Biên soạn bởi giáo viên
ĐỀ THI THỬ THPTQG NĂM 2023 Trần Công Diệu
CHUẨN CẤU TRÚC CỦA BỘ GIÁO DỤC – ĐỀ 01 Môn thi: TOÁN
Thời gian làm bài: 90 phút, không kể thời gian phát đề
Họ, tên thí sinh:.......................................................................
Số báo danh:............................................................................
Câu 1. Cho ba điểm A, B, C phân biệt. Đẳng thức nào sau đây là đẳng thức sai? A. . B. . C. . D. . Câu 2. Tính . A. B. C. D.
Câu 3. Cho hình lập phương ABCD.A’B’C’D’ có cạnh bằng 2a. Tính A. B. C. D.
Câu 4. Đường cong ở hình bên là đồ thị của hàm số nào sau đây? A. B. C. D. Câu 5. Cho hàm số
Khẳng định nào sau đây là khẳng định đúng?
A. Hàm số đồng biến trên khoảng .
B. Hàm số nghịch biến trên khoảng .
C. Hàm số đồng biến trên khoảng .
D. Hàm số nghịch biến trên khoảng . Câu 6. Cho Tính . A. B. C. D.
Câu 7. Cho a, b, c là ba số dương khác 1. Đồ thị các hàm số
được cho trong hình vẽ bên. Mệnh đề nào dưới đây là mệnh đề đúng? A. B. C. D.
Câu 8. Tìm họ nguyên hàm của hàm số: A. B. Trang 1
C. D.
Câu 9. Trong không gian với hệ tọa độ Oxyz, cho vectơ
. Tìm tọa độ của vectơ
, biết rằng vectơ cùng phương với vectơ . A. B. C. D.
Câu 10. Trong không gian với hệ tọa độ Oxyz, cho hai điểm A, B với , . Tìm tọa độ của vectơ . A. B. C. D.
Câu 11. Một trò chơi trong đó người chơi trả lời đúng một câu hỏi được cộng 10 điểm, trả lời sai một
câu hỏi bị trừ 2 điểm. Biết rằng người chơi trả lời 20 câu hỏi và được 44 điểm. Hỏi người chơi đó đã trả lời sai mấy câu hỏi? A. 13. B. 6. C. 8. D. 7.
Câu 12. Cho hình vuông ABCD cạnh a. Mệnh đề nào sau đây sai? A. B. C. D.
Câu 13. Trong mặt phẳng Oxy, cho các điểm
lần lượt là trung điểm của các
cạnh BC, CA, AB của tam giác ABC. Tìm tọa độ trọng tâm G của tam giác ABC. A. B. C. D. Câu 14. Cho hàm số
xác định và liên tục trên có đồ thị như
hình vẽ bên dưới. Trong các mệnh đề sau, tìm mệnh đề đúng?
A. y là hàm số chẵn.
B. y là hàm số lẻ.
C. y là hàm số không có tính chẵn lẻ.
D. y là hàm số vừa chẵn vừa lẻ.
Câu 15. Cho tứ diện ABCD có và
. Khẳng định nào sau đây đúng? A. B. C. D.
Câu 16. Một tổ có 8 học sinh. Có bao nhiêu cách chọn 3 bạn để làm các công việc trực nhật: quét lớp, lau
bảng, đổ rác (mỗi bạn làm một công việc)? A. B. C. D.
Câu 17. Cho một cấp số cộng có . Tìm công sai d? A. B. C. D.
Câu 18. Trong khai triển biểu thức
, hệ số của số hạng chứa là: Trang 2
A. 116280. B. 203490. C. 293930. D. 1287. Câu 19. Cho hàm số
(m là tham số). Tìm m tham số ra để đồ thị của hàm số
có hai điểm cực trị đối xứng nhau qua điểm ? A. B. C. D.
Câu 20. Tìm tất cả giá trị thực của tham số m để mọi tiếp tuyến của đồ thị hàm số
có hệ số góc luôn dương. A. B. C. D. Câu 21. Cho hàm số
có đạo hàm liên tục trên tập và có đồ thị hàm số như hình vẽ. Biết . Có bao
nhiêu tiếp tuyến của đồ thị hàm số
mà tiếp tuyến đó song song với đường thẳng . A. 2. B. 1. C. 0. D. 3. Câu 22. Cho hàm số
có đồ thị (C) và điểm
. Xét điểm M bất kì trên (C) có
. Đường thẳng MA cắt (C) tại điểm B (khác M). Tìm tung độ của điểm B. A. B. C. D. Câu 23. Cho
liên tục trên đoạn [0;10] thỏa mãn ; . Khi đó giá trị của là. A. 10 B. 4. C. 3. D.
Câu 24. Nghiệm phức có phần ảo dương của phương trình là: A. B. C. D. Câu 25. Biết là số phức thỏa mãn . Tổng là A. B. C. D.
Câu 26. Trong không gian Oxyz. Tính thể tích V của khối đa diện giới hạn bởi mặt phẳng
và các mặt phẳng tọa độ. A. B. C. D.
Câu 27. Một gia đình muốn xây một bồn chứa nước hình hộp chữ nhật chứa được nước để sinh
hoạt, biết chiều dài và chiều rộng của bồn nước lần lượt là 5 m và 4 m . Hởi cần xây chiều cao h của bồn
chứa nước bằng bao nhiêu m ? A. B. C. D. Trang 3
Câu 28. Cho khối nón có bán kính đáy R, độ dài đường sinh l.Tính thể tích của khối nón. A. B. C. D.
Câu 29. Tính thể tích của khối trụ biết bán kính đáy của hình trụ đó bằng a và thiết diện đi qua trục là một hình vuông. A. B. C. D.
Câu 30. Trong không gian với hệ tọa độ Oxyz, cho điểm
. Tìm phương trình mặt phẳng
cắt các trục tọa độ Ox, Oy, Oz lần lượt tại 3 điểm A, B, C sao cho H là trực tâm tam giác ABC. A. B. C. D. Câu 31. Cho hàm số
(m là tham số). Biết rằng có hai giá trị để giá trị lớn nhất của hàm số trên đoạn bằng 8. Tính . A. B. C. D.
Câu 32. Trong không gian với hệ tọa độ Oxyz, cho mặt cầu . Tìm
tọa độ điểm A sao cho . A. B. C. D.
Câu 33. Cho hình lập phương ABCD.A’B’C’D’. Tính góc giữa mặt phẳng (ABCD) và (ACC’A’). A. . B. . C. . D.
Câu 34. Cho hai hàm số và
. Tính góc của hai tiếp tuyến của hai đồ thị
hàm số tại giao điểm của chúng. A. . B. . C. . D.
Câu 35. Ba xạ thủ cùng bắn vào bia. Xác suất người thứ nhất, người thứ hai, người thứ ba bắn trúng bia
lần lượt là 0,8; 0,7 và 0,5. Tính xác suất để có ít nhất một xạ thủ bắn trúng bia. A. 0,97 B. 0,03 C. 0,22 D. 1 Câu 36. Cho hàm số . Tính . A. 0. B. C. D. 2019.
Câu 37. . Khối lập phương ABCD.A’B’C’D cạnh a . Gọi K là trung điểm của DD’. Tính khoảng cách giữa CK và A’D. A. B. a. C. D. 2a.
Câu 38. Cho các số phức z thỏa mãn
. Biết rằng tập hợp các điểm biểu diễn các số phức
là một đường tròn. Tính bán kính r của đường tròn đó. Trang 4
A. B. C. D. Câu 39. Cho hàm số (m là tham số;
). Có bao nhiêu giá trị của tham số m để hình
phẳng giới hạn bởi hai trục tọa độ và hai đường tiệm cận của đồ thị hàm số đã cho là một hình vuông. A. 1. B. 3. C. 2. D. 4.
Câu 40. Tam giác ABC vuông cân đỉnh A có cạnh huyền là 2. Quay tam giác ABC quanh trục BC thì được
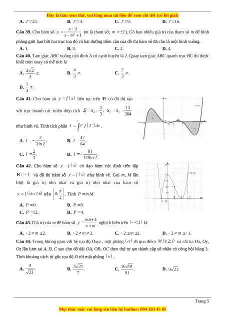
khối tròn xoay có thể tích là A. B. C. D. Câu 41. Cho hàm số liên tục trên có đồ thị tạo
với trục hoành các miền diện tích
như hình vẽ. Tính tích phân . A. B. C. D. Câu 42. Cho hàm số
có đạo hàm xác định trên tập và đồ thị hàm số
như hình vẽ. Gọi m, M lần
lượt là giá trị nhỏ nhất và giá trị nhỏ nhất của hàm số trên . Tính A. B. C. D.
Câu 43. Giá trị của m để hàm số nghịch biến trên là: A. B. C. D.
Câu 44. Trong không gian với hệ tọa độ Oxyz , mặt phẳng đi qua điểm và cắt tia Ox, Oy,
Oz lần lượt tại A, B, C sao cho độ dài OA, OB, OC theo thứ tự tạo thành cấp số nhân có công bội bằng 3.
Tính khoảng cách từ gốc tọa độ O tới mặt phẳng . A. B. C. D. Trang 5
Bộ 17 đề thi tốt nghiệp THPT môn Toán năm 2023 - Trần Công Diệu
1.8 K
880 lượt tải
100.000 ₫
MUA NGAY ĐỂ XEM TOÀN BỘ TÀI LIỆU
CÁCH MUA:
- B1: Gửi phí vào TK:
1053587071
- NGUYEN VAN DOAN - Ngân hàng Vietcombank (QR) - B2: Nhắn tin tới Zalo VietJack Official ( nhấn vào đây ) để xác nhận thanh toán và tải tài liệu - giáo án
Liên hệ ngay Hotline hỗ trợ: 084 283 45 85
Chúng tôi đảm bảo đủ số lượng đề đã cam kết hoặc có thể nhiều hơn, tất cả có BẢN WORD, LỜI GIẢI CHI TIẾT và tải về dễ dàng.
Để tải tài liệu gốc về máy bạn click vào nút Tải Xuống ở trên!
Bộ tài liệu bao gồm: 17 tài liệu lẻ (mua theo bộ tiết kiệm đến 50%)
- Bộ 17 đề thi THPT Quốc gia môn Toán năm 2022-2023 có lời giải chi tiết được thầy Trần Công Diệu biên soạn công phu bám sát đề thi minh họa của Bộ GD&ĐT.
- File word có lời giải chi tiết 100%.
- Mua trọn bộ sẽ tiết kiệm hơn tải lẻ 50%.
Đánh giá
4.6 / 5(1759 )5
4
3
2
1

Trọng Bình
Tài liệu hay
Giúp ích cho tôi rất nhiều

Duy Trần
Tài liệu chuẩn
Rất thích tài liệu bên VJ soạn (bám sát chương trình dạy)
TÀI LIỆU BỘ BÁN CHẠY MÔN Toán Học
Xem thêmTÀI LIỆU BỘ BÁN CHẠY Tốt nghiệp THPT
Xem thêmTài liệu bộ mới nhất

Đây là bản xem thử, vui lòng mua tài liệu để xem chi tiết (có lời giải)
Biên soạn bởi giáo viên
Trần Công Diệu
ĐỀ THI THỬ THPTQG NĂM 2023
CHUẨN CẤU TRÚC CỦA BỘ GIÁO DỤC – ĐỀ 01
Môn thi: TOÁN
Thời gian làm bài: 90 phút, không kể thời gian phát đề
Họ, tên thí sinh:.......................................................................
Số báo danh:............................................................................
Câu 1. Cho ba điểm A, B, C phân biệt. Đẳng thức nào sau đây là đẳng thức sai?
A. . B. .
C. . D. .
Câu 2. Tính .
A. B. C. D.
Câu 3. Cho hình lập phương ABCD.A’B’C’D’ có cạnh bằng 2a. Tính
A. B. C. D.
Câu 4. Đường cong ở hình bên là đồ thị của hàm số nào sau đây?
A. B.
C. D.
Câu 5. Cho hàm số
Khẳng định nào sau đây là khẳng định đúng?
A. Hàm số đồng biến trên khoảng . B. Hàm số nghịch biến trên khoảng .
C. Hàm số đồng biến trên khoảng . D. Hàm số nghịch biến trên khoảng .
Câu 6. Cho Tính .
A. B.
C. D.
Câu 7. Cho a, b, c là ba số dương khác 1. Đồ thị các hàm số
được cho trong hình vẽ bên. Mệnh đề nào dưới đây
là mệnh đề đúng?
A. B. C. D.
Câu 8. Tìm họ nguyên hàm của hàm số:
A. B.
Trang 1
Mọi thắc mắc vui lòng xin liên hệ hotline: 084 283 45 85

Đây là bản xem thử, vui lòng mua tài liệu để xem chi tiết (có lời giải)
C. D.
Câu 9. Trong không gian với hệ tọa độ Oxyz, cho vectơ . Tìm tọa độ của vectơ
, biết rằng vectơ cùng phương với vectơ .
A. B.
C. D.
Câu 10. Trong không gian với hệ tọa độ Oxyz, cho hai điểm A, B với , .
Tìm tọa độ của vectơ .
A. B. C. D.
Câu 11. Một trò chơi trong đó người chơi trả lời đúng một câu hỏi được cộng 10 điểm, trả lời sai một
câu hỏi bị trừ 2 điểm. Biết rằng người chơi trả lời 20 câu hỏi và được 44 điểm. Hỏi người chơi đó đã trả
lời sai mấy câu hỏi?
A. 13. B. 6. C. 8. D. 7.
Câu 12. Cho hình vuông ABCD cạnh a. Mệnh đề nào sau đây sai?
A. B.
C. D.
Câu 13. Trong mặt phẳng Oxy, cho các điểm lần lượt là trung điểm của các
cạnh BC, CA, AB của tam giác ABC. Tìm tọa độ trọng tâm G của tam giác ABC.
A. B. C. D.
Câu 14. Cho hàm số xác định và liên tục trên có đồ thị như
hình vẽ bên dưới. Trong các mệnh đề sau, tìm mệnh đề đúng?
A. y là hàm số chẵn.
B. y là hàm số lẻ.
C. y là hàm số không có tính chẵn lẻ.
D. y là hàm số vừa chẵn vừa lẻ.
Câu 15. Cho tứ diện ABCD có và . Khẳng định nào sau đây đúng?
A. B. C. D.
Câu 16. Một tổ có 8 học sinh. Có bao nhiêu cách chọn 3 bạn để làm các công việc trực nhật: quét lớp, lau
bảng, đổ rác (mỗi bạn làm một công việc)?
A. B. C. D.
Câu 17. Cho một cấp số cộng có . Tìm công sai d?
A. B. C. D.
Câu 18. Trong khai triển biểu thức , hệ số của số hạng chứa là:
Trang 2
Mọi thắc mắc vui lòng xin liên hệ hotline: 084 283 45 85

Đây là bản xem thử, vui lòng mua tài liệu để xem chi tiết (có lời giải)
A. 116280. B. 203490. C. 293930. D. 1287.
Câu 19. Cho hàm số (m là tham số). Tìm m tham số ra để đồ thị của hàm số
có hai điểm cực trị đối xứng nhau qua điểm ?
A. B. C. D.
Câu 20. Tìm tất cả giá trị thực của tham số m để mọi tiếp tuyến của đồ thị hàm số
có hệ số góc luôn dương.
A. B. C. D.
Câu 21. Cho hàm số có đạo hàm liên tục trên tập và có
đồ thị hàm số như hình vẽ. Biết . Có bao
nhiêu tiếp tuyến của đồ thị hàm số mà tiếp tuyến đó song song
với đường thẳng .
A. 2. B. 1.
C. 0. D. 3.
Câu 22. Cho hàm số có đồ thị (C) và điểm . Xét điểm M bất kì trên (C) có
. Đường thẳng MA cắt (C) tại điểm B (khác M). Tìm tung độ của điểm B.
A. B. C. D.
Câu 23. Cho liên tục trên đoạn [0;10] thỏa mãn ; . Khi đó giá trị của
là.
A. 10 B. 4. C. 3. D.
Câu 24. Nghiệm phức có phần ảo dương của phương trình là:
A. B. C. D.
Câu 25. Biết là số phức thỏa mãn . Tổng là
A. B. C. D.
Câu 26. Trong không gian Oxyz. Tính thể tích V của khối đa diện giới hạn bởi mặt phẳng
và các mặt phẳng tọa độ.
A. B. C. D.
Câu 27. Một gia đình muốn xây một bồn chứa nước hình hộp chữ nhật chứa được nước để sinh
hoạt, biết chiều dài và chiều rộng của bồn nước lần lượt là 5 m và 4 m . Hởi cần xây chiều cao h của bồn
chứa nước bằng bao nhiêu m ?
A. B. C. D.
Trang 3
Mọi thắc mắc vui lòng xin liên hệ hotline: 084 283 45 85

Đây là bản xem thử, vui lòng mua tài liệu để xem chi tiết (có lời giải)
Câu 28. Cho khối nón có bán kính đáy R, độ dài đường sinh l.Tính thể tích của khối nón.
A. B. C. D.
Câu 29. Tính thể tích của khối trụ biết bán kính đáy của hình trụ đó bằng a và thiết diện đi qua trục là
một hình vuông.
A. B. C. D.
Câu 30. Trong không gian với hệ tọa độ Oxyz, cho điểm . Tìm phương trình mặt phẳng
cắt các trục tọa độ Ox, Oy, Oz lần lượt tại 3 điểm A, B, C sao cho H là trực tâm tam giác ABC.
A. B.
C. D.
Câu 31. Cho hàm số (m là tham số). Biết rằng có hai giá trị để giá trị lớn
nhất của hàm số trên đoạn bằng 8. Tính .
A. B. C. D.
Câu 32. Trong không gian với hệ tọa độ Oxyz, cho mặt cầu . Tìm
tọa độ điểm A sao cho .
A. B. C. D.
Câu 33. Cho hình lập phương ABCD.A’B’C’D’. Tính góc giữa mặt phẳng (ABCD) và (ACC’A’).
A. . B. . C. . D.
Câu 34. Cho hai hàm số và . Tính góc của hai tiếp tuyến của hai đồ thị
hàm số tại giao điểm của chúng.
A. . B. . C. . D.
Câu 35. Ba xạ thủ cùng bắn vào bia. Xác suất người thứ nhất, người thứ hai, người thứ ba bắn trúng bia
lần lượt là 0,8; 0,7 và 0,5. Tính xác suất để có ít nhất một xạ thủ bắn trúng bia.
A. 0,97 B. 0,03 C. 0,22 D. 1
Câu 36. Cho hàm số . Tính .
A. 0. B. C. D. 2019.
Câu 37. . Khối lập phương ABCD.A’B’C’D cạnh a . Gọi K là trung điểm của DD’. Tính khoảng cách giữa
CK và A’D.
A. B. a. C. D. 2a.
Câu 38. Cho các số phức z thỏa mãn . Biết rằng tập hợp các điểm biểu diễn các số phức
là một đường tròn. Tính bán kính r của đường tròn đó.
Trang 4
Mọi thắc mắc vui lòng xin liên hệ hotline: 084 283 45 85

Đây là bản xem thử, vui lòng mua tài liệu để xem chi tiết (có lời giải)
A. B. C. D.
Câu 39. Cho hàm số (m là tham số; ). Có bao nhiêu giá trị của tham số m để hình
phẳng giới hạn bởi hai trục tọa độ và hai đường tiệm cận của đồ thị hàm số đã cho là một hình vuông.
A. 1. B. 3. C. 2. D. 4.
Câu 40. Tam giác ABC vuông cân đỉnh A có cạnh huyền là 2. Quay tam giác ABC quanh trục BC thì được
khối tròn xoay có thể tích là
A. B. C.
D.
Câu 41. Cho hàm số liên tục trên có đồ thị tạo
với trục hoành các miền diện tích
như hình vẽ. Tính tích phân .
A. B.
C. D.
Câu 42. Cho hàm số có đạo hàm xác định trên tập
và đồ thị hàm số như hình vẽ. Gọi m, M lần
lượt là giá trị nhỏ nhất và giá trị nhỏ nhất của hàm số
trên . Tính
A. B.
C. D.
Câu 43. Giá trị của m để hàm số nghịch biến trên là:
A. B. C. D.
Câu 44. Trong không gian với hệ tọa độ Oxyz , mặt phẳng đi qua điểm và cắt tia Ox, Oy,
Oz lần lượt tại A, B, C sao cho độ dài OA, OB, OC theo thứ tự tạo thành cấp số nhân có công bội bằng 3.
Tính khoảng cách từ gốc tọa độ O tới mặt phẳng .
A. B. C. D.
Trang 5
Mọi thắc mắc vui lòng xin liên hệ hotline: 084 283 45 85