ĐỀ THI THỬ THPT QUỐC GIA NĂM HỌC 2023 – ĐỀ SỐ 12 Câu 1 . Cho . Giá trị của tỷ số là A. B. C. D.
Câu 2. Giả sử hai nghiệm của phương trình là . Khi đó có giá trị là A. B. 7 C. 6 D.
Câu 3. Cho mạch điện như hình vẽ dưới. Lúc đầu tụ điện có điện tích
. Khi đóng khóa, K, tụ điện
phóng điện qua cuộn dây L. Giả sử cường độ dòng điện tại thời điểm t phụ thuộc vào thời gian theo công thức (A), trong đó là tần số góc,
có đơn vị là giây (s). Tính điện
lượng chạy qua một thiết diện thẳng của dây từ lúc bắt đầu đóng khóa K (t = 0) đến thời điểm t = 3 (s). A. B. C. D.
Câu 4. Đạo hàm của hàm số là A. B. C. D.
Câu 5. Gọi A, B, C lần lượt là các điểm biểu diễn cho các số phức ; ; . Chọn kết luận đúng nhất.
A. Tam giác ABC cân tại B.
B. Tam giác ABC vuông cân tại B.
C. Tam giác ABC cân tại A.
D. Tam giác ABC vuông cân tại A.
Câu 6. Tập hợp các điểm trong mặt phẳng tọa độ biểu diễn số phức z thỏa mãn điều kiện là hình gì?
A. Một đường tròn.
B. Một đường Parabol.
C. Một đường Elip.
D. Một đường thẳng.
Câu 7. Đồ thị hàm số
có tâm đối xứng là điểm nào? A. B. C. D.
Câu 8. Thể tích vật thể tròn xoay khi quay hình phẳng giới hạn bởi các đường ; ; ; quanh trục Ox là A. B. C. D.
Câu 9. Cho x là số thực dương thỏa mãn . Tính giá trị của A. 0 và 1 B. 0 C. 0 và D. 1
Câu 10. Đồ thị hàm số
có bao nhiêu tiệm cận đứng? Trang 1
A. 0 B. 1 C. 3 D. 2 Câu 11. Hàm số
là một nguyên hàm của hàm số và thì A. B. C. D.
Câu 12. Trong không gian với hệ trục tọa độ Oxy cho ,
. Viết phương trình mặt cầu
(S) tâm A và bán kính AB. A. B. C. D.
Câu 13. Cho hình chóp S.ABCD có đáy là hình chữ nhật, AB = a, AD = 2a; SA = 2a và vuông góc với
đáy. Khoảng cách từ điểm A tới mặt phẳng (SBD) là A. B. C. D. Câu 14. Cho
. Tiếp tuyến của (C) song song với đường thẳng có phương trình là A. B. C. D. Câu 15. Gọi
là hai nghiệm phức của phương trình
. Giá trị của biểu thức bằng A. 2 B. C. 4 D. 1
Câu 16. Cho tam giác ABC vuông tại A, AB = a, góc ABC bằng
. Quay miền trong tam giác ABC
quanh cạnh BC ta được một khối tròn xoay, tính thể tích khối đó? A. B. C. D.
Câu 17. Tính tích phân . A. B. C. D. 1
Câu 18. Trong không gian với hệ trục tọa độ Oxyz cho ,
. Viết phương trình đường thẳng AB. A. B. C. D.
Câu 19. Cho số phức
. Phần thực của số phức z là A. B. C. D. Trang 2
Câu 20. Cho hàm số có đạo hàm
. Hỏi đồ thị hàm số có bao nhiêu điểm cực trị? A. 2 B. 1 C. 3 D. 4
Câu 21. Gọi L là chiều dài của đoạn đường có điểm đầu là A và điểm cuối B (hình vẽ là những nửa
đường tròn đồng tâm O và có bán kính lần lượt là 1, 2, 3, 4, 5). Hãy chọn khẳng định đúng. A. 51 B. L > 52 C. 47 D. L < 50
Câu 22. Tìm m để mặt cầu có phương trình có bán kính R = 5. A. m = 16 B. m = 4 C. D.
Câu 23. Trong không gian với hệ trục tọa độ Oxyz, cho đường thẳng d có phương trình
. Điểm nào sau đây không thuộc đường thẳng d? A. B. C. D. Câu 24. Cho hàm số
. Số giao điểm của đồ thị hàm số và trục hoành là A. 2 B. 1 C. 3 D. 0
Câu 25. Trong không gian Oxyz, cho ba điểm , , . Tâm đường tròn
ngoại tiếp tam giác ABC có tọa độ là A. B. C. D.
Câu 26. Trong không gian với hệ tọa độ Oxyz, cho điểm
, gọi A, B, C lần lượt là hình chiếu
của M trên Ox, Oy, Oz. Mặt phẳng nào sau đây song song với mặt phẳng (ABC)? A. B. C. D.
Câu 27. Trong không gian với hệ tọa độ Oxyz, cho đường thẳng
và hai mặt phẳng (P) và (Q)
lần lượt có phương trình ;
. Viết phương trình mặt cầu (S) có tâm I
thuộc đường thẳng d, tiếp xúc với hai mặt phẳng (P) và (Q). A. B. C. D. Trang 3
Câu 28. Cho 2 số thực x, y thỏa phương trình . Khi đó có giá trị là A. B. 1 C. D.
Câu 29. Một nguyên hàm của hàm số là A. B. C. D. Câu 30. Cho hàm số
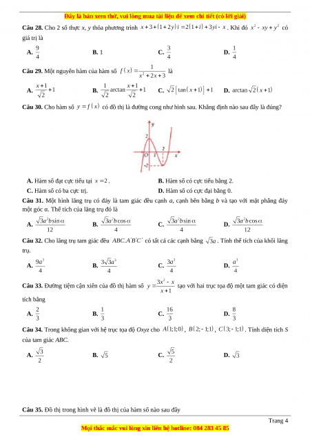
có đồ thị là đường cong như hình sau. Khẳng định nào sau đây là đúng?
A. Hàm số đạt cực tiểu tại .
B. Hàm số có cực tiểu bằng 2.
C. Hàm số có ba cực trị.
D. Hàm số có cực đại bằng 0.
Câu 31. Một hình lăng trụ có đáy là tam giác đều cạnh a, cạnh bên bằng b và tạo với mặt phẳng đáy
một góc α. Thể tích của lăng trụ đó là A. B. C. D.
Câu 32. Cho lăng trụ tam giác đều
có tất cả các cạnh bằng
. Tính thể tích của khối lăng trụ. A. B. C. D.
Câu 33. Đường tiệm cận xiên của đồ thị hàm số
tạo với hai trục tọa độ một tam giác có diện tích bằng A. B. C. D.
Câu 34. Trong không gian với hệ trục tọa độ Oxyz cho , , . Tính diện tích S của tam giác ABC. A. B. C. D.
Câu 35. Đồ thị trong hình vẽ là đồ thị của hàm số nào sau đây Trang 4
A. B. C. D.
Câu 36. Diện tích hình phẳng giới hạn bởi đường cong và đường thẳng bằng S là A. B. C. D.
Câu 37. Số nghiệm của phương trình là A. 2 B. 0 C. Đáp án khác D. 1
Câu 38. Cho đường tròn .
. Tính diện tích hình tròn . A. 6π B. 9π C. 36π D. 64π
Câu 39. Kết luận nào sau đây là đúng về m ? Biết .
A. m vừa là số nguyên tố vừa là hợp số
B. m không phải là số nguyên tố cũng không phải hợp số
C. m là hợp số
D. m là số nguyên tố
Câu 40. Thầy giáo dạy Toán gửi 300 triệu đồng vào ngân hàng với lãi suất 6,8% năm, phương thức tính
lãi 3 tháng một lần. Hỏi sau 3 năm 6 tháng thầy giáo nhận được bao nhiêu tiền cả vốn lẫn lãi, biết thầy chưa rút lãi lần nào. A. 354 triệu đồng B. 349 triệu đồng C. 375 triệu đồng D. 380 triệu đồng
Câu 41. Tính tổng tất cả các giá trị nguyên của hàm số . A. 3 B. 8 C. 6 D. 5
Câu 42. Rút gọn biểu thức . A. A = 1 B. C. D. A = 2 Câu 43. Nếu và
thì giá trị của ab là A. B. C. D.
Câu 44. Giá trị lớn nhất của hàm số là A. 0 B. 2 C. 4 D. 5
Câu 45. Cho một hình trụ có chiều cao và bán kính đều bằng a. Một hình vuông ABCD có hai cạnh AB,
CD lần lượt là hai dây cung của hai đường tròn đáy, cạnh AD, BC không phải là đường sinh của hình
trụ. Tính cạnh của hình vuông này. Trang 5
Đề thi thử THPT Quốc Gia môn Toán có đáp án (đề 12 ) - thầy Nguyễn Phụ Hoàng Lân
482
241 lượt tải
MUA NGAY ĐỂ XEM TOÀN BỘ TÀI LIỆU
CÁCH MUA:
- B1: Gửi phí vào TK:
1053587071
- NGUYEN VAN DOAN - Ngân hàng Vietcombank (QR) - B2: Nhắn tin tới Zalo VietJack Official ( nhấn vào đây ) để xác nhận thanh toán và tải tài liệu - giáo án
Liên hệ ngay Hotline hỗ trợ: 084 283 45 85
Đề thi được cập nhật liên tục trong gói này từ nay đến hết tháng 6/2023. Chúng tôi đảm bảo đủ số lượng đề đã cam kết hoặc có thể nhiều hơn, tất cả có BẢN WORD, LỜI GIẢI CHI TIẾT và tải về dễ dàng.
Để tải tài liệu gốc về máy bạn click vào nút Tải Xuống ở trên!
Thuộc bộ (mua theo bộ để tiết kiệm hơn):
- Bộ 14 đề thi THPT Quốc gia môn Toán năm 2022-2023 có lời giải chi tiết được thầy Nguyễn Phụ Ngọc Lân biên soạn công phu bám sát đề thi minh họa của Bộ GD&ĐT.
- File word có lời giải chi tiết 100%.
- Mua trọn bộ sẽ tiết kiệm hơn tải lẻ 50%.
Đánh giá
4.6 / 5(482 )5
4
3
2
1

Trọng Bình
Tài liệu hay
Giúp ích cho tôi rất nhiều

Duy Trần
Tài liệu chuẩn
Rất thích tài liệu bên VJ soạn (bám sát chương trình dạy)
TÀI LIỆU BỘ BÁN CHẠY MÔN Toán Học
Xem thêmTÀI LIỆU BỘ BÁN CHẠY Lớp 12
Xem thêmTài liệu bộ mới nhất

Đây là bản xem thử, vui lòng mua tài liệu để xem chi tiết (có lời giải)
ĐỀ THI THỬ THPT QUỐC GIA NĂM HỌC 2023 – ĐỀ SỐ 12
Câu 1 . Cho . Giá trị của tỷ số là
A. B. C. D.
Câu 2. Giả sử hai nghiệm của phương trình là . Khi đó có giá trị là
A. B. 7 C. 6 D.
Câu 3. Cho mạch điện như hình vẽ dưới. Lúc đầu tụ điện có điện tích . Khi đóng khóa, K, tụ điện
phóng điện qua cuộn dây L. Giả sử cường độ dòng điện tại thời điểm t phụ thuộc vào thời gian theo công
thức (A), trong đó là tần số góc, có đơn vị là giây (s). Tính điện
lượng chạy qua một thiết diện thẳng của dây từ lúc bắt đầu đóng khóa K (t = 0) đến thời điểm t = 3 (s).
A. B. C. D.
Câu 4. Đạo hàm của hàm số là
A. B.
C. D.
Câu 5. Gọi A, B, C lần lượt là các điểm biểu diễn cho các số phức ; ; . Chọn
kết luận đúng nhất.
A. Tam giác ABC cân tại B. B. Tam giác ABC vuông cân tại B.
C. Tam giác ABC cân tại A. D. Tam giác ABC vuông cân tại A.
Câu 6. Tập hợp các điểm trong mặt phẳng tọa độ biểu diễn số phức z thỏa mãn điều kiện
là hình gì?
A. Một đường tròn. B. Một đường Parabol. C. Một đường Elip. D. Một đường thẳng.
Câu 7. Đồ thị hàm số có tâm đối xứng là điểm nào?
A. B. C. D.
Câu 8. Thể tích vật thể tròn xoay khi quay hình phẳng giới hạn bởi các đường ; ; ;
quanh trục Ox là
A. B. C. D.
Câu 9. Cho x là số thực dương thỏa mãn . Tính giá trị của
A. 0 và 1 B. 0 C. 0 và D. 1
Câu 10. Đồ thị hàm số có bao nhiêu tiệm cận đứng?
Trang 1
Mọi thắc mắc vui lòng xin liên hệ hotline: 084 283 45 85

Đây là bản xem thử, vui lòng mua tài liệu để xem chi tiết (có lời giải)
A. 0 B. 1 C. 3 D. 2
Câu 11. Hàm số là một nguyên hàm của hàm số và thì
A. B.
C. D.
Câu 12. Trong không gian với hệ trục tọa độ Oxy cho , . Viết phương trình mặt cầu
(S) tâm A và bán kính AB.
A. B.
C. D.
Câu 13. Cho hình chóp S.ABCD có đáy là hình chữ nhật, AB = a, AD = 2a; SA = 2a và vuông góc với
đáy. Khoảng cách từ điểm A tới mặt phẳng (SBD) là
A. B. C. D.
Câu 14. Cho . Tiếp tuyến của (C) song song với đường thẳng có
phương trình là
A. B. C. D.
Câu 15. Gọi là hai nghiệm phức của phương trình . Giá trị của biểu thức
bằng
A. 2 B. C. 4 D. 1
Câu 16. Cho tam giác ABC vuông tại A, AB = a, góc ABC bằng . Quay miền trong tam giác ABC
quanh cạnh BC ta được một khối tròn xoay, tính thể tích khối đó?
A. B. C. D.
Câu 17. Tính tích phân .
A. B. C. D. 1
Câu 18. Trong không gian với hệ trục tọa độ Oxyz cho , . Viết phương trình đường
thẳng AB.
A. B. C. D.
Câu 19. Cho số phức . Phần thực của số phức z là
A. B. C. D.
Trang 2
Mọi thắc mắc vui lòng xin liên hệ hotline: 084 283 45 85

Đây là bản xem thử, vui lòng mua tài liệu để xem chi tiết (có lời giải)
Câu 20. Cho hàm số có đạo hàm . Hỏi đồ thị hàm số có bao nhiêu
điểm cực trị?
A. 2 B. 1 C. 3 D. 4
Câu 21. Gọi L là chiều dài của đoạn đường có điểm đầu là A và điểm cuối B (hình vẽ là những nửa
đường tròn đồng tâm O và có bán kính lần lượt là 1, 2, 3, 4, 5). Hãy chọn khẳng định đúng.
A. 51 B. L > 52 C. 47 D. L < 50
Câu 22. Tìm m để mặt cầu có phương trình có bán kính R = 5.
A. m = 16 B. m = 4 C. D.
Câu 23. Trong không gian với hệ trục tọa độ Oxyz, cho đường thẳng d có phương trình
. Điểm nào sau đây không thuộc đường thẳng d?
A. B. C. D.
Câu 24. Cho hàm số . Số giao điểm của đồ thị hàm số và trục hoành là
A. 2 B. 1 C. 3 D. 0
Câu 25. Trong không gian Oxyz, cho ba điểm , , . Tâm đường tròn
ngoại tiếp tam giác ABC có tọa độ là
A. B. C. D.
Câu 26. Trong không gian với hệ tọa độ Oxyz, cho điểm , gọi A, B, C lần lượt là hình chiếu
của M trên Ox, Oy, Oz. Mặt phẳng nào sau đây song song với mặt phẳng (ABC)?
A. B.
C. D.
Câu 27. Trong không gian với hệ tọa độ Oxyz, cho đường thẳng và hai mặt phẳng (P) và (Q)
lần lượt có phương trình ; . Viết phương trình mặt cầu (S) có tâm I
thuộc đường thẳng d, tiếp xúc với hai mặt phẳng (P) và (Q).
A. B.
C. D.
Trang 3
Mọi thắc mắc vui lòng xin liên hệ hotline: 084 283 45 85

Đây là bản xem thử, vui lòng mua tài liệu để xem chi tiết (có lời giải)
Câu 28. Cho 2 số thực x, y thỏa phương trình . Khi đó có
giá trị là
A. B. 1 C. D.
Câu 29. Một nguyên hàm của hàm số là
A. B. C. D.
Câu 30. Cho hàm số có đồ thị là đường cong như hình sau. Khẳng định nào sau đây là đúng?
A. Hàm số đạt cực tiểu tại . B. Hàm số có cực tiểu bằng 2.
C. Hàm số có ba cực trị. D. Hàm số có cực đại bằng 0.
Câu 31. Một hình lăng trụ có đáy là tam giác đều cạnh a, cạnh bên bằng b và tạo với mặt phẳng đáy
một góc α. Thể tích của lăng trụ đó là
A. B. C. D.
Câu 32. Cho lăng trụ tam giác đều có tất cả các cạnh bằng . Tính thể tích của khối lăng
trụ.
A. B. C. D.
Câu 33. Đường tiệm cận xiên của đồ thị hàm số tạo với hai trục tọa độ một tam giác có diện
tích bằng
A. B. C. D.
Câu 34. Trong không gian với hệ trục tọa độ Oxyz cho , , . Tính diện tích S
của tam giác ABC.
A. B. C. D.
Câu 35. Đồ thị trong hình vẽ là đồ thị của hàm số nào sau đây
Trang 4
Mọi thắc mắc vui lòng xin liên hệ hotline: 084 283 45 85

Đây là bản xem thử, vui lòng mua tài liệu để xem chi tiết (có lời giải)
A. B. C. D.
Câu 36. Diện tích hình phẳng giới hạn bởi đường cong và đường thẳng bằng S là
A. B. C. D.
Câu 37. Số nghiệm của phương trình là
A. 2 B. 0 C. Đáp án khác D. 1
Câu 38. Cho đường tròn . . Tính diện tích hình tròn .
A. 6π B. 9π C. 36π D. 64π
Câu 39. Kết luận nào sau đây là đúng về m ? Biết .
A. m vừa là số nguyên tố vừa là hợp số
B. m không phải là số nguyên tố cũng không phải hợp số
C. m là hợp số
D. m là số nguyên tố
Câu 40. Thầy giáo dạy Toán gửi 300 triệu đồng vào ngân hàng với lãi suất 6,8% năm, phương thức tính
lãi 3 tháng một lần. Hỏi sau 3 năm 6 tháng thầy giáo nhận được bao nhiêu tiền cả vốn lẫn lãi, biết thầy
chưa rút lãi lần nào.
A. 354 triệu đồng B. 349 triệu đồng C. 375 triệu đồng D. 380 triệu đồng
Câu 41. Tính tổng tất cả các giá trị nguyên của hàm số .
A. 3 B. 8 C. 6 D. 5
Câu 42. Rút gọn biểu thức .
A. A = 1 B. C. D. A = 2
Câu 43. Nếu và thì giá trị của ab là
A. B. C. D.
Câu 44. Giá trị lớn nhất của hàm số là
A. 0 B. 2 C. 4 D. 5
Câu 45. Cho một hình trụ có chiều cao và bán kính đều bằng a. Một hình vuông ABCD có hai cạnh AB,
CD lần lượt là hai dây cung của hai đường tròn đáy, cạnh AD, BC không phải là đường sinh của hình
trụ. Tính cạnh của hình vuông này.
Trang 5
Mọi thắc mắc vui lòng xin liên hệ hotline: 084 283 45 85