui lòng xin liên hệ hotline: 084 283 45 85

Đây là bản xem thử, vui lòng mua tài liệu để xem chi tiết (có lời giải)
5 + 8 – 7 = ….. 13 – 9 + 8 = …..
Bài 4. >; <; =? (1 điểm)
18 dm – 9 dm ….. 50 cm – 10 cm 8 + 7 ….. 88 – 73
Bài 5. Anh Tuấn có 15 cái kẹo. Hà có ít hơn anh Tuấn 8 cái kẹo.
a. Hỏi Hà có bao nhiêu cái kẹo? (1 điểm)
Bài giải
………………………………………………………………………………………
…..
………………………………………………………………………………………
….
………………………………………………………………………………………
….
b. Anh Tuấn cho Hà một số kẹo thì số kẹo của hai anh em bằng nhau. Hỏi anh
Tuấn đã cho Hà bao nhiêu cái kẹo? (1 điểm)
Trả lời: Anh Tuấn đã cho Hà ….. cái kẹo.
Bài 6. Tìm tổng của hai số có hai chữ số biết: số hạng thứ nhất là số nhỏ nhất có
tổng các chữ số bằng 5 và số hạng thứ hai là số lớn nhất có tổng các chữ số bằng 5.
(1 điểm)
Trả lời: Tổng của hai số đó là: …..
Mọi thắc mắc vui lòng xin liên hệ hotline: 084 283 45 85

Đây là bản xem thử, vui lòng mua tài liệu để xem chi tiết (có lời giải)
ĐÁP ÁN VÀ HƯỚNG DẪN GIẢI
I. Phần trắc nghiệm. (3 điểm)
Câu 1 Câu 2 Câu 3 Câu 4 Câu 5 Câu 6
B B C A A D
Câu 1.
Đáp án đúng là: B
Muốn tìm số liền trước của một số, ta lấy số đó trừ đi 1 đơn vị.
30 – 1 = 29.
Vậy số liền trước của 30 là: 29.
Câu 2.
Đáp án đúng là: B
76 – 12 = 64 có:
76: số bị trừ
12: số trừ
76 – 12: hiệu
Vậy trong phép tính: 76 – 12 = 64, 76 – 12 được gọi là: hiệu.
Câu 3.
Đáp án đúng là: C
8 dm = ? cm
Ta có: 8 dm = 80 cm.
Vậy số cần điền là: 80
Câu 4.
Đáp án đúng là: A
Số lớn nhất có hai chữ số là: 99.
Muốn tìm số liền sau của một số, ta lấy số đó cộng thêm 1 đơn vị.
Số liền sau của 67 là: 67 + 1 = 68
Mọi thắc mắc vui lòng xin liên hệ hotline: 084 283 45 85

Đây là bản xem thử, vui lòng mua tài liệu để xem chi tiết (có lời giải)
Vậy hiệu cần tìm là: 99 – 68 = 31
Câu 5.
Đáp án đúng là: A
19 – 5 < 7 + ? < 8 + 9
Ta có:
19 – 5 = 14
8 + 9 = 17
Vậy: 14 < 7 + ? < 17
Vậy số cần tìm là: 8.
Khi đó 7 + 8 = 15
Ta được: 14 < 15 < 17
Câu 6.
Đáp án đúng là: D
Số con gà mẹ đã bán đi là:
12 – 7 = 5 (con gà)
II. Phần tự luận. (7 điểm)
Bài 1.
Bài 2.
6 + 8 = 14 3 + 8 = 11 13 – 7 = 6 14 – 5 = 9
Bài 3.
5 + 8 – 7 = 6 13 – 9 + 8 = 12
Giải thích:
5 + 8 – 7 = …..
Mọi thắc mắc vui lòng xin liên hệ hotline: 084 283 45 85

Đây là bản xem thử, vui lòng mua tài liệu để xem chi tiết (có lời giải)
Ta có: 5 + 8 – 7 = 13 – 7 = 6
13 – 9 + 8 = …..
Ta có: 13 – 9 + 8 = 4 + 8 = 12
Bài 4.
18 dm – 9 dm > 50 cm – 10 cm 8 + 7 = 88 – 73
Giải thích:
18 dm – 9 dm ….. 50 cm – 10 cm
Ta có:
18 dm – 9 dm = 9 dm
50 cm – 10 cm = 40 cm = 4 dm
So sánh: 9 dm > 4 dm nên 18 dm – 9 dm > 50 cm – 10 cm.
8 + 7 ….. 88 – 73
Ta có:
8 + 7 = 15
88 – 73 = 15
So sánh: 15 = 15 nên 8 + 7 = 88 – 73
Bài 5.
a.
Bài giải
Hà có số cái kẹo là:
15 – 8 = 7 (cái kẹo)
Đáp số: 7 (cái kẹo)
b.
Trả lời: Anh Tuấn đã cho Hà 4 cái kẹo.
Giải thích:
Anh Tuấn cho Hà số cái kẹo là:
Mọi thắc mắc vui lòng xin liên hệ hotline: 084 283 45 85
