SỞ GD&ĐT BẮC NINH
ĐỀ THI THỬ TỐT NGHIỆP THPT NĂM 2025
TRƯỜNG THPT TIÊN DU SỐ Bài thi: TOÁN 1
Thời gian làm bài: 90 phút, không kể thời gian phát đề
PHẦN I. Câu trắc nghiệm nhiều phương án lựa chọn. Thí sinh trả lời từ câu 1 đến câu 12.
Mỗi câu hỏi thí sinh chỉ chọn một phương án. ax b y Câu 1. Cho hàm số
cx d có đồ thị là đường
cong như hình vẽ bên. Tọa độ tâm đối xứng của đồ thị hàm số đã cho là 1 0; A. 2 . B. 1;0 . 1 ;1 1 1; C. 2 . D. 2 . 2
mx nx p y f x Câu 2. Cho hàm số qx r
có bảng biến thiên như hình vẽ bên dưới.
Giá trị cực đại của hàm số đã cho bằng A. 3. B. 3 . C. 5 . D. 1.
Câu 3. Khảo sát thời gian xem tự học trung bình vào buổi tối của học sinh lớp 12A thu được
mẫu số liệu ghép nhóm sau: Thời gian (phút) 0;30 30;60
60;90 90;120 120;150 150;180 Số học sinh 5 9 12 8 5 8
Giá trị đại diện của nhóm 60;90 là A. 65. B. 75. C. 90. D. 60 . ax b y Câu 4. Cho hàm số
cx d có đồ thị là đường cong
như hình vẽ bên. Tọa độ giao điểm của đồ thị hàm số với trục hoành là A. 2;0 . B. 0; 1 . C. 1;0 . D. 0;2 .
Câu 5. Cho hàm số y f x xác định trên 2 ;4 có đồ
thị như hình vẽ bên. Giá trị lớn nhất hàm số y f x trên đoạn 0;4 là A. 3. B. 2 . C. 2 . D. 7 . 2 2x x 5 y
Câu 6. Cho đồ thị hàm số x 3
có đường tiệm cận xiên là đường thẳng Δ : y ax b với a,b ,
a 0. Giá trị của tổng a b bằng A. 3 . B. 7 . C. 3. D. 5 .
Câu 7. Cho hình chóp S.ABCD có đáy ABCD là hình chữ nhật và SA ABCD . Đường
thẳng nào sau đây vuông góc với mặt phẳng SAD? A. SC . B. SB . C. BC . D. CD .
Câu 8. Cho hình hộp chữ nhật ABC . D AB C D như hình vẽ
bên. Khẳng định nào dưới đây là đúng?
A. AD AB .
B. AD AC .
C. AD A B .
D. AB D C .
Câu 9. Trong không gian với hệ tọa độ Oxyz , cho a 1;3;1 và b 2;3;6 . Khi đó tọa độ
của vectơ a 2b bằng A. 5; 9 ; 1 1 . B. 5; 9 ;11 . C. 5;9;1 1 . D. 5;9;1 1 .
Câu 10. Cho hàm số 3 2
y f x ax bx cx d có đồ thị như
hình vẽ bên. Hàm số y f x đồng biến trên khoảng nào dưới đây? A. 0; 1 . B. ; 1 . C. 1; 1 . D. 2; .
Câu 11. Cho hình lăng trụ có diện tích một đáy là B , chiều cao h . Khi đó, thể tích của khối
lăng trụ được tính theo công thức nào dưới đây? 4 V 2 1 Bh V Bh V Bh A. 3 .
B. V Bh . C. 3 . D. 3 .
Câu 12. Trong không gian với hệ tọa độ Oxyz , cho điểm M 2
;5;7 . Tọa độ của vectơ MO là A. 2;5;7. B. 2;5;7 . C. 2;5;7 . D. 2;5;7 .
PHẦN II. Câu trắc nghiệm đúng sai. Thí sinh trả lời từ câu 1 đến câu 4. Trong mỗi ý a), b),
c), d) ở mỗi câu, thí sinh chọn đúng (Đ) hoặc sai (S).
Câu 1. Hình vẽ sau mô tả vị trí của máy bay vào thời điểm 9 giờ 30 phút. Biết các đơn vị trên
hình tính theo đơn vị kilômét (km). Mặt phẳng Oxy trùng với mặt đất, O trùng với vị trí trung tâm điều khiển.
a) Tại thời điểm 9 giờ 30 phút, máy bay đang ở độ cao 9 km so với mặt đất.
b) Tại thời điểm 9 giờ 30 phút, tọa độ của máy bay là 300;150;9.
c) Phi công để máy bay ở chế độ tự động bay thẳng theo hướng đông với vận tốc là 750 km/h,
độ cao không đổi. Biết rằng gió thổi theo hướng đông với vận tốc 10 m/s. Giả sử vận tốc và
hướng gió không thay đổi thì tại thời điểm 10 giờ 30 phút máy bay ở tọa độ 150;1086;9 .
d) Tại thời điểm 9 giờ 30 phút, máy bay cách trung tâm điều khiển một khoảng (làm tròn đến
hàng phần mười) là 335,6 km.
Câu 2. Hai thùng hàng ,
A B đều chứa 25 quả táo. Kết quả kiểm tra cân nặng của 25 quả táo
ở mỗi thùng A và B được cho ở bảng sau: Cân nặng (g)
250;260 260;270 270;280 280;290 290;300 Số táo ở thùng A 2 4 12 4 3 Số táo ở thùng B 1 3 7 10 4
a) Số trung bình của cân nặng các quả táo ở thùng A nhỏ hơn số trung bình của cân nặng các quả táo ở thùng . B
b) Lấy ngẫu nhiên một quả táo từ thùng A . Xác suất để quả táo đó có cân nặng từ 280g trở lên là 0,28 .
c) Lấy ngẫu nhiên một quả táo từ thùng A và một quả táo từ thùng .
B Xác suất để hai quả táo
lấy ra đều nặng từ 270g trở lên là 0,6384 .
d) Số táo có cân nặng từ 280g trở lên ở thùng B nhiều hơn số táo có cân nặng từ 280g trở lên ở thùng A .
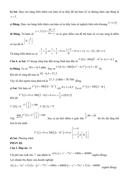
y f x ax 1 Câu 3. Cho hàm số
bx c với a, ,bc có bảng biến thiên như hình vẽ dưới đây. 1
a) Đồ thị hàm số cắt trục tung tại điểm có tung độ nhỏ hơn 2 . 1 x
b) Đồ thị hàm số có tiệm cận đứng 2 .
c) Hàm số nghịch biến trên khoảng ;3 .
Đề thi thử tốt nghiệp THPT 2025 Toán (từ Trường/Sở)
4.4 K
2.2 K lượt tải
350.000 ₫
MUA NGAY ĐỂ XEM TOÀN BỘ TÀI LIỆU
CÁCH MUA:
- B1: Gửi phí vào TK:
1053587071
- NGUYEN VAN DOAN - Ngân hàng Vietcombank (QR) - B2: Nhắn tin tới Zalo VietJack Official ( nhấn vào đây ) để xác nhận thanh toán và tải tài liệu - giáo án
Liên hệ ngay Hotline hỗ trợ: 084 283 45 85
Đề thi được cập nhật liên tục trong gói này từ nay đến hết tháng 6/2025. Chúng tôi đảm bảo đủ số lượng đề đã cam kết hoặc có thể nhiều hơn, tất cả có BẢN WORD, LỜI GIẢI CHI TIẾT và tải về dễ dàng.
Để tải tài liệu gốc về máy bạn click vào nút Tải Xuống ở trên!
Bộ tài liệu bao gồm: 15 tài liệu lẻ (mua theo bộ tiết kiệm đến 50%)
- Bộ đề thi thử tốt nghiệp THPT Quốc gia môn Toán năm 2025 từ các Trường/sở trên cả nước.
Đề thi dự kiến: đề; Đã biên soạn xong: 62 đề
- File word có lời giải chi tiết 100%.
- Mua trọn bộ sẽ tiết kiệm hơn tải lẻ 50%.
Đánh giá
4.6 / 5(4385 )5
4
3
2
1

Trọng Bình
Tài liệu hay
Giúp ích cho tôi rất nhiều

Duy Trần
Tài liệu chuẩn
Rất thích tài liệu bên VJ soạn (bám sát chương trình dạy)