ệ xem ể chi ti t ế (có l i ờ gi i ả ) SỞ GIÁO D C Ụ KHOA H C Ọ VÀ CÔNG NGH Ệ KỲ THI TUY N Ể SINH L P Ớ 10 THPT B C Ạ LIÊU NĂM HỌC 2019-2020
Môn thi: TOÁN (Không chuyên) Đ C Ề HÍNH TH C Ứ Th i ờ gian: 120 phút Ngày thi:07/6/2019 Câu 1. (4,0 đi m ể ) Rút g n bi ọ u t ể h c ứ
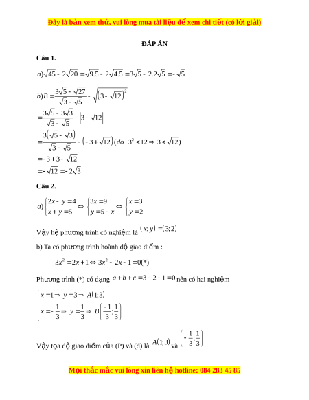
a) A 45 2 20 b B 2 3 5 27 ) 3 12 3 5 Câu 2. (4,0 đi m ể ) 2x y 4 a) Gi i ả h ph ệ ư ng t ơ rình: x 4 5 2 b) Cho hàm số y 3
x có đồ thị P và đư ng ờ th ng ẳ d : y 2 x 1.Tìm t a ọ độ giao đi m ể c a
ủ P và d b ng ằ phép tính. Câu 3. (6,0 đi m ể ) 2 Cho phư ng t ơ
rình x 2mx 4m 5 0 1 (mlà tham số) a) Gi i ả phư ng t ơ rình khi m 2 b) Ch ng ứ minh phư ng t ơ rình (1) luôn có hai nghi m ệ v i ớ m i ọ giá tr c ị a ủ m c) G i ọ x , x 1 2 là hai nghi m ệ c a ph ủ ư ng
ơ trình (1). Tìm m để 1 33 2
x m 1 x x 2m 7620 19 1 1 2 2 2 Câu 4.(6,0 đi m ể ) Trên n a đ ử ư ng ờ tròn đư ng
ờ kính AB,lấy hai đi m ể I,Q sao cho I thu c cung ộ . AQ G i ọ C là giao đi m
ể hai tia AI và BQ . H là giao đi m ể c a ủ hai dây AQ và BI a) Ch ng ứ minh t gi ứ ác CIHQ n i ộ ti p ế M i
ọ thắc mắc vui lòng xin liên hệ hotline: 084 283 45 85
ệ xem ể chi ti t ế (có l i ờ gi i ả ) b) Ch ng
ứ minh CI.AI HI.BI c) Bi t ế AB 2 . R Tính giá tr c ị a bi ủ u t ể h c
ứ M AI.AC B . Q BC theo R M i
ọ thắc mắc vui lòng xin liên hệ hotline: 084 283 45 85
ệ xem ể chi ti t ế (có l i ờ gi i ả ) ĐÁP ÁN Câu 1.
a) 45 2 20 9.5 2 4.5 3 5 2.2 5 5 3 5 27 b)B 3 122 3 5 3 5 3 3 3 12 3 5 3 5 3 3 12 2
(do 3 12 3 12) 3 5 3 3 12 12 2 3 Câu 2. 2x y 4 3x 9 x 3 a) x y 5 y 5 x y 2 V y ậ h ph ệ ư ng t ơ rình có nghi m ệ là ; x y 3;2 b) Ta có phư ng
ơ trình hoành độ giao đi m ể : 2 2 3x 2
x 1 3x 2x 1 0 (*) Phư ng ơ trình (*) có d ng
ạ a b c 3 2 1 0 nên có hai nghiệm x 1 y 3 A1;3 1 1 1 1
x y B ; 3 3 3 3 1 1 ; V y ậ t a đ ọ gi ộ ao đi m ể c a (
ủ P) và (d) là A1;3 và 3 3 M i
ọ thắc mắc vui lòng xin liên hệ hotline: 084 283 45 85
ệ xem ể chi ti t ế (có l i ờ gi i ả ) Câu 3.
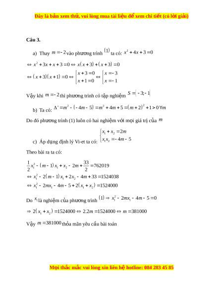
a) Thay m 2 vào phư ng t ơ rình
1 ta có: 2x 4x 3 0 2
x 3x x 3 0
x x 3 x 3 0 x 3 0 x 3
x 3 x 1 0 x 1 0 x 1 V y
ậ khi m 2 thì phư ng t ơ rình có t p nghi ậ m ệ S 3; 1 b) Ta có: m m m m m 2 2 2 ' 4 5 4 5 2 1 0 m Do đó phư ng
ơ trình (1) luôn có hai nghi m ệ v i ớ m i ọ giá tr c ị a ủ m x x 2 m 1 2 c) Áp d ng ụ đ nh l ị
ý Vi-et ta có: x x 4m 5 1 2 Theo bài ra ta có: 1 33 2
x m 1 x x 2m 762019 1 1 2 2 2 2
x 2 m 1 x 2x 4m 33 1 524038 1 1 2 2
x 2mx 4m 5 2 x x 15 24000 1 1 1 2 Do x 2
1 x 2mx 4m 5 0 1 là nghi m ệ c a ủ phư ng t ơ rình 1 1 2 x x 1 524000 2.2m 1 524000 m 3 81000 1 2 V y ậ m 3 81000 th a m ỏ ãn yêu cầu bài toán M i
ọ thắc mắc vui lòng xin liên hệ hotline: 084 283 45 85
Đề thi vào 10 môn Toán tỉnh Bạc Liêu năm 2020
519
260 lượt tải
MUA NGAY ĐỂ XEM TOÀN BỘ TÀI LIỆU
CÁCH MUA:
- B1: Gửi phí vào TK:
1133836868- CT TNHH DAU TU VA DV GD VIETJACK - Ngân hàng MB (QR) - B2: Nhắn tin tới Zalo VietJack Official ( nhấn vào đây ) để xác nhận thanh toán và tải tài liệu - giáo án
Liên hệ ngay Hotline hỗ trợ: 084 283 45 85
Đề thi được cập nhật liên tục trong gói này từ nay đến hết tháng 6/2023. Chúng tôi đảm bảo đủ số lượng đề đã cam kết hoặc có thể nhiều hơn, tất cả có BẢN WORD, LỜI GIẢI CHI TIẾT và tải về dễ dàng.
Để tải tài liệu gốc về máy bạn click vào nút Tải Xuống ở trên!
Thuộc bộ (mua theo bộ để tiết kiệm hơn):
- Tailieugiaovien.com.vn giới thiệu bộ 63 đề thi vào 10 môn Toán hệ không chuyên năm 2020 nhằm giúp Giáo viên có thêm tài liệu tham khảo đề luyện thi Toán ôn luyện
- File word có lời giải chi tiết 100%.
- Mua trọn bộ sẽ tiết kiệm hơn tải lẻ 50%.
Đánh giá
4.6 / 5(519 )5
4
3
2
1
Trọng Bình
Tài liệu hay
Giúp ích cho tôi rất nhiều
Duy Trần
Tài liệu chuẩn
Rất thích tài liệu bên VJ soạn (bám sát chương trình dạy)
TÀI LIỆU BỘ BÁN CHẠY MÔN Toán Học
Xem thêmTÀI LIỆU BỘ BÁN CHẠY Ôn vào 10
Xem thêmTài liệu bộ mới nhất

Đây là b nả xem thử, vui lòng mua tài li u đ xem chi ti t (có l i gi i)ệ ể ế ờ ả
S GIÁO D C KHOA H C VÀ CÔNG NGH Ở Ụ Ọ Ệ
B C LIÊUẠ
Đ CHÍNH TH C Ề Ứ
KỲ THI TUY N SINH L P 10 THPT Ể Ớ
NĂM H C 2019-2020Ọ
Môn thi: TOÁN (Không chuyên)
Th i gian: 120 phútờ
Ngày thi:07/6/2019
Câu 1. (4,0 đi m) ể Rút g n bi u th cọ ể ứ
) 45 2 20a A
2
3 5 27
) 3 12
3 5
b B
Câu 2. (4,0 đi m)ể
a) Gi i h ph ng trình: ả ệ ươ
2 4
4 5
x y
x
b) Cho hàm s ố
2
3y x
có đ th ồ ị
P
và đ ng th ng ườ ẳ
: 2 1.d y x
Tìm t a ọ
đ giao đi m c a ộ ể ủ
P
và
d
b ng phép tính.ằ
Câu 3. (6,0 đi m)ể
Cho ph ng trình ươ
2
2 4 5 0 1x mx m
(
m
là tham s )ố
a) Gi i ph ng trình khi ả ươ
2m
b) Ch ng minh ph ng trình (1) luôn có hai nghi m v i m i giá tr c a ứ ươ ệ ớ ọ ị ủ
m
c) G i ọ
1 2
,x x
là hai nghi m c a ph ng trình (1). Tìm ệ ủ ươ
m
để
2
1 1 2
1 33
1 2 762019
2 2
x m x x m
Câu 4.(6,0 đi m) ể Trên n a đ ng tròn đ ng kính ử ườ ườ
,AB
l y hai đi m ấ ể
,I Q
sao
cho I thu c cung ộ
.AQ
G i C là giao đi m hai tia ọ ể
AI
và BQ . H là giao đi m c a ể ủ
hai dây
AQ
và BI
a) Ch ng minh t giác ứ ứ
CIHQ
n i ti pộ ế
M iọ th c m c vui lòng xin liên hắ ắ ệ hotline: 084 283 45 85

Đây là b nả xem thử, vui lòng mua tài li u đ xem chi ti t (có l i gi i)ệ ể ế ờ ả
b) Ch ng minh ứ
. .CI AI HI BI
c) Bi t ế
2 .AB R
Tính giá tr c a bi u th c ị ủ ể ứ
. .M AI AC BQ BC
theo R
M iọ th c m c vui lòng xin liên hắ ắ ệ hotline: 084 283 45 85

Đây là b nả xem thử, vui lòng mua tài li u đ xem chi ti t (có l i gi i)ệ ể ế ờ ả
ĐÁP ÁN
Câu 1.
) 45 2 20 9.5 2 4.5 3 5 2.2 5 5a
2
2
3 5 27
) 3 12
3 5
3 5 3 3
3 12
3 5
3 5 3
3 12 ( 3 12 3 12)
3 5
3 3 12
12 2 3
b B
do
Câu 2.
2 4 3 9 3
)
5 5 2
x y x x
a
x y y x y
V y h ph ng trình có nghi m là ậ ệ ươ ệ
; 3;2x y
b) Ta có ph ng trình hoành đ giao đi m :ươ ộ ể
2 2
3 2 1 3 2 1 0(*)x x x x
Ph ng trình (*) có d ng ươ ạ
3 2 1 0a b c
nên có hai nghi mệ
1 3 1;3
1 1 1 1
;
3 3 3 3
x y A
x y B
V y t a đ giao đi m c a (P) và (d) là ậ ọ ộ ể ủ
1;3A
và
1 1
;
3 3
M iọ th c m c vui lòng xin liên hắ ắ ệ hotline: 084 283 45 85

Đây là b nả xem thử, vui lòng mua tài li u đ xem chi ti t (có l i gi i)ệ ể ế ờ ả
Câu 3.
a) Thay
2m
vào ph ng trình ươ
1
ta có:
2
4 3 0x x
2
3 3 0 3 3 0
3 0 3
3 1 0
1 0 1
x x x x x x
x x
x x
x x
V y khi ậ
2m
thì ph ng trình có t p nghi m ươ ậ ệ
3; 1S
b) Ta có:
2
2 2
' 4 5 4 5 2 1 0m m m m m m
Do đó ph ng trình (1) luôn có hai nghi m v i m i giá tr c a ươ ệ ớ ọ ị ủ
m
c) Áp d ng đ nh lý Vi-et ta có: ụ ị
1 2
1 2
2
4 5
x x m
x x m
Theo bài ra ta có:
2
1 1 2
2
1 1 2
2
1 1 1 2
1 33
1 2 762019
2 2
2 1 2 4 33 1524038
2 4 5 2 1524000
x m x x m
x m x x m
x mx m x x
Do
1
x
là nghi m c a ph ng trình ệ ủ ươ
2
1 1
1 2 4 5 0x mx m
1 2
2 1524000 2.2 1524000 381000x x m m
V y ậ
381000m
th a mãn yêu c u bài toánỏ ầ
M iọ th c m c vui lòng xin liên hắ ắ ệ hotline: 084 283 45 85

Đây là b nả xem thử, vui lòng mua tài li u đ xem chi ti t (có l i gi i)ệ ể ế ờ ả
Câu 4.
a) Ta có:
0
90AIB AQB
(góc n i ti p ch n n a đ ng tròn)ộ ế ắ ử ườ
0
90CIH CQH
Xét t giác ứ
CIHQ
có
0 0 0
90 90 180CIH CQH
T giác ứ
CIHQ
là t giác ứ
n i ti p (t giác có t ng hai góc đ i b ng ộ ế ứ ổ ố ằ
0
180 )
b) Xét tam giác
AHI
và tam giác
BCI
có:
0
90 ,AIH BIH IAH IBC
(hai góc n i ti p cùng ch n cung IQ)ộ ế ắ
M iọ th c m c vui lòng xin liên hắ ắ ệ hotline: 084 283 45 85
