SỞ GIÁO D C Ụ VÀ ĐÀO T O Ạ KỲ THI TUY N Ể SINH VÀO L P Ớ 10 B C Ắ C N Ạ NĂM H C Ọ 2021 – 2022 MÔN THI: TOÁN Đ C Ề HÍNH TH C Ứ Th i
ờ gian làm bài : 120 phút không k gi ể ao (Đề thi g m ồ có 01 trang) đề Câu 1. (1,5 đi m ể ) Rút g n các ọ bi u t ể h c s ứ au : a)A 3 2 32 50 1 x 1 x 0 b)B : x 2 x 4
x 2 x 4 Câu 2. (2, 5 đi m ể ) 4 2 a) Gi i ả các phư ng
ơ trình sau: 1)2x 4 0
2)x x 12 0 2x y 3 b) Gi i ả h ph ệ ư ng t ơ rình x 2y 4 c) M t ộ ngư i ờ đi xe máy từ huy n N ệ gân S n đ ơ n huy ế n C ệ h M ợ i ớ cách nhau 100k . m Khi v ng ề ư i ờ đó tăng v n t
ậ ốc thêm 10km / h so v i ớ lúc đi ,do đó th i ờ gian v í ề t h n ơ th i
ờ gian đi là 30 phút. Tính v n t ậ ốc đi c a xe m ủ áy Câu 3. (1,5 đi m ể ) 2 a) Vẽ đồ th các hàm ị số y 2
x và y x 2 trên cùng m t ặ ph ng ẳ t a đ ọ ộ Oxy
b) Tìm a,b đ đ ể ư ng t ờ h ng
ẳ d ' : y a
x b đi qua đi m
ể M 1;2 và song song v i ớ đư ng ờ th ng ẳ
d : y x 2 2 2 Câu 4. (1,5 đi m ể ) Cho phư ng
ơ trình x 2 m
1 x m 4 0 1 m là tham số) a) Gi i ả phư ng t ơ rình 1 v i ớ m 2 b) Tìm các giá tr c ị a ủ m đ ph ể ư ng t ơ rình (1) có hai nghi m ệ phân bi t ệ x , x 1 2 th a ỏ 2 2
mãn x 2 m 1 x 2 m 20 1 2 Câu 5. (3,0 đi m
ể ) Cho tam giác ABC có ba góc nh n n ọ i ộ ti p đ ế ư ng ờ tròn tâm O. Các đư ng
ờ cao AD, BE,CF c a ủ tam giác ABC c t ắ nhau t i ạ H a) Ch ng ứ minh các t gi
ứ ác AEHF, BFEC n i ộ ti p đ ế ư ng t ờ ròn
b) Đư ng ờ th ng ẳ AO c t ắ đư ng t ờ ròn tâm O t i ạ đi m ể K khác đi m ể . A G i ọ I là giao đi m ể c a ủ hai đư ng t ờ h ng
ẳ HK và BC . Ch ng m ứ inh I là trung đi m ể c a đo ủ n ạ th ng ẳ BC AH BH CH c) Tính AD BE CF ĐÁP ÁN Đ Ề THI VÀO L P
Ớ 10 MÔN TOÁN – T N Ỉ H B C Ắ C N Ạ 2021
Câu 1. Rút g n các bi ọ u t ể h c s ứ au : a)A 3 2 32 50 3 2 4 2 5 2 4 2 V y ậ A 4 2 1 x 1 B : x 2 x 4 b) x 2 V i ớ x 0 , x 4 ta có : 1 x 1 x 2 x x 2 2 B : . x 2 x 4 x 2
x 2 x 2 1 x 2 2 B V y ậ x 2 , v i ớ x 0 , x 4 Câu 2.
a) Giải các phư ng t ơ rình sau : 1)2x 4 0 2x 4 x 2 V y ậ phư ng t ơ rình có nghi m ệ x 2 2 2) Đ t
ặ t x t 0 , khi đó phư ng ơ trình tr t ở hành : 2 t t 12 0 2 2 Ta có : 1 4. 12 4 9 7 0 nên phư ng ơ trình có hai nghi m ệ phân bi t ệ : 1 7 t 4( tm) 2 1 7 t 3(ktm) 2 x 2 2 t 4 x 4 V i ớ x 2
V y ậ t p nghi ậ m ệ c a ph ủ ư ng ơ trình là S 2; 2 2x y 3 b) Giải h p ệ hư ng t ơ
rình x 2y 4 2x y 3 4x 2 y 6 5 x 10 x 2
Ta có : x 2y 4 x 2y 4 y 3 2x y 1 V y ậ h ph ệ ư ng t ơ rình đã cho có nghi m ệ duy nh t ấ ; x y 2; 1 c) M t ộ ngư i ờ đi xe máy t huy ừ n N ệ gân S n đ ơ n h ế uy n C ệ h M ợ i ớ cách nhau 100k . m Khi v ng ề ư i ờ đó tăng v n t ậ c t
ố hêm 10km / h so v i
ớ lúc đi ,do đó th i ờ gian v í ề t h n t ơ h i
ờ gian đi là 30 phút. Tính v n t ậ c đi ố c a xe m ủ áy G i ọ v n t ậ ốc lúc đi c a xe m ủ
áy là x km / h x 0 100 Lúc đi, xe máy đi h t ế x (gi ) ờ V n ậ tốc lúc v c ề a xe ủ
máy : x 10 km / h 100 Lúc v , xe m ề áy đi h t ế x 10 (gi ) ờ 1 h
Do lúc về xe máy tăng tốc nên th i ờ gian v í ề t h n t ơ h i
ờ gian đi là 30 phút 2 nên ta có phư ng ơ trình : 100 100 1
2100x 1000 100x x x 10 x x 10 2 2
x 10x 2000 0 2 10 4.2000 8100 0 90 10 90 x 40( tm) 1 2 10 90 x 50(ktm) 2 2 V y ậ v n t ậ ốc c a
ủ xe máy là 40km / h Câu 3.
2 a) V đ ẽ ồ th các ị hàm số y 2
x và đư ng
ờ thẳng y x 2 trên cùng m t ặ phẳng t a đ ọ ộ Oxy 2 +) Đồ th hàm ị số y 2 x 2
Đồ thị hàm số y 2
x có hệ số a 2 0 nên có b l ề õm hư ng ớ lên, đồng bi n khi ế
x 0, nghịch bi n khi ế x 0 và nh n ậ Oy làm tr c đ ụ i ố x ng ứ Ta có b ng ả giá tr s ị au : x 2 1 0 1 2 2 y 2 x 8 2 0 2 8 2 y 2 x là đư ng ờ cong đi qua các đi m
ể 2;8 , 1;2 , 0;0 ,1;2 , 2;8 +)Đư ng t ờ h ng
ẳ y x 2 Ta có b ng ả giá tr : ị x 0 2 y x 2 2 0
y x 2 là đư ng ờ th ng đi ẳ qua các đi m ể 0;2 ; 2;0
Đề thi vào 10 môn Toán tỉnh Bắc Cạn năm 2022
492
246 lượt tải
MUA NGAY ĐỂ XEM TOÀN BỘ TÀI LIỆU
CÁCH MUA:
- B1: Gửi phí vào TK:
1133836868- CT TNHH DAU TU VA DV GD VIETJACK - Ngân hàng MB (QR) - B2: Nhắn tin tới Zalo VietJack Official ( nhấn vào đây ) để xác nhận thanh toán và tải tài liệu - giáo án
Liên hệ ngay Hotline hỗ trợ: 084 283 45 85
Đề thi được cập nhật liên tục trong gói này từ nay đến hết tháng 6/2023. Chúng tôi đảm bảo đủ số lượng đề đã cam kết hoặc có thể nhiều hơn, tất cả có BẢN WORD, LỜI GIẢI CHI TIẾT và tải về dễ dàng.
Để tải tài liệu gốc về máy bạn click vào nút Tải Xuống ở trên!
Thuộc bộ (mua theo bộ để tiết kiệm hơn):
- Tailieugiaovien.com.vn giới thiệu bộ 63 đề thi chính thức vào 10 môn Toán năm 2022 nhằm giúp Giáo viên có thêm tài liệu tham khảo đề luyện thi Toán vào 10.
- File word có lời giải chi tiết 100%.
- Mua trọn bộ sẽ tiết kiệm hơn tải lẻ 50%.
Đánh giá
4.6 / 5(492 )5
4
3
2
1
Trọng Bình
Tài liệu hay
Giúp ích cho tôi rất nhiều
Duy Trần
Tài liệu chuẩn
Rất thích tài liệu bên VJ soạn (bám sát chương trình dạy)
TÀI LIỆU BỘ BÁN CHẠY MÔN Toán Học
Xem thêmTÀI LIỆU BỘ BÁN CHẠY Ôn vào 10
Xem thêmTài liệu bộ mới nhất

Đây là bản xem thử, vui lòng mua tài liệu để xem chi ết (có lời giải)
S GIÁO D C VÀ ĐÀO T OỞ Ụ Ạ
B C C NẮ Ạ
Đ CHÍNH TH C Ề Ứ
(Đ thi g m có 01 trang)ề ồ
KỲ THI TUY N SINH VÀO L P 10Ể Ớ
NĂM H C 2021 – 2022Ọ
MÔN THI: TOÁN
Th i gian làm bài : 120 phút không k giaoờ ể
đề
Câu 1. (1,5 đi m) ể Rút g n các bi u th c sau : ọ ể ứ
) 3 2 32 50
0
1 1
) :
4
4
2 2
a A
x
x
b B
x
x
x x
Câu 2. (2, 5 đi m)ể
a) Gi i các ph ng trình sau:ả ươ
4 2
1)2 4 0 2) 12 0x x x
b) Gi i h ph ng trình ả ệ ươ
2 3
2 4
x y
x y
c) M t ng i đi xe máy t huy n Ngân S n đ n huy n Ch M i cách nhau ộ ườ ừ ệ ơ ế ệ ợ ớ
100 .km
Khi v ng i đó tăng v n t c thêm ề ườ ậ ố
10 /km h
so v i lúc đi ,do đó th i gian v ít ớ ờ ề
h n th i gian đi là ơ ờ
30
phút. Tính v n t c đi c a xe máy ậ ố ủ
Câu 3. (1,5 đi m)ể
a) V đ th các hàm s ẽ ồ ị ố
2
2y x
và
2y x
trên cùng m t ph ng t a đ ặ ẳ ọ ộ
Oxy
b) Tìm
,a b
đ đ ng th ng ể ườ ẳ
' :d y ax b
đi qua đi m ể
1;2M
và song song v i ớ
đ ng th ng ườ ẳ
: 2d y x
Câu 4. (1,5 đi m) ể Cho ph ng trình ươ
2 2
2 1 4 0 1x m x m m
là tham s )ố
a) Gi i ph ng trình ả ươ
1
v i ớ
2m
b) Tìm các giá tr c a ị ủ
m
đ ph ng trình (1) có hai nghi m phân bi t ể ươ ệ ệ
1 2
,x x
th a ỏ
mãn
2 2
1 2
2 1 2 20x m x m
Câu 5. (3,0 đi m) ể Cho tam giác
ABC
có ba góc nh n n i ti p đ ng tròn tâm O. Các ọ ộ ế ườ
đ ng cao ườ
, ,AD BE CF
c a tam giác ủ
ABC
c t nhau t i ắ ạ
H
a) Ch ng minh các t giác ứ ứ
,AEHF BFEC
n i ti p đ ng trònộ ế ườ
Mọi thắc mắc vui lòng xin liên hệ hotline: 084 283 45 85

Đây là bản xem thử, vui lòng mua tài liệu để xem chi ết (có lời giải)
b) Đ ng th ng ườ ẳ
AO
c t đ ng tròn tâm O t i đi m K khác đi m ắ ườ ạ ể ể
.A
G i ọ
I
là giao
đi m c a hai đ ng th ng ể ủ ườ ẳ
HK
và
BC
. Ch ng minh ứ
I
là trung đi m c a đo n ể ủ ạ
th ng ẳ
BC
c) Tính
AH BH CH
AD BE CF
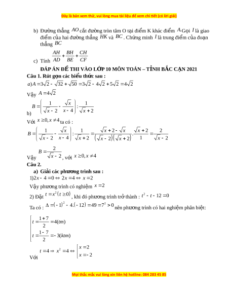
ĐÁP ÁN Đ THI VÀO L P 10 MÔN TOÁN – T NH B C C N 2021Ề Ớ Ỉ Ắ Ạ
Câu 1. Rút g n các bi u th c sau :ọ ể ứ
) 3 2 32 50 3 2 4 2 5 2 4 2a A
V y ậ
4 2A
b)
1 1
:
4
2 2
x
B
x
x x
V i ớ
0, 4x x
ta có :
1 1 2 2 2
: .
4 1
2 2 2
2 2
x x x x
B
x
x x x
x x
V y ậ
2
2
B
x
, v i ớ
0, 4x x
Câu 2.
a) Gi i các ph ng trình sau :ả ươ
1)2 4 0 2 4 2x x x
V y ph ng trình có nghi m ậ ươ ệ
2x
2) Đ t ặ
2
0t x t
, khi đó ph ng trình tr thành : ươ ở
2
12 0t t
Ta có :
2
2
1 4. 12 49 7 0
nên ph ng trình có hai nghi m phân bi t:ươ ệ ệ
1 7
4( )
2
1 7
3( )
2
t tm
t ktm
V i ớ
2
2
4 4
2
x
t x
x
Mọi thắc mắc vui lòng xin liên hệ hotline: 084 283 45 85

Đây là bản xem thử, vui lòng mua tài liệu để xem chi ết (có lời giải)
V y t p nghi m c a ph ng trình là ậ ậ ệ ủ ươ
2;2S
b) Gi i h ph ng trình ả ệ ươ
2 3
2 4
x y
x y
Ta có :
2 3 4 2 6 5 10 2
2 4 2 4 3 2 1
x y x y x x
x y x y y x y
V y h ph ng trình đã cho có nghi m duy nh t ậ ệ ươ ệ ấ
; 2; 1x y
c) M t ng i đi xe máy t huy n Ngân S n đ n huy n Ch M i cách nhauộ ườ ừ ệ ơ ế ệ ợ ớ
100 .km
Khi v ng i đó tăng v n t c thêm ề ườ ậ ố
10 /km h
so v i lúc đi ,do đó th i ớ ờ
gian v ít h n th i gian đi là ề ơ ờ
30
phút. Tính v n t c đi c a xe máy ậ ố ủ
G i v n t c lúc đi c a xe máy là ọ ậ ố ủ
/ 0x km h x
Lúc đi, xe máy đi h t ế
100
x
(gi )ờ
V n t c lúc v c a xe máy : ậ ố ề ủ
10 /x km h
Lúc v , xe máy đi h t ề ế
100
10x
(gi )ờ
Do lúc v xe máy tăng t c nên th i gian v ít h n th i gian đi là ề ố ờ ề ơ ờ
30
phút
1
2
h
nên ta
có ph ng trình :ươ
2
2
1
2
100 100 1
2 100 1000 100 10
10 2
10 2000 0
10 4.2000 8100 0 90
10 90
40( )
2
10 90
50( )
2
x x x x
x x
x x
x tm
x ktm
V y v n t c c a xe máy là ậ ậ ố ủ
40 /km h
Câu 3.
Mọi thắc mắc vui lòng xin liên hệ hotline: 084 283 45 85

Đây là bản xem thử, vui lòng mua tài liệu để xem chi ết (có lời giải)
a) V đ th các hàm s ẽ ồ ị ố
2
2y x
và đ ng th ng ườ ẳ
2y x
trên cùng m t ặ
ph ng t a đ ẳ ọ ộ
Oxy
+) Đ th hàm s ồ ị ố
2
2y x
Đ th hàm s ồ ị ố
2
2y x
có h s ệ ố
2 0a
nên có b lõm h ng lên, đ ng bi n khiề ướ ồ ế
0,x
ngh ch bi n khi ị ế
0x
và nh n Oy làm tr c đ i x ngậ ụ ố ứ
Ta có b ng giá tr sau :ả ị
2
2 1 0 1 2
2 8 2 0 2 8
x
y x
2
2y x
là đ ng cong đi qua các đi m ườ ể
2;8 , 1;2 , 0;0 , 1;2 , 2;8
+)Đ ng th ng ườ ẳ
2y x
Ta có b ng giá tr :ả ị
0 2
2 2 0
x
y x
2y x
là đ ng th ng đi qua các đi m ườ ẳ ể
0;2 ; 2;0
Mọi thắc mắc vui lòng xin liên hệ hotline: 084 283 45 85

Đây là bản xem thử, vui lòng mua tài liệu để xem chi ết (có lời giải)
b) Tìm
,a b
đ đ ng th ng ể ườ ẳ
' :d y ax b
đi qua đi m ể
1;2M
và song song
v i đ ng th ng ớ ườ ẳ
: 2d y x
Đ ể
'/ /d d
thì
1
2
a
b
Ph ng trình đ ng th ng ươ ườ ẳ
'd
có d ng ạ
y x b
L i có ạ
1;2 'M d
nên thay t a đ đi m M vào đ ng th ng ọ ộ ể ườ ẳ
'd
ta có :
2 1 3( )b b tm
V y ậ
1, 3a b
Câu 4.
2 2
2 1 4 0 1x m x m
a) Gi i ph ng trình ả ươ
1
khi
2m
Khi
2m
ph ng trình (1) tr thành ươ ở
2
6 8 0x x
Mọi thắc mắc vui lòng xin liên hệ hotline: 084 283 45 85
