SỞ GIÁO D C Ụ VÀ ĐÀO T O Ạ KỲ THI TUY N Ể SINH VÀO L P Ớ 10 THPT BÌNH Đ N Ị H NĂM H C Ọ 2020-2021 Môn thi: TOÁN Đ C Ề HÍNH TH C Ứ Ngày thi: 18/7/2020 Th i
ờ gian làm bài: 120 phút
Bài 1. (2,0 đi m) ể
x 1 x 3 1. Giải phư ng ơ trình: 2
x 2 2 x 2 A . x 1 x 0 ; x 1 x 1 x 1 2. Cho bi u ể th c ứ a) Tính giá trị c a ủ bi u ể th c ứ A khi x 4 b) Rút g n ọ bi u ể th c
ứ A và tìm giá tr ịl n ớ nh t ấ c a ủ A
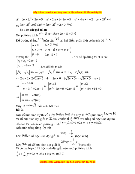
Bài 2. (2,0 đi m) ể P y x d : y 2
m 1 x 2m 5 Cho parabol 2 : và đư ng ờ thẳng ( m là tham s ) ố d P a) Ch ng ứ minh rằng đư ng ờ
thẳng luôn cắt Parabol tại hai đi m ể phân bi t ệ v i ớ m i ọ giá trị m d P b) Tìm các giá tr ị c a ủ m đ ể đư ng ờ
thẳng cắt Parabol tại hai đi m ể phân x x 2 biệt có hoành đ ộ tư ng ơ ng ứ là x , x 1 2 dư ng ơ và 1 2
Bài 3. (1,5 đi m) ể Trong kỳ thi ch n ọ h c ọ sinh gi i ỏ l p ớ 9 c p ấ trư ng, ờ t ng ổ s ố h c ọ sinh đ t ạ gi i ả c a ủ c ả hai l p ớ 9 1 A và 9 2 A là 22 em, chi m ế t ỉl ệ 40% trên tổng s ố h c ọ sinh d ự thi c a ủ hai l p ớ trên. N u ế tính riêng t ng ừ l p ớ thì l p ớ 9 1 A có 50% h c ọ sinh d ự thi đ t ạ gi i ả và l p ớ 9 2 A có 28%h c ọ sinh d ự thi đ t ạ gi i. ả H i ỏ m i ỗ l p ớ có t t ấ c ả bao nhiêu h c ọ sinh d ự thi ?
Bài 4. (3,5 đi m) ể Cho đư ng ờ tròn tâm O, đư ng ờ
kính AB và d là m t ộ ti p ế tuy n ế c a ủ đư ng ờ tròn O tại đi m ể A. Trên đư ng ờ th ng ẳ d lấy đi m ể
M (khác A) và trên đo n ạ OB lấy đi m ể O
N (khác O và B).Đư ng
ờ thẳng MN cắt đư ng ờ tròn tại hai đi m ể C và D sao cho
C nằm giữa M và . D G i ọ H là trung đi m ể c a ủ đo n ạ th ng ẳ CD a) Ch ng ứ minh t ứ giác AOHM n i ộ ti p ế trong m t ộ đư ng ờ tròn b) K
ẻ đoạn DK song song v i
ớ MO(K nằm trên đư ng ờ thẳng AB). Ch ng ứ minh 2 rằng
MDK BAH và MA M C.MD c) Đư ng ờ
thẳng BC cắt đư ng
ờ thẳng OM tại đi m ể I. Ch ng ứ minh r ng ằ đư ng ờ
thẳng AI song song v i ớ đư ng ờ th ng ẳ BD
Bài 5. (1,0 đi m) ể
Cho x, y là các s ố th c ự dư ng ơ th a
ỏ mãn x y 10. Tìm giá trị c a ủ x và y đ ể A 4 x 4 1 y 1 bi u ể th c ứ đạt giá trị nh ỏ nh t. ấ Tìm giá tr ịnh ỏ nh t ấ đó. ĐÁP ÁN Bài 1. x 1 1)
x 3 x 1 2
x 6 x 7 2 V y ậ S 7 2) a) Thay x 4 (tmdk) vào bi u ể th c ứ A ta có: 4 2 2 4 2 4 2 A . 4 1 .3 2 4 1 4 1 3 1 V y ậ khi x 4 A 2 b) Rút g n: ọ 2 x x 1 2
x 2 2 x 2 A . x 1
. x 1 x 1 x 1 x 1 x 1
x. x 1 x x Ta có: 2 2
A x x x 2 1 1 1 1 1
2. x. x 2 2 4 2 4 2 1 1 x 0
A x 0 , x 1 Vì 2 4 1 1
x x (tm) Dấu " " x y ả ra 2 4 1 1 A x V y ậ max 4 4 Bài 2.
a) Chứng minh (d) luôn c t ắ (P) t i ạ hai đi m ể phân bi t ệ Phư ng ơ trình hoành đ gi ộ ao điêm c a ủ (P) và (d) là: 2
x m 2 2
1 x 2m 5 x 2 m
1 x 2m 5 0 * . Phư ng ơ trình (*) có:
m 2 m m m m m m m 2 2 2 ' 1 2 5 2 1 2 5 4 4 2 2 4 2 2 Vì m 2 0 m
m 2 2 0 m b) Tìm các giá tr m ị 2 Xét phư ng
ơ trình x 2 m
1 x 2m 5 0 * Để đư ng t ờ h ng ẳ d luôn c t ắ P t i ạ hai đi m ể phân bi t
ệ có hoành độ x , x 1 2 0 0 m 5
S 0 2 m 1 0 m 2 P 0 2m 5 0 dư ng ơ thì: . Khi đó áp d ng ụ Vi-et ta có: x x 2 m 2 1 2 x x 2 m 5 1 2 . Theo đề bài ta có: x x 2
x x 2 4
x x 2 x x 4 1 2 1 2 1 2 1 2
2m 2 2 2m 5 4 2m 6 2
2m 5 2m 5 m 3 m 3 0 m 3 m 3 m 3 2 2 2 2 m 5 m 6m 9 2 m 5 m 8m 14 0 m 4 2(tm) m 4 2(tm) V y ậ m 4 2 th a m ỏ ãn bài toán . Bài 3. G i ọ số h c s ọ inh d t ự hi c a l ủ p ớ 9 1 A và 9 2 A lần lư t
ợ là x, y (h c s
ọ inh) x, y Vì số h c ọ sinh đ t ạ gi i ả là 22 em, chi m
ế tỉ lệ 40% trên tổng số h c ọ sinh d t ự hi c a ủ hai l p nên t ớ a có phư ng
ơ trình x y .40% 2
2 x y 5 5 1 N u ế tính riêng t ng l ừ p t ớ hì: 1 50%x x L p ớ 9 1 A có số h c s ọ inh đ t ạ gi i ả là 2 (h c s ọ inh) 7 28% y y L p ớ 9 2 A có số h c s ọ inh đ t ạ gi i ả là 25 (h c s ọ inh) Vì cả hai l p có 22 h ớ c ọ sinh đ t ạ gi i ả nên ta có phư ng ơ trình: 1 7 x y 22
25x 14 y 11 00 2 2 25
T ( ừ 1) và (2) ta có h ph ệ ư ng t ơ rình: x y 55 25x 25y 1375 11 y 275 x 30 (tm) 25x 14y 1100 25x 14 y 1100 x 55 y y 25 V y ậ số h c s ọ inh d t ự hi là 9 1 A : 30 h c s ọ inh; 9A2 : 25 h c s ọ inh. Bài 4.
a) Chứng minh AOHM là t g ứ iác n i ộ ti p ế Ta có: MA là ti p t ế uy n c ế a ủ O 0 MAO 90
Đề thi vào 10 môn Toán tỉnh Bình Định (Hệ không chuyên) năm 2021
509
255 lượt tải
MUA NGAY ĐỂ XEM TOÀN BỘ TÀI LIỆU
CÁCH MUA:
- B1: Gửi phí vào TK:
1133836868- CT TNHH DAU TU VA DV GD VIETJACK - Ngân hàng MB (QR) - B2: Nhắn tin tới Zalo VietJack Official ( nhấn vào đây ) để xác nhận thanh toán và tải tài liệu - giáo án
Liên hệ ngay Hotline hỗ trợ: 084 283 45 85
Đề thi được cập nhật liên tục trong gói này từ nay đến hết tháng 6/2023. Chúng tôi đảm bảo đủ số lượng đề đã cam kết hoặc có thể nhiều hơn, tất cả có BẢN WORD, LỜI GIẢI CHI TIẾT và tải về dễ dàng.
Để tải tài liệu gốc về máy bạn click vào nút Tải Xuống ở trên!
Thuộc bộ (mua theo bộ để tiết kiệm hơn):
- Tailieugiaovien.com.vn giới thiệu bộ 69 đề thi vào 10 môn Toán hệ không chuyên mới nhất năm 2021 nhằm giúp Giáo viên có thêm tài liệu tham khảo đề luyện thi Toán ôn luyện vào 1
- File word có lời giải chi tiết 100%.
- Mua trọn bộ sẽ tiết kiệm hơn tải lẻ 50%.
Đánh giá
4.6 / 5(509 )5
4
3
2
1
Trọng Bình
Tài liệu hay
Giúp ích cho tôi rất nhiều
Duy Trần
Tài liệu chuẩn
Rất thích tài liệu bên VJ soạn (bám sát chương trình dạy)
TÀI LIỆU BỘ BÁN CHẠY MÔN Toán Học
Xem thêmTÀI LIỆU BỘ BÁN CHẠY Ôn vào 10
Xem thêmTài liệu bộ mới nhất

Đây là bản xem thử, vui lòng mua tài liệu để xem chi ết (có lời giải)
S GIÁO D C VÀ ĐÀO T OỞ Ụ Ạ
BÌNH Đ NHỊ
Đ CHÍNH TH C Ề Ứ
KỲ THI TUY N SINH VÀO L P 10 THPTỂ Ớ
NĂM H C 2020-2021Ọ
Môn thi: TOÁN
Ngày thi: 18/7/2020
Th i gian làm bài: 120 phút ờ
Bài 1. (2,0 đi m)ể
1. Gi i ph ng trình: ả ươ
1
3
2
x
x
2. Cho bi u th c ể ứ
2 2 2
. 1 0; 1
1 1
x x
A x x x
x x
a) Tính giá tr c a bi u th c ị ủ ể ứ
A
khi
4x
b) Rút g n bi u th c ọ ể ứ
A
và tìm giá tr l n nh t c a ị ớ ấ ủ
A
Bài 2. (2,0 đi m)ể
Cho parabol
2
:P y x
và đ ng th ng ườ ẳ
: 2 1 2 5d y m x m
(
m
là tham s )ố
a) Ch ng minh r ng đ ng th ng ứ ằ ườ ẳ
d
luôn c t Parabol ắ
P
t i hai đi m phân bi t ạ ể ệ
v i m i giá tr mớ ọ ị
b) Tìm các giá tr c a ị ủ
m
đ đ ng th ng ể ườ ẳ
d
c t Parabol ắ
P
t i hai đi m phân ạ ể
bi t có hoành đ t ng ng là ệ ộ ươ ứ
1 2
,x x
d ng và ươ
1 2
2x x
Bài 3. (1,5 đi m)ể
Trong kỳ thi ch n h c sinh gi i l p 9 c p tr ng, t ng s h c sinh đ t gi i c a ọ ọ ỏ ớ ấ ườ ổ ố ọ ạ ả ủ
c hai l p ả ớ
9 1A
và
9 2A
là 22 em, chi m t l ế ỉ ệ
40%
trên t ng s h c sinh d thi c a hai ổ ố ọ ự ủ
l p trên. N u tính riêng t ng l p thì l p ớ ế ừ ớ ớ
9 1A
có
50%
h c sinh d thi đ t gi i và l pọ ự ạ ả ớ
9 2A
có
28%
h c sinh d thi đ t gi i. H i m i l p có t t c bao nhiêu h c sinh d ọ ự ạ ả ỏ ỗ ớ ấ ả ọ ự
thi ?
Bài 4. (3,5 đi m)ể
Cho đ ng tròn tâm O, đ ng kính ườ ườ
AB
và
d
là m t ti p tuy n c a đ ng trònộ ế ế ủ ườ
O
t i đi m A. Trên đ ng th ng ạ ể ườ ẳ
d
l y đi m ấ ể
M
(khác A) và trên đo n ạ
OB
l y đi m ấ ể
N (khác
O
và
).B
Đ ng th ng ườ ẳ
MN
c t đ ng tròn ắ ườ
O
t i hai đi m ạ ể
C
và D sao cho
C
n m gi a ằ ữ
M
và
.D
G i ọ
H
là trung đi m c a đo n th ng ể ủ ạ ẳ
CD
a) Ch ng minh t giác ứ ứ
AOHM
n i ti p trong m t đ ng trònộ ế ộ ườ
b) K đo n ẻ ạ
DK
song song v i ớ
(MO K
n m trên đ ng th ng ằ ườ ẳ
).AB
Ch ng minh ứ
r ng ằ
MDK BAH
và
2
.MA MC MD
c) Đ ng th ng ườ ẳ
BC
c t đ ng th ng ắ ườ ẳ
OM
t i đi m I. Ch ng minh r ng đ ng ạ ể ứ ằ ườ
th ng ẳ
AI
song song v i đ ng th ng ớ ườ ẳ
BD
Bài 5. (1,0 đi m)ể
Mọi thắc mắc vui lòng xin liên hệ hotline: 084 283 45 85

Đây là bản xem thử, vui lòng mua tài liệu để xem chi ết (có lời giải)
Cho
,x y
là các s th c d ng th a mãn ố ự ươ ỏ
10.x y
Tìm giá tr c a ị ủ
x
và
y
đ ể
bi u th c ể ứ
4 4
1 1A x y
đ t giá tr nh nh t. Tìm giá tr nh nh t đó.ạ ị ỏ ấ ị ỏ ấ
ĐÁP ÁN
Bài 1.
1
1) 3 1 2 6 7
2
x
x x x x
V y ậ
7S
2)
a) Thay
4( )x tmdk
vào bi u th c A ta có:ể ứ
4 2 2 4 2 4 2
. 4 1 .3 2
3 1
4 1 4 1
A
V y ậ
4 2khi x A
b) Rút g n:ọ
2 1
2 2 2 2
. 1 . 1 1
1 1
1
. 1
x
x x x
A x x x
x x
x
x x x x
Ta có:
2 2
2
1 1 1 1 1
2. .
2 2 4 2 4
A x x x x x
Vì
2
1 1
0 0, 1
2 4
x A x x
D u ấ
" "
x y ra ả
1 1
( )
2 4
x x tm
V y ậ
max
1 1
4 4
A x
Bài 2.
a) Ch ng minh (d) luôn c t (P) t i hai đi m phân bi tứ ắ ạ ể ệ
Ph ng trình hoành đ giao điêm c a (P) và (d) là:ươ ộ ủ
2 2
2 1 2 5 2 1 2 5 0 *x m x m x m x m
. Ph ng trình (*) có:ươ
Mọi thắc mắc vui lòng xin liên hệ hotline: 084 283 45 85

Đây là bản xem thử, vui lòng mua tài liệu để xem chi ết (có lời giải)
2 2
2 2
' 1 2 5 2 1 2 5 4 4 2 2 4m m m m m m m m
Vì
2 2
2 0 2 2 0m m m m
b) Tìm các giá tr mị
Xét ph ng trình ươ
2
2 1 2 5 0 *x m x m
Đ đ ng th ng ể ườ ẳ
d
luôn c t ắ
P
t i hai đi m phân bi t có hoành đ ạ ể ệ ộ
1 2
,x x
d ng thì: ươ
0
0
5
0 2 1 0
2
0
2 5 0
m
S m m
P
m
. Khi đó áp d ng Vi-et ta có:ụ
1 2
1 2
2 2
2 5
x x m
x x m
. Theo đ bài ta có:ề
2
1 2 1 2 1 2 1 2
2
2 2
2 4 2 4
2 2 2 2 5 4 2 6 2 2 5 2 5 3
3 0
3 3
6 9 2 5 8 14 0
3 2 5
4 2( )
4 2( )
x x x x x x x x
m m m m m m
m
m m
m m m m m
m m
m tm
m tm
V y ậ
4 2m
th a mãn bài toán .ỏ
Bài 3.
G i s h c sinh d thi c a l p ọ ố ọ ự ủ ớ
9 1A
và
9 2A
l n l t là ầ ượ
,x y
(h c sinh) ọ
,x y
Vì s h c sinh đ t gi i là ố ọ ạ ả
22
em, chi m t l ế ỉ ệ
40%
trên t ng s h c sinh d thi ổ ố ọ ự
c a hai l p nên ta có ph ng trình ủ ớ ươ
.40% 22 55 1x y x y
N u tính riêng t ng l p thì:ế ừ ớ
L p ớ
9 1A
có s h c sinh đ t gi i là ố ọ ạ ả
1
50%
2
x x
(h c sinh)ọ
L p ớ
9 2A
có s h c sinh đ t gi i là ố ọ ạ ả
7
28%
25
y y
(h c sinh)ọ
Vì c hai l p có 22 h c sinh đ t gi i nên ta có ph ng trình:ả ớ ọ ạ ả ươ
1 7
22 25 14 1100 2
2 25
x y x y
Mọi thắc mắc vui lòng xin liên hệ hotline: 084 283 45 85

Đây là bản xem thử, vui lòng mua tài liệu để xem chi ết (có lời giải)
T (1) và (2) ta có h ph ng trình:ừ ệ ươ
55 25 25 1375 11 275 30
( )
25 14 1100 25 14 1100 55 25
x y x y y x
tm
x y x y x y y
V y s h c sinh d thi là ậ ố ọ ự
9 1:30A
h c sinh; ọ
9 2: 25A
h c sinh.ọ
Bài 4.
a) Ch ng minh AOHM là t giác n i ti pứ ứ ộ ế
Ta có:
MA
là ti p tuy n c a ế ế ủ
0
90O MAO
Mọi thắc mắc vui lòng xin liên hệ hotline: 084 283 45 85

Đây là bản xem thử, vui lòng mua tài liệu để xem chi ết (có lời giải)
H
là trung đi m c a ể ủ
CD OH CD H
(đ ng kính – dây cung)ườ
0
90OHC OHM
Xét t giác ứ
AOHM
có:
0 0 0
90 90 180MAO OHM
mà hai góc này đ i di n ố ệ
nên
AOHM
là t giác n i ti p (đpcm)ứ ộ ế
b) Ch ng minh ứ
MDH BAH
và
2
.MA MC MD
Ta có:
/ / ( )DK MO gt MDK DMO
(hai góc so le trong)
Vì
AOHM
là t giác n i ti p (cm câu a)ứ ộ ế
HMO HAO
(cùng ch n ắ
)OH
Hay
( )BAD DMO BAH MDK DMO dfcm
Xét
AMC
và
DMA
ta có:
M
chung;
MDA MAC
(cùng ch n ắ
)AC
2
( . ) . ( )
AM MC
AMC DMA g g MA MC MD dfcm
DM MA
c) Ch ng minh ứ
/ /AI BD
G i ọ
E
là giao đi m c a ể ủ
MO
và
.BD
Kéo dài
DK
c t BC t i ắ ạ
F
Xét t giác ứ
AHKD
có
HAK KDH
(câu b)
AHKD
là t giác n i ti p (hai đ nh k cùng nhìn c nh đ i di n d i các góc ứ ộ ế ỉ ề ạ ố ệ ướ
b ng nhau)ằ
DAK DHK
(góc n i ti p cùng ch n ộ ế ắ
)DK
Mà
DAK DCB
(cùng ch n ắ
)DB
nên
DHK DCB
Hai góc này v trí đ ng v nên ở ị ồ ị
/ / / /HK CB HK CF
Trong tam giác
,DCF
/ / ,HK CF H
là trung đi m CD nên K là trung đi m ể ể
FD
DK KF
. L i có: ạ
/ / / /DK MO DF IE
DK FK BK
OE OI BO
Mà
( )DK FK cmt OE OI
Xét t giác ứ
AIBE
có hai đ ng chéo ườ
IE
và
AB
c t nhau t i trung đi m ắ ạ ể
O
c a ủ
m i đ ng nên ỗ ườ
AIBE
là hình bình hành
/ / / / ( )AI BE AI BD dfcm
Bài 5.
Ta có:
Mọi thắc mắc vui lòng xin liên hệ hotline: 084 283 45 85
