ĐỀ KIỂM TRA GIỮA KÌ SỐ 9
I. Phần trắc nghiệm. (3 điểm)
Khoanh tròn vào chữ cái đặt trước câu trả lời đúng:
Câu 1. 83 là số liền sau của: (0,5 điểm) A. 84 B. 81 C. 85 D. 82
Câu 2. 54 là tổng của: (0,5 điểm) A. 13 và 41 B. 86 và 22 C. 30 và 14 D. 99 và 45
Câu 3. Hiệu của 65 và số liền sau của số tròn chục nhỏ nhất có hai chữ số là: (0,5 điểm) A. 55 B. 75 C. 54 D. 74
Câu 4. Các số thích hợp điền vào ô trống là: (0,5 điểm)
14 – 5 < ? + 7 < 6 + 8 A. 2, 3, 4 B. 4, 5, 6 C. 6, 7, 8 D. 7, 8, 9
Câu 5. Số hạng thứ nhất là số liền trước của 10. Số hạng thứ hai kém số hạng thứ
nhất 3 đơn vị. Vậy tổng bằng: (0,5 điểm) A. 17 B. 15 C. 13 D. 74
Câu 6. Chú Bình cưa thanh gỗ dài 64 cm thành hai đoạn, một đoạn dài 34 cm. Độ
dài của đoạn gỗ còn lại là: (0,5 điểm) A. 98 cm B. 32 cm C. 9 dm D. 3 dm
II. Phần tự luận. (7 điểm)
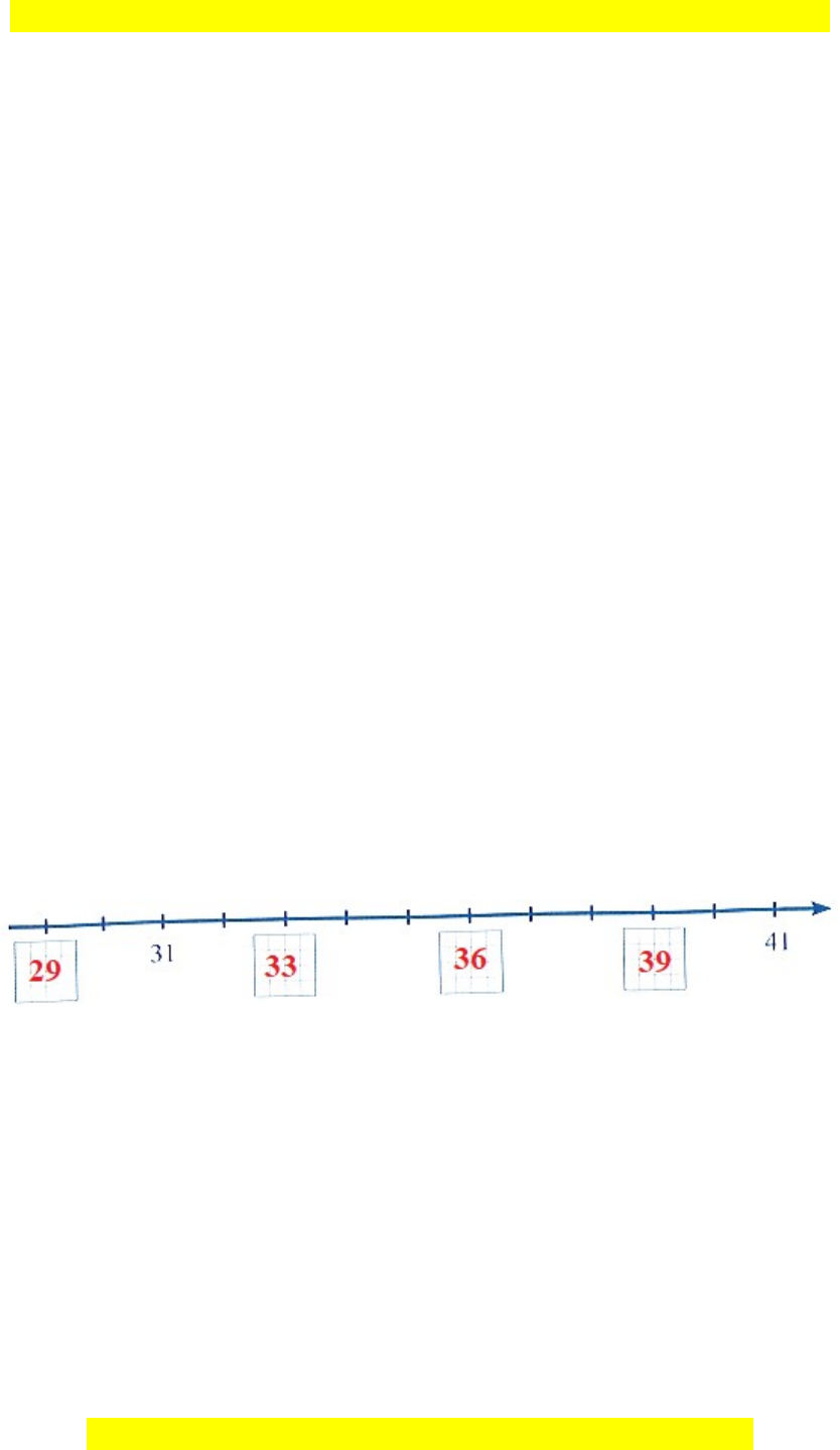
Bài 1. Số? (1 điểm)
Bài 2. Tính: (1 điểm) 9 + 4 = ….. 7 + 5 = ….. 14 – 9 = ….. 12 – 5 = …..
Bài 3. Số? (1 điểm) 16 – 7 < 10 – …. 15 = 11 – ….. + 6
Bài 4. >; <; =? (1 điểm)
11 dm – 7 dm ….. 36 cm + 23 cm 14 – 6 ….. 15 – 7
Bài 5. Lớp 2A có 15 học sinh nam. Số học sinh nam nhiều hơn số học sinh nữ 3
học. Hỏi lớp 2A có bao nhiêu học sinh nữ? (2 điểm) Bài giải
……………………………………………………………………………………… ….
……………………………………………………………………………………… ….
……………………………………………………………………………………… ….
Bài 6. Trong một phép trừ hai số có hai chữ số, hiệu bằng 8. Nếu tăng số bị trừ
thêm 5 đơn vị và tăng số trừ thêm 6 đơn vị thì hiệu mới bằng mấy? (1 điểm)
Trả lời: Hiệu mới bằng …..
ĐÁP ÁN VÀ HƯỚNG DẪN GIẢI
I. Phần trắc nghiệm. (3 điểm) Câu 1 Câu 2 Câu 3 Câu 4 Câu 5 Câu 6 D A C B B D Câu 1. Đáp án đúng là: D
Ta tìm số liền trước của 83.
Muốn tìm số liền trước của một số, ta lấy số đó trừ đi 1 đơn vị.
Vậy số liền trước của 83 là: 83 – 1 = 82.
Vậy 83 là số liền sau của: 82 Câu 2. Đáp án đúng là: A 13 + 41 = 54 86 + 22 = 108 30 + 14 = 44 99 + 45 = 144
Vậy 54 là tổng của: 13 và 41 Câu 3. Đáp án đúng là: C
Số tròn chục nhỏ nhất có hai chữ số là: 10
Muốn tìm số liền sau của một số, ta lấy số đó cộng thêm 1 đơn vị.
Số liền sau của 10 là: 10 + 1 = 11.
Vậy hiệu của 65 và số liền sau của số tròn chục nhỏ nhất có hai chữ số là: 65 – 11 = 54 Câu 4. Đáp án đúng là: B
Đề thi giữa kì 1 Toán lớp 2 Cánh diều - Đề 9
453
227 lượt tải
MUA NGAY ĐỂ XEM TOÀN BỘ TÀI LIỆU
CÁCH MUA:
- B1: Gửi phí vào TK:
1133836868- CT TNHH DAU TU VA DV GD VIETJACK - Ngân hàng MB (QR) - B2: Nhắn tin tới Zalo VietJack Official ( nhấn vào đây ) để xác nhận thanh toán và tải tài liệu - giáo án
Liên hệ ngay Hotline hỗ trợ: 084 283 45 85
Chúng tôi đảm bảo đủ số lượng đề đã cam kết hoặc có thể nhiều hơn, tất cả có BẢN WORD, LỜI GIẢI CHI TIẾT và tải về dễ dàng.
Để tải tài liệu gốc về máy bạn click vào nút Tải Xuống ở trên!
Thuộc bộ (mua theo bộ để tiết kiệm hơn):
- Tailieugiaovien.com.vn giới thiệu bộ đề thi giữa kì 1 Toán 2 Cánh diều mới nhất nhằm giúp Giáo viên có thêm tài liệu tham khảo ra đề thi Toán lớp 2.
Số đề hiện tại: 10 đề
- File word có lời giải chi tiết 100%.
- Mua trọn bộ sẽ tiết kiệm hơn tải lẻ 50%.
Đánh giá
4.6 / 5(453 )5
4
3
2
1
Trọng Bình
Tài liệu hay
Giúp ích cho tôi rất nhiều
Duy Trần
Tài liệu chuẩn
Rất thích tài liệu bên VJ soạn (bám sát chương trình dạy)
TÀI LIỆU BỘ BÁN CHẠY MÔN Toán Học
Xem thêmTÀI LIỆU BỘ BÁN CHẠY Lớp 2
Xem thêmTài liệu bộ mới nhất

Đây là bản xem thử, vui lòng mua tài liệu để xem chi tiết (có lời giải)
ĐỀ KIỂM TRA GIỮA KÌ SỐ 9
I. Phần trắc nghiệm. (3 điểm)
Khoanh tròn vào chữ cái đặt trước câu trả lời đúng:
Câu 1. 83 là số liền sau của: (0,5 điểm)
A. 84 B. 81 C. 85 D. 82
Câu 2. 54 là tổng của: (0,5 điểm)
A. 13 và 41 B. 86 và 22 C. 30 và 14 D. 99 và 45
Câu 3. Hiệu của 65 và số liền sau của số tròn chục nhỏ nhất có hai chữ số là: (0,5
điểm)
A. 55 B. 75 C. 54 D. 74
Câu 4. Các số thích hợp điền vào ô trống là: (0,5 điểm)
14 – 5 < ? + 7 < 6 + 8
A. 2, 3, 4 B. 4, 5, 6 C. 6, 7, 8 D. 7, 8, 9
Câu 5. Số hạng thứ nhất là số liền trước của 10. Số hạng thứ hai kém số hạng thứ
nhất 3 đơn vị. Vậy tổng bằng: (0,5 điểm)
A. 17 B. 15 C. 13 D. 74
Câu 6. Chú Bình cưa thanh gỗ dài 64 cm thành hai đoạn, một đoạn dài 34 cm. Độ
dài của đoạn gỗ còn lại là: (0,5 điểm)
A. 98 cm B. 32 cm C. 9 dm D. 3 dm
II. Phần tự luận. (7 điểm)
Bài 1. Số? (1 điểm)
Mọi thắc mắc vui lòng xin liên hệ hotline: 084 283 45 85

Đây là bản xem thử, vui lòng mua tài liệu để xem chi tiết (có lời giải)
Bài 2. Tính: (1 điểm)
9 + 4 = ….. 7 + 5 = ….. 14 – 9 = ….. 12 – 5 = …..
Bài 3. Số? (1 điểm)
16 – 7 < 10 – …. 15 = 11 – ….. + 6
Bài 4. >; <; =? (1 điểm)
11 dm – 7 dm ….. 36 cm + 23 cm 14 – 6 ….. 15 – 7
Bài 5. Lớp 2A có 15 học sinh nam. Số học sinh nam nhiều hơn số học sinh nữ 3
học. Hỏi lớp 2A có bao nhiêu học sinh nữ? (2 điểm)
Bài giải
………………………………………………………………………………………
….
………………………………………………………………………………………
….
………………………………………………………………………………………
….
Bài 6. Trong một phép trừ hai số có hai chữ số, hiệu bằng 8. Nếu tăng số bị trừ
thêm 5 đơn vị và tăng số trừ thêm 6 đơn vị thì hiệu mới bằng mấy? (1 điểm)
Trả lời: Hiệu mới bằng …..
Mọi thắc mắc vui lòng xin liên hệ hotline: 084 283 45 85

Đây là bản xem thử, vui lòng mua tài liệu để xem chi tiết (có lời giải)
Mọi thắc mắc vui lòng xin liên hệ hotline: 084 283 45 85

Đây là bản xem thử, vui lòng mua tài liệu để xem chi tiết (có lời giải)
ĐÁP ÁN VÀ HƯỚNG DẪN GIẢI
I. Phần trắc nghiệm. (3 điểm)
Câu 1 Câu 2 Câu 3 Câu 4 Câu 5 Câu 6
D A C B B D
Câu 1.
Đáp án đúng là: D
Ta tìm số liền trước của 83.
Muốn tìm số liền trước của một số, ta lấy số đó trừ đi 1 đơn vị.
Vậy số liền trước của 83 là: 83 – 1 = 82.
Vậy 83 là số liền sau của: 82
Câu 2.
Đáp án đúng là: A
13 + 41 = 54
86 + 22 = 108
30 + 14 = 44
99 + 45 = 144
Vậy 54 là tổng của: 13 và 41
Câu 3.
Đáp án đúng là: C
Số tròn chục nhỏ nhất có hai chữ số là: 10
Muốn tìm số liền sau của một số, ta lấy số đó cộng thêm 1 đơn vị.
Số liền sau của 10 là: 10 + 1 = 11.
Vậy hiệu của 65 và số liền sau của số tròn chục nhỏ nhất có hai chữ số là:
65 – 11 = 54
Câu 4.
Đáp án đúng là: B
Mọi thắc mắc vui lòng xin liên hệ hotline: 084 283 45 85

Đây là bản xem thử, vui lòng mua tài liệu để xem chi tiết (có lời giải)
14 – 5 < ? + 7 < 6 + 8
14 – 5 = 9
6 + 8 = 14
Vậy: 9 < ? + 7 < 14
Vậy các số thích hợp là: 4, 5, 6
Câu 5.
Đáp án đúng là: B
Muốn tìm số liền trước của một số, ta lấy số đó trừ đi 1 đơn vị.
Số liền trước của 10 là: 10 – 1 = 9.
Số hạng thứ hai kém số hạng thứ nhất 3 đơn vị. Vậy số hạng thứ hai là: 9 – 3 = 6
Vậy tổng: 9 + 6 = 15
Câu 6.
Đáp án đúng là: D
Độ dài của đoạn gỗ còn lại là:
64 – 34 = 30 cm = 3 dm
II. Phần tự luận. (7 điểm)
Bài 1.
Bài 2.
9 + 4 = 13 7 + 5 = 12 14 – 9 = 5 12 – 5 = 7
Bài 3.
16 – 7 < 10 – 0 15 = 11 – 2 + 6
Bài 4.
11 dm – 7 dm < 36 cm + 23 cm 14 – 6 = 15 – 7
Mọi thắc mắc vui lòng xin liên hệ hotline: 084 283 45 85
