Biên soạn bởi giáo viên
ĐỀ THI THỬ THPTQG NĂM 2023 Trần Công Diệu
CHUẨN CẤU TRÚC CỦA BỘ GIÁO DỤC – ĐỀ 15 Môn thi: TOÁN
Thời gian làm bài: 90 phút, không kể thời gian phát đề
Họ, tên thí sinh:.......................................................................
Số báo danh:............................................................................
Câu 1. Cho cấp số nhân có số hạng đầu và công bội
. Số hạng thứ năm của là A. B. C. D.
Câu 2. Cho tam giác ABC vuông cân tại A,
. Thể tích của khối tròn xoay tạo thành khi quay tam
giác ABC quanh cạnh AB bằng A. B. C. D.
Câu 3. Trong không gian Oxyz, đường thẳng đi qua điểm
và vuông góc với mặt phẳng có phương trình là A. B. C. D.
Câu 4. Cho hình chóp S.ABCD có đáy ABCD là hình chữ nhật, , đường thẳng SA
vuông góc với mặt phẳng và
. Thể tích của khối chóp S.ABCD bằng A. B. C. D.
Câu 5. Tiếp tuyến của đồ thị hàm số
tại điểm có hoành độ là A. B. C. D.
Câu 6. Điều kiện xác định của phương trình là: A. và B. và C. D. và
Câu 7. Cho hàm số
liên tục trên đoạn
. Mệnh đề nào dưới đây sai? Trang 1
A. B. C. D.
Câu 8. Số cách sắp xếp 6 học sinh vào một bàn dài có 10 chỗ ngồi là: A. B. C. D. Câu 9. Cho hàm số
là một nguyên hàm của hàm số
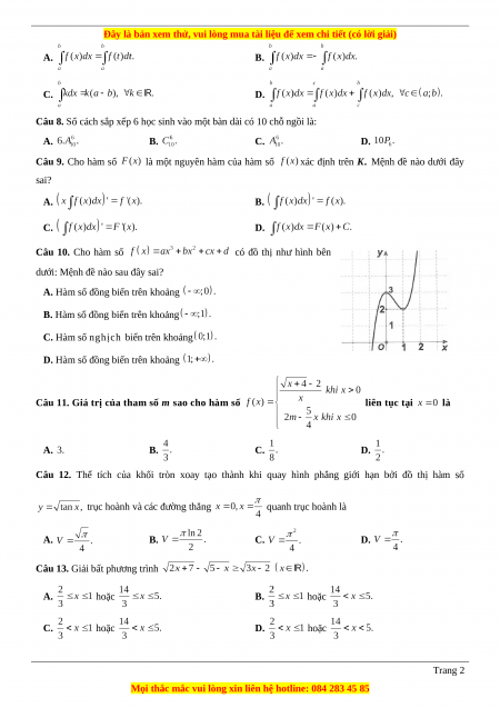
xác định trên K. Mệnh đề nào dưới đây sai? A. B. C. D. Câu 10. Cho hàm số
có đồ thị như hình bên
dưới: Mệnh đề nào sau đây sai?
A. Hàm số đồng biến trên khoảng
B. Hàm số đồng biến trên khoảng
C. Hàm số nghịch biến trên khoảng
D. Hàm số đồng biến trên khoảng
Câu 11. Giá trị của tham số m sao cho hàm số liên tục tại là A. B. C. D.
Câu 12. Thể tích của khối tròn xoay tạo thành khi quay hình phẳng giới hạn bởi đồ thị hàm số
trục hoành và các đường thẳng quanh trục hoành là A. B. C. D.
Câu 13. Giải bất phương trình A. hoặc B. hoặc C. hoặc D. hoặc Trang 2
Câu 14. Trong mặt phẳng tọa độ Oxy, phép quay tâm O góc quay biến điểm thành điểm
M'. Tọa độ điểm M' là A. B. C. D.
Câu 15. Diện tích của hình phẳng giới hạn bởi đồ thị hàm số và trục hoành bằng A. B. C. D.
Câu 16. Trong không gian Oxyz, mặt phẳng đi qua tâm của mặt cầu và song
song với mặt phẳng (Oxz) có phương trình là: A. B. C. D.
Câu 17. Cho hình lăng trụ đứng ABC.A’B’C’ có đáy ABC là tam giác vuông cân tại B, , góc giữa
đường thẳng A’C và mặt phẳng (ABC) bằng
. Thể tích của khối lăng trụ ABC.A’B’C’ bằng: A. B. C. D.
Câu 18. Cho tứ diện ABCD có các cạnh BA, BC, BD vuông góc với nhau
từng đôi một (như hình vẽ bên dưới). Khẳng định nào sau đây sai?
A. Góc giữa AD và (ABC) là góc
B. Góc giữa CD và (ABD) là góc
C. Góc giữa AC và (BCD) là góc
D. Góc giữa AC và (ABD) là góc
Câu 19. Gọi (T) là một hình trụ có diện tích xung quanh bằng
và có chiều cao bằng đường kính đáy.
Thể tích khối trụ (T) bằng: A. B. C. D.
Câu 20. Trong không gian Oxyz, cho hai điểm
. Mặt phẳng trung trực của đoạn
thẳng AB có phương trình là: A. B. C. D. Câu 21. Cho hàm số
có bảng biến thiên như hình bên dưới. Giá trị cực tiểu của hàm số là x 0 2 y’ + 0 - 0 + y 4 Trang 3
A. B. C. D. Câu 22. Với , giá trị của bằng A. B. C. D. Câu 23. Cho biết
Giá trị của a bằng A. B. C. D.
Câu 24. Biết giá trị lớn nhất và giá trị nhỏ nhất của hàm sô trên lần lượt là
M và m. Giá trị của bằng A. B. C. D.
Câu 25. Tập nghiệm của phương trình là A. B. C. D.
Câu 26. Gọi là nghiệm phức có phần ảo âm của phương trình . Số phức bằng A. B. C. D.
Câu 27. Trong không gian Oxyz, mặt phẳng (P) đi qua điểm
song song với hai đường thẳng có phương trình là A. B. C. D.
Câu 28. Tổng tất cả các nghiệm của phương trình bằng A. B. C. D.
Câu 29. Đường tiệm cận đứng của đồ thị hàm số là A. B. C. D.
Câu 30. Cho các số phức
Số phức liên hợp của số phức là A. B. C. D. Trang 4
Câu 31. Trong không gian Oxyz, cho điểm M và cắt (S) tại hai điểm phân biệt A,B. Diện tích lớn nhất
của tam giác OAB bằng A. B. C. D. Câu 32. Gọi
là nguyên hàm của hàm số thỏa mãn Giá trị của biểu thức bằng A. B. C. D.
Câu 33. Tất cả các giá trị của tham số m để phương trình có nghiệm là A. B. C. và D. m<0
Câu 34. Một chiếc ô tô đang chuyến động với vận tốc
(m/s). Quãng đường ô tô đi được từ thời điểm đến thời điểm là A. B. C. D.
Câu 35. Ông An mua một chiếc điện thoại di động tại một cửa hàng với giá 18 500 000 đồng và đã trả
trước 5 000 000 đồng ngay khi nhận điện thoại. Mỗi tháng, ông An phải trả góp cho cửa hàng trên số tiền
không đổi là m đồng. Biết rằng lãi suất tính trên số tiền nợ còn lại là 3,4%/tháng và ông An trả đúng 12
tháng thì hết nợ. Số tiền m là A. 1350 203 đồng. B. 1903 203 đồng. C. 1388 824 đồng. D. 1680 347 đồng.
Câu 36. Nhà xe khoán cho hai tài xế An và Bình mỗi người lần lượt nhận 32 lít và 72 lít xăng trong một
tháng. Biết rằng, trong một ngày tổng số xăng cả hai người sử dụng là 10 lít. Tổng số ngày ít nhất để hai
tài xế sử dụng hết số xăng được khoán là A. 4 ngày. B. 10 ngày. C. 20 ngày. D. 15 ngày.
Câu 37. Trong mặt phẳng với hệ toạ độ Oxy cho tam giác ABC. Hai điểm lần lượt
thuộc AB, AC và phương trình đường phân giác trong góc A là , trọng tâm của tam giác
ABC là G. Tìm toạ độ các đỉnh của tam giác ABC. A. B. C. D.
Câu 38. Trong không gian với hệ toạ độ Oxyz, cho mặt cầu Gọi
là điểm thuộc (S) sao cho khoảng cách từ điểm N đến mặt phẳng (Oxz) lớn nhất. Giá trị của biểu thức bằng A. B. C. D. Trang 5
Đề thi thử THPT Quốc Gia môn Toán có đáp án (đề 15 ) - thầy Trần Công Diệu
496
248 lượt tải
MUA NGAY ĐỂ XEM TOÀN BỘ TÀI LIỆU
CÁCH MUA:
- B1: Gửi phí vào TK:
1053587071
- NGUYEN VAN DOAN - Ngân hàng Vietcombank (QR) - B2: Nhắn tin tới Zalo VietJack Official ( nhấn vào đây ) để xác nhận thanh toán và tải tài liệu - giáo án
Liên hệ ngay Hotline hỗ trợ: 084 283 45 85
Đề thi được cập nhật liên tục trong gói này từ nay đến hết tháng 6/2023. Chúng tôi đảm bảo đủ số lượng đề đã cam kết hoặc có thể nhiều hơn, tất cả có BẢN WORD, LỜI GIẢI CHI TIẾT và tải về dễ dàng.
Để tải tài liệu gốc về máy bạn click vào nút Tải Xuống ở trên!
Thuộc bộ (mua theo bộ để tiết kiệm hơn):
- Bộ 17 đề thi THPT Quốc gia môn Toán năm 2022-2023 có lời giải chi tiết được thầy Trần Công Diệu biên soạn công phu bám sát đề thi minh họa của Bộ GD&ĐT.
- File word có lời giải chi tiết 100%.
- Mua trọn bộ sẽ tiết kiệm hơn tải lẻ 50%.
Đánh giá
4.6 / 5(496 )5
4
3
2
1

Trọng Bình
Tài liệu hay
Giúp ích cho tôi rất nhiều

Duy Trần
Tài liệu chuẩn
Rất thích tài liệu bên VJ soạn (bám sát chương trình dạy)
TÀI LIỆU BỘ BÁN CHẠY MÔN Toán Học
Xem thêmTÀI LIỆU BỘ BÁN CHẠY Lớp 12
Xem thêmTài liệu bộ mới nhất

Đây là bản xem thử, vui lòng mua tài liệu để xem chi tiết (có lời giải)
Biên soạn bởi giáo viên
Trần Công Diệu
ĐỀ THI THỬ THPTQG NĂM 2023
CHUẨN CẤU TRÚC CỦA BỘ GIÁO DỤC – ĐỀ 15
Môn thi: TOÁN
Thời gian làm bài: 90 phút, không kể thời gian phát đề
Họ, tên thí sinh:.......................................................................
Số báo danh:............................................................................
Câu 1. Cho cấp số nhân có số hạng đầu và công bội . Số hạng thứ năm của là
A. B. C. D.
Câu 2. Cho tam giác ABC vuông cân tại A, . Thể tích của khối tròn xoay tạo thành khi quay tam
giác ABC quanh cạnh AB bằng
A. B. C. D.
Câu 3. Trong không gian Oxyz, đường thẳng đi qua điểm và vuông góc với mặt phẳng
có phương trình là
A. B.
C. D.
Câu 4. Cho hình chóp S.ABCD có đáy ABCD là hình chữ nhật, , đường thẳng SA
vuông góc với mặt phẳng và . Thể tích của khối chóp S.ABCD bằng
A. B. C. D.
Câu 5. Tiếp tuyến của đồ thị hàm số tại điểm có hoành độ là
A. B. C. D.
Câu 6. Điều kiện xác định của phương trình là:
A. và B. và
C. D. và
Câu 7. Cho hàm số liên tục trên đoạn . Mệnh đề nào dưới đây sai?
Trang 1
Mọi thắc mắc vui lòng xin liên hệ hotline: 084 283 45 85

Đây là bản xem thử, vui lòng mua tài liệu để xem chi tiết (có lời giải)
A. B.
C. D.
Câu 8. Số cách sắp xếp 6 học sinh vào một bàn dài có 10 chỗ ngồi là:
A. B. C. D.
Câu 9. Cho hàm số là một nguyên hàm của hàm số xác định trên K. Mệnh đề nào dưới đây
sai?
A. B.
C. D.
Câu 10. Cho hàm số có đồ thị như hình bên
dưới: Mệnh đề nào sau đây sai?
A. Hàm số đồng biến trên khoảng
B. Hàm số đồng biến trên khoảng
C. Hàm số nghịch biến trên khoảng
D. Hàm số đồng biến trên khoảng
Câu 11. Giá trị của tham số m sao cho hàm số liên tục tại là
A. B. C. D.
Câu 12. Thể tích của khối tròn xoay tạo thành khi quay hình phẳng giới hạn bởi đồ thị hàm số
trục hoành và các đường thẳng quanh trục hoành là
A. B. C. D.
Câu 13. Giải bất phương trình
A. hoặc B. hoặc
C. hoặc D. hoặc
Trang 2
Mọi thắc mắc vui lòng xin liên hệ hotline: 084 283 45 85

Đây là bản xem thử, vui lòng mua tài liệu để xem chi tiết (có lời giải)
Câu 14. Trong mặt phẳng tọa độ Oxy, phép quay tâm O góc quay biến điểm thành điểm
M'. Tọa độ điểm M' là
A. B. C. D.
Câu 15. Diện tích của hình phẳng giới hạn bởi đồ thị hàm số và trục hoành bằng
A. B. C. D.
Câu 16. Trong không gian Oxyz, mặt phẳng đi qua tâm của mặt cầu và song
song với mặt phẳng (Oxz) có phương trình là:
A. B. C. D.
Câu 17. Cho hình lăng trụ đứng ABC.A’B’C’ có đáy ABC là tam giác vuông cân tại B, , góc giữa
đường thẳng A’C và mặt phẳng (ABC) bằng . Thể tích của khối lăng trụ ABC.A’B’C’ bằng:
A. B. C. D.
Câu 18. Cho tứ diện ABCD có các cạnh BA, BC, BD vuông góc với nhau
từng đôi một (như hình vẽ bên dưới). Khẳng định nào sau đây sai?
A. Góc giữa AD và (ABC) là góc
B. Góc giữa CD và (ABD) là góc
C. Góc giữa AC và (BCD) là góc
D. Góc giữa AC và (ABD) là góc
Câu 19. Gọi (T) là một hình trụ có diện tích xung quanh bằng và có chiều cao bằng đường kính đáy.
Thể tích khối trụ (T) bằng:
A. B. C. D.
Câu 20. Trong không gian Oxyz, cho hai điểm . Mặt phẳng trung trực của đoạn
thẳng AB có phương trình là:
A. B. C. D.
Câu 21. Cho hàm số có bảng biến thiên như hình bên dưới. Giá trị cực tiểu của hàm số là
x 0 2
y’ + 0 - 0 +
y
4
Trang 3
Mọi thắc mắc vui lòng xin liên hệ hotline: 084 283 45 85

Đây là bản xem thử, vui lòng mua tài liệu để xem chi tiết (có lời giải)
A. B. C. D.
Câu 22. Với , giá trị của bằng
A. B. C. D.
Câu 23. Cho biết Giá trị của a bằng
A. B. C. D.
Câu 24. Biết giá trị lớn nhất và giá trị nhỏ nhất của hàm sô trên lần lượt là
M và m. Giá trị của bằng
A. B. C. D.
Câu 25. Tập nghiệm của phương trình là
A. B.
C. D.
Câu 26. Gọi là nghiệm phức có phần ảo âm của phương trình . Số phức bằng
A. B. C. D.
Câu 27. Trong không gian Oxyz, mặt phẳng (P) đi qua điểm song song với hai đường thẳng
có phương trình là
A. B.
C. D.
Câu 28. Tổng tất cả các nghiệm của phương trình bằng
A. B. C. D.
Câu 29. Đường tiệm cận đứng của đồ thị hàm số là
A. B. C. D.
Câu 30. Cho các số phức Số phức liên hợp của số phức là
A. B. C. D.
Trang 4
Mọi thắc mắc vui lòng xin liên hệ hotline: 084 283 45 85

Đây là bản xem thử, vui lòng mua tài liệu để xem chi tiết (có lời giải)
Câu 31. Trong không gian Oxyz, cho điểm M và cắt (S) tại hai điểm phân biệt A,B. Diện tích lớn nhất
của tam giác OAB bằng
A. B. C. D.
Câu 32. Gọi là nguyên hàm của hàm số thỏa mãn Giá trị của biểu
thức bằng
A. B. C. D.
Câu 33. Tất cả các giá trị của tham số m để phương trình có nghiệm là
A. B. C. và D. m<0
Câu 34. Một chiếc ô tô đang chuyến động với vận tốc (m/s). Quãng đường ô tô đi được
từ thời điểm đến thời điểm là
A. B. C. D.
Câu 35. Ông An mua một chiếc điện thoại di động tại một cửa hàng với giá 18 500 000 đồng và đã trả
trước 5 000 000 đồng ngay khi nhận điện thoại. Mỗi tháng, ông An phải trả góp cho cửa hàng trên số tiền
không đổi là m đồng. Biết rằng lãi suất tính trên số tiền nợ còn lại là 3,4%/tháng và ông An trả đúng 12
tháng thì hết nợ. Số tiền m là
A. 1350 203 đồng. B. 1903 203 đồng. C. 1388 824 đồng. D. 1680 347 đồng.
Câu 36. Nhà xe khoán cho hai tài xế An và Bình mỗi người lần lượt nhận 32 lít và 72 lít xăng trong một
tháng. Biết rằng, trong một ngày tổng số xăng cả hai người sử dụng là 10 lít. Tổng số ngày ít nhất để hai
tài xế sử dụng hết số xăng được khoán là
A. 4 ngày. B. 10 ngày. C. 20 ngày. D. 15 ngày.
Câu 37. Trong mặt phẳng với hệ toạ độ Oxy cho tam giác ABC. Hai điểm lần lượt
thuộc AB, AC và phương trình đường phân giác trong góc A là , trọng tâm của tam giác
ABC là G. Tìm toạ độ các đỉnh của tam giác ABC.
A. B.
C. D.
Câu 38. Trong không gian với hệ toạ độ Oxyz, cho mặt cầu Gọi
là điểm thuộc (S) sao cho khoảng cách từ điểm N đến mặt phẳng (Oxz) lớn nhất. Giá trị của
biểu thức bằng
A. B. C. D.
Trang 5
Mọi thắc mắc vui lòng xin liên hệ hotline: 084 283 45 85