ệ xem ể chi ti t ế (có l i ờ gi i ả ) SỞ GIÁO D C Ụ VÀ ĐÀO T O Ạ Đ Ề THI TUY N Ể SINH L P Ớ 10 TRUNG H C Ọ PH Ổ THÔNG B C Ắ GIANG NĂM H C Ọ 2019-2020 MÔN THI: TOÁN Đ C Ề HÍNH TH C Ứ Ngày thi: 02/6/2019 Th i
ờ gian làm bài: 120 phút, không k t ể h i ờ gian giao đề Phần I. TR C Ắ NGHI M Ệ (3,0 đi m ể ) Câu 1. Giá tr c ị a t ủ ham số m đ đ ể ư ng ờ th ng ẳ d : y m x 1song song v i ớ đư ng ờ th ng ẳ y 2 x 3 là: A. m 3 B. m 1 C. m 1 D. m 2 Câu 2. T ng hai ổ nghi m ệ c a ủ phư ng t ơ rình : 2 x 4x 3 0 b ng: ằ A. 4 B. 4 C. 3 D. 3 Câu 3. Giá tr nào c ị a ủ x dư i ớ đây là nghi m ệ c a ph ủ ư ng t ơ rình 2 x x 2 0 ? A. x 4 B. x 3 C. x 2 D. x 1 Câu 4. Đư ng ờ th ng ẳ y 4
x 5 có hệ số góc b ng: ằ A. 5 B. 4 C. 4 D. 5 Câu 5. Cho bi t ế x 1 là m t ộ nghi m ệ c a ph ủ ư ng ơ trình 2
x bx c 0 .Khi đó ta có: A. b c 1 B. b c 2
C. b c 1 D. b c 0 Câu 6. T t ấ c các ả giá tr c ị a ủ x đ bi ể u ể th c
ứ x 3 có nghĩa là: A. x 3 B. x 3 C. x 3 D. x 3
Câu 7. Cho tam giác ABC có AB 3 c , m AC 4 c , m BC 5 c . m Phát bi u nào s ể au đây là đúng ?
A. Tam giác ABC vuông B. Tam giác ABC đ u ề
C. Tam giác ABC vuông cân D. Tam giác ABC cân M i
ọ thắc mắc vui lòng xin liên hệ hotline: 084 283 45 85
ệ xem ể chi ti t ế (có l i ờ gi i ả ) Câu 8. Giá tr c ị a t ủ ham số m đ đ ể ư ng ờ th ng ẳ y 2m 1 x 3 đi qua đi m
ể A 1;0 là: A. m 2 B. m 1 C. m 1 D. m 2 Câu 9. Căn b c ậ hai s h ố c c ọ a ủ 144 là: A. 13 B. 12 C. 12 và 12 D. 12 x x Câu 10. V i ớ x 2 thì bi u t ể h c ứ 2 2 3 có giá trị b ng: ằ A. -1 B. 2x 5 C. 5 2x D. 1 3 3 Câu 11. Giá tr c ị a bi ủ u t ể h c ứ 3 1 b ng ằ 1 1 A. 3 B. 3 C. 3 D. 3 x y 1 Câu 12. Hệ phư ng
ơ trình x 2y 7
có nghiệm là x ; y . x y 0 0 Giá tr c ị a bi ủ u t ể h c ứ 0 0 b ng: ằ A. 1 B. -2 C. 5 D. 4
Câu 13. Cho tam giác ABC vuông t i ạ A, có BC 4 c , m AC 2 c . m Tính sin ABC 3 1 1 3 A. 2 B. 2 C. 3 D. 3 0
Câu 14. Tam giác ABC cân t i ạ B có ABC 120 , AB 1 2cm và n i ộ ti p đ ế ư ng ờ tròn (O). Bán kính c a đ ủ ư ng ờ tròn (O) b ng: ằ A. 10cm B. 9cm C. 8cm D. 12cm 2 Câu 15. Bi t ế r ng đ ằ ư ng t ờ h ng ẳ y 2 x 3 c t
ắ parabol y x t i ạ hai đi m ể . T a đ ọ c ộ a ủ các giao đi m ể là: M i
ọ thắc mắc vui lòng xin liên hệ hotline: 084 283 45 85
ệ xem ể chi ti t ế (có l i ờ gi i ả ) A. 1; 1 và 3;9 B.1;
1 và 3;9 C. 1; 1 và 3;9 D. 1; 1 và 3;9 4
y f (x) 1 m x 1,m Câu 16. Cho hàm số là tham số. Kh ng ẳ đ nh nào ị sau đây đúng A. f 1 f 2
B. f 4 f 2
C. f 2 f 3 D. f 1 f 0 x y 3 Câu 17. Hệ phư ng
ơ trình mx y 3
có nghiệm x ; y x 2 y . 0 0 th a ỏ mãn 0 0 Khi đó giá tr ị c a ủ m là A. m 3 B. m 2 C. m 5 D. m 4 Câu 18. Tìm tham s ố m đ ph ể ư ng t ơ rình 2
x x m 1 0
có hai nghiệm x , x 1 2 th a m ỏ ãn 2 2 x x 5 . 1 2 A. m 3 B. m 1 C. m 2 D. m 0
Câu 19. Cho tam giác ABC vuông t i ạ A, có AC 2 0c . m Đư ng t ờ ròn đư ng kí ờ nh AB c t ắ BC t i ạ M(M không trùng v i ớ B), ti p t ế uy n t ế i ạ M c a đ ủ ư ng ờ tròn đư ng ờ kính AB c t ắ AC tai I. Độ dài đo n ạ AI b ng: ằ A. 6cm B. 9cm C. 10cm D. 12cm Câu 20. Cho đư ng t ờ ròn ;
O R và dây cung AB th a m ỏ ãn 0 AOB 9 0 .Độ dài cung nhỏ AB b ng: ằ R R 3 R A. 2 B. R C. 4 D. 2 PHẦN II. T L Ự UẬN (7,0 đi m ể ) Câu 1. (2,0 đi m ể ) x y 2 a) Gi i ả h ph ệ ư ng t ơ
rình 3x 2 y 1 1 M i
ọ thắc mắc vui lòng xin liên hệ hotline: 084 283 45 85
ệ xem ể chi ti t ế (có l i ờ gi i ả )
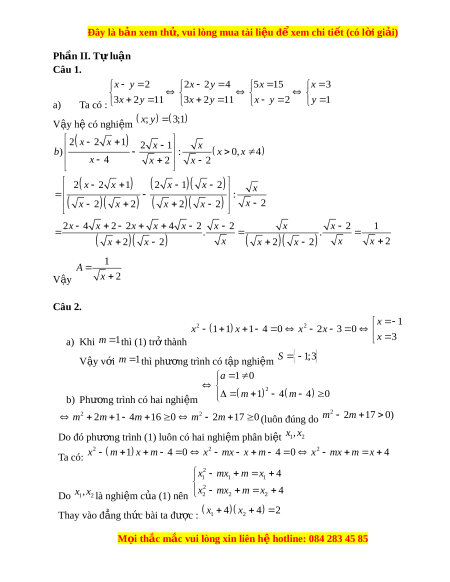
2 x 2 x 1 2 x 1 x A : x 4 x 2 x 2 b) Rút g n bi ọ u t ể h c ứ v i ớ x 0; x 4 2 Câu 2. (1,0 đi m ể ) Cho phư ng
ơ trình x m
1 x m 4 0( 1),m là tham số a) Gi i ả phư ng t ơ rình (1) khi m 1 b) Tìm giá tr c ị a ủ m đ ph ể ư ng ơ trình
1 có hai nghiệm x ,x 1 2 th a ỏ mãn: 2
x mx m 2
x mx m 2 1 1 2 2 Câu 3. (1,5 đi m
ể ). Đầu năm h c, H ọ i ộ Khuy n ế h c c ọ a ủ m t ộ t nh t ỉ ng ặ cho trư ng ờ A t ng ổ 1 số 245 quy n
ể sách gồm sách Toán và sách Ngữ văn. Nhà trư ng
ờ đã dùng 2 số sách Toán 2
và 3 số sách Ngữ văn đ phát ể cho các b n h ạ c ọ sinh có hoàn c nh ả khó khăn. Bi t ế r ng ằ mỗi b n nh ạ n ậ đư c m ợ t ộ quy n ể sách Toán và m t ộ quy n s ể ách Ng văn. ữ H i ỏ H i ộ khuy n ế h c ọ tỉnh đã t ng cho t ặ rư ng ờ A mỗi lo i ạ sách bao nhiêu quy n ? ể Câu 4. (2,0 đi m
ể ) Cho tam giác ABC n i ộ ti p đ ế ư ng ờ tròn (O) đư ng kí ờ
nh AC ( BA BC) . Trên đo n t ạ h ng ẳ OC l y đi ấ m ể I b t ấ kỳ I C . Đư ng t ờ h ng ẳ BI c t ắ đư ng ờ tròn (O) t i ạ đi m ể th hai ứ là D. K
ẻ CH BD H BD , DK vuông góc v i
ớ AC ( K AC) a) Ch ng ứ minh r ng t ằ gi ứ ác DHKC là t gi ứ ác n i ộ ti p ế b) Cho đ dài ộ đo n ạ th ng ẳ AC là 4cm và 0 ABD 6 0 .Tính di n t ệ ích tam giác ACD. c) Đư ng ờ th ng đi ẳ qua K song song v i ớ BC c t ắ đư ng t ờ h ng ẳ BD t i ạ E. Ch ng m ứ inh r ng khi ằ
I thay đổi trên đo n t ạ h ng ẳ OC I C thì đi m ể E luôn thu c m ộ t ộ đư ng ờ tròn cố đ nh ị 2 2 Câu 5. (0,5 đi m
ể ) Cho x, y là các số th c t ự h a ỏ mãn đi u ki ề n ệ x y 1 .Tìm giá tr nh ị ỏ nhất c a bi ủ u ể th c ứ P
3 x 3 y ĐÁP ÁN Phần I. Tr c nghi ắ m ệ 1D 2B 3D 4B 5C 6A 7A 8B 9D 10A
11D 12C 13B 14D 15C 16C 17B 18A 19C 20A M i
ọ thắc mắc vui lòng xin liên hệ hotline: 084 283 45 85
Đề thi vào 10 môn Toán tỉnh Bắc Giang năm 2020
424
212 lượt tải
MUA NGAY ĐỂ XEM TOÀN BỘ TÀI LIỆU
CÁCH MUA:
- B1: Gửi phí vào TK:
1133836868- CT TNHH DAU TU VA DV GD VIETJACK - Ngân hàng MB (QR) - B2: Nhắn tin tới Zalo VietJack Official ( nhấn vào đây ) để xác nhận thanh toán và tải tài liệu - giáo án
Liên hệ ngay Hotline hỗ trợ: 084 283 45 85
Đề thi được cập nhật liên tục trong gói này từ nay đến hết tháng 6/2023. Chúng tôi đảm bảo đủ số lượng đề đã cam kết hoặc có thể nhiều hơn, tất cả có BẢN WORD, LỜI GIẢI CHI TIẾT và tải về dễ dàng.
Để tải tài liệu gốc về máy bạn click vào nút Tải Xuống ở trên!
Thuộc bộ (mua theo bộ để tiết kiệm hơn):
- Tailieugiaovien.com.vn giới thiệu bộ 63 đề thi vào 10 môn Toán hệ không chuyên năm 2020 nhằm giúp Giáo viên có thêm tài liệu tham khảo đề luyện thi Toán ôn luyện
- File word có lời giải chi tiết 100%.
- Mua trọn bộ sẽ tiết kiệm hơn tải lẻ 50%.
Đánh giá
4.6 / 5(424 )5
4
3
2
1
Trọng Bình
Tài liệu hay
Giúp ích cho tôi rất nhiều
Duy Trần
Tài liệu chuẩn
Rất thích tài liệu bên VJ soạn (bám sát chương trình dạy)
TÀI LIỆU BỘ BÁN CHẠY MÔN Toán Học
Xem thêmTÀI LIỆU BỘ BÁN CHẠY Ôn vào 10
Xem thêmTài liệu bộ mới nhất

Đây là b nả xem thử, vui lòng mua tài li u đ xem chi ti t (có l i gi i)ệ ể ế ờ ả
S GIÁO D C VÀ ĐÀO T OỞ Ụ Ạ
B C GIANGẮ
Đ CHÍNH TH CỀ Ứ
Đ THI TUY N SINH L P 10 TRUNG H C PH THÔNGỀ Ể Ớ Ọ Ổ
NĂM H C 2019-2020Ọ
MÔN THI: TOÁN
Ngày thi: 02/6/2019
Th i gian làm bài: 120 phút, không k th i gian giao đờ ể ờ ề
Ph n I. TR C NGHI M ầ Ắ Ệ (3,0 đi m)ể
Câu 1. Giá tr c a tham s ị ủ ố
m
đ đ ng th ng ể ườ ẳ
: 1d y mx
song song v i đ ng th ngớ ườ ẳ
2 3y x
là:
A.
3m
B.
1m
C.
1m
D.
2m
Câu 2. T ng hai nghi m c a ph ng trình : ổ ệ ủ ươ
2
4 3 0x x
b ng:ằ
A.
4
B.
4
C.
3
D.
3
Câu 3. Giá tr nào c a ị ủ
x
d i đây là nghi m c a ph ng trình ướ ệ ủ ươ
2
2 0?x x
A.
4x
B.
3x
C.
2x
D.
1x
Câu 4. Đ ng th ng ườ ẳ
4 5y x
có h s góc b ng:ệ ố ằ
A.
5
B.
4
C.
4
D.
5
Câu 5. Cho bi t ế
1x
là m t nghi m c a ph ng trình ộ ệ ủ ươ
2
0.x bx c
Khi đó ta có:
A.
1b c
B.
2b c
C.
1b c
D.
0b c
Câu 6. T t c các giá tr c a ấ ả ị ủ
x
đ bi u th c ể ể ứ
3x
có nghĩa là:
A.
3x
B.
3x
C.
3x
D.
3x
Câu 7. Cho tam giác
ABC
có
3 , 4 , 5 .AB cm AC cm BC cm
Phát bi u nào sau đây là ể
đúng ?
A. Tam giác
ABC
vuông B. Tam giác
ABC
đ uề
C. Tam giác
ABC
vuông cân D. Tam giác
ABC
cân
M iọ th c m c vui lòng xin liên hắ ắ ệ hotline: 084 283 45 85

Đây là b nả xem thử, vui lòng mua tài li u đ xem chi ti t (có l i gi i)ệ ể ế ờ ả
Câu 8. Giá tr c a tham s ị ủ ố
m
đ đ ng th ng ể ườ ẳ
2 1 3y m x
đi qua đi m ể
1;0A
là:
A.
2m
B.
1m
C.
1m
D.
2m
Câu 9. Căn b c hai s h c c a 144 là:ậ ố ọ ủ
A. 13 B.
12
C. 12 và
12
D.
12
Câu 10. V i ớ
2x
thì bi u th c ể ứ
2
2 3x x
có giá tr b ng:ị ằ
A. -1 B.
2 5x
C.
5 2x
D. 1
Câu 11. Giá tr c a bi u th c ị ủ ể ứ
3 3
3 1
b ngằ
A. 3 B.
1
3
C.
1
3
D.
3
Câu 12. H ph ng trình ệ ươ
1
2 7
x y
x y
có nghi m là ệ
0 0
; .x y
Giá tr c a bi u th c ị ủ ể ứ
0 0
x y
b ng:ằ
A. 1 B. -2 C. 5 D. 4
Câu 13. Cho tam giác
ABC
vuông t i A, có ạ
4 , 2 .BC cm AC cm
Tính
sin ABC
A.
3
2
B.
1
2
C.
1
3
D.
3
3
Câu 14. Tam giác
ABC
cân t i B có ạ
0
120 , 12ABC AB cm
và n i ti p đ ng tròn (O). ộ ế ườ
Bán kính c a đ ng tròn (O) b ng:ủ ườ ằ
A.
10cm
B.
9cm
C.
8cm
D.
12cm
Câu 15. Bi t r ng đ ng th ng ế ằ ườ ẳ
2 3y x
c t parabol ắ
2
y x
t i hai đi m. T a đ c a ạ ể ọ ộ ủ
các giao đi m là:ể
M iọ th c m c vui lòng xin liên hắ ắ ệ hotline: 084 283 45 85

Đây là b nả xem thử, vui lòng mua tài li u đ xem chi ti t (có l i gi i)ệ ể ế ờ ả
A.
1;1
và
3;9
B.
1;1
và
3;9
C.
1;1
và
3;9
D.
1;1
và
3;9
Câu 16. Cho hàm s ố
4
( ) 1 1,y f x m x m
là tham s . Kh ng đ nh nào sau đây đúngố ẳ ị
A.
1 2f f
B.
4 2f f
C.
2 3f f
D.
1 0f f
Câu 17. H ph ng trình ệ ươ
3
3
x y
mx y
có nghi m ệ
0 0
;x y
th a mãn ỏ
0 0
2 .x y
Khi đó giá tr ị
c a ủ
m
là
A.
3m
B.
2m
C.
5m
D.
4m
Câu 18. Tìm tham s ố
m
đ ph ng trình ể ươ
2
1 0x x m
có hai nghi m ệ
1 2
,x x
th a mãnỏ
2 2
1 2
5.x x
A.
3m
B.
1m
C.
2m
D.
0m
Câu 19. Cho tam giác
ABC
vuông t i A, có ạ
20 .AC cm
Đ ng tròn đ ng kính AB c tườ ườ ắ
BC
t i M(M không trùng v i B), ti p tuy n t i M c a đ ng tròn đ ng kính AB c t ạ ớ ế ế ạ ủ ườ ườ ắ
AC tai I. Đ dài đo n ộ ạ
AI
b ng:ằ
A.
6cm
B.
9cm
C.
10cm
D.
12cm
Câu 20. Cho đ ng tròn ườ
;O R
và dây cung AB th a mãn ỏ
0
90 .AOB
Đ dài cung nhộ ỏ
AB
b ng:ằ
A.
2
R
B.
R
C.
4
R
D.
3
2
R
PH N II. T LU N (7,0 đi m)Ầ Ự Ậ ể
Câu 1. (2,0 đi m)ể
a) Gi i h ph ng trình ả ệ ươ
2
3 2 11
x y
x y
M iọ th c m c vui lòng xin liên hắ ắ ệ hotline: 084 283 45 85

Đây là b nả xem thử, vui lòng mua tài li u đ xem chi ti t (có l i gi i)ệ ể ế ờ ả
b) Rút g n bi u th c ọ ể ứ
2 2 1
2 1
:
4
2 2
x x
x x
A
x
x x
v i ớ
0; 4x x
Câu 2. (1,0 đi m)ể Cho ph ng trình ươ
2
1 4 0(1),x m x m m
là tham số
a) Gi i ph ng trình (1) khi ả ươ
1m
b) Tìm giá tr c a ị ủ
m
đ ph ng trình ể ươ
1
có hai nghi m ệ
1 2
,x x
th a mãn:ỏ
2 2
1 1 2 2
2x mx m x mx m
Câu 3. (1,5 đi m). ể Đ u năm h c, H i Khuy n h c c a m t t nh t ng cho tr ng A t ng ầ ọ ộ ế ọ ủ ộ ỉ ặ ườ ổ
s 245 quy n sách g m sách Toán và sách Ng văn. Nhà tr ng đã dùng ố ể ồ ữ ườ
1
2
s sách Toán ố
và
2
3
s sách Ng văn đ phát cho các b n h c sinh có hoàn c nh khó khăn. Bi t r ng ố ữ ể ạ ọ ả ế ằ
m i b n nh n đ c m t quy n sách Toán và m t quy n sách Ng văn. H i H i khuy n ỗ ạ ậ ượ ộ ể ộ ể ữ ỏ ộ ế
h c t nh đã t ng cho tr ng A m i lo i sách bao nhiêu quy n ?ọ ỉ ặ ườ ỗ ạ ể
Câu 4. (2,0 đi m) ể Cho tam giác
ABC
n i ti p đ ng tròn (O) đ ng kính AC (ộ ế ườ ườ
)BA BC
.
Trên đo n th ng OC l y đi m I b t kỳ ạ ẳ ấ ể ấ
I C
. Đ ng th ng BI c t đ ng tròn (O) t i ườ ẳ ắ ườ ạ
đi m th hai là D. K ể ứ ẻ
,CH BD H BD
DK vuông góc v i AC (ớ
)K AC
a) Ch ng minh r ng t giác ứ ằ ứ
DHKC
là t giác n i ti pứ ộ ế
b) Cho đ dài đo n th ng AC là ộ ạ ẳ
4cm
và
0
60 .ABD
Tính di n tích tam giác ACD.ệ
c) Đ ng th ng đi qua ườ ẳ
K
song song v i ớ
BC
c t đ ng th ng ắ ườ ẳ
BD
t i E. Ch ng minh ạ ứ
r ng khi ằ
I
thay đ i trên đo n th ng ổ ạ ẳ
OC I C
thì đi m E luôn thu c m t đ ng ể ộ ộ ườ
tròn c đ nhố ị
Câu 5. (0,5 đi m) ể Cho
,x y
là các s th c th a mãn đi u ki n ố ự ỏ ề ệ
2 2
1.x y
Tìm giá tr nhị ỏ
nh t c a bi u th c ấ ủ ể ứ
3 3P x y
ĐÁP ÁN
Ph n I. Tr c nghi mầ ắ ệ
1D 2B 3D 4B 5C 6A 7A 8B 9D 10A
11D 12C 13B 14D 15C 16C 17B 18A 19C 20A
M iọ th c m c vui lòng xin liên hắ ắ ệ hotline: 084 283 45 85

Đây là b nả xem thử, vui lòng mua tài li u đ xem chi ti t (có l i gi i)ệ ể ế ờ ả
Ph n II. T lu nầ ự ậ
Câu 1.
a) Ta có :
2 2 2 4 5 15 3
3 2 11 3 2 11 2 1
x y x y x x
x y x y x y y
V y h có nghi m ậ ệ ệ
; 3;1x y
2 2 1
2 1
) : 0, 4
4
2 2
2 2 1 2 1 2
:
2
2 2 2 2
2 4 2 2 4 2 2 2 1
. .
2
2 2 2 2
x x
x x
b x x
x
x x
x x x x
x
x
x x x x
x x x x x x x x
x x x
x x x x
V y ậ
1
2
A
x
Câu 2.
a) Khi
1m
thì (1) tr thành ở
2 2
1
1 1 1 4 0 2 3 0
3
x
x x x x
x
V y v i ậ ớ
1m
thì ph ng trình có t p nghi m ươ ậ ệ
1;3S
b) Ph ng trình có hai nghi m ươ ệ
2
1 0
1 4 4 0
a
m m
2 2
2 1 4 16 0 2 17 0m m m m m
(luôn đúng do
2
2 17 0)m m
Do đó ph ng trình (1) luôn có hai nghi m phân bi t ươ ệ ệ
1 2
,x x
Ta có:
2 2 2
1 4 0 4 0 4x m x m x mx x m x mx m x
Do
1 2
,x x
là nghi m c a (1) nên ệ ủ
2
1 1 1
2
2 2 2
4
4
x mx m x
x mx m x
Thay vào đ ng th c bài ta đ c : ẳ ứ ượ
1 2
4 4 2x x
M iọ th c m c vui lòng xin liên hắ ắ ệ hotline: 084 283 45 85
