ệ xem ể chi ti t ế (có l i ờ gi i ả ) SỞ GIÁO D C Ụ VÀ ĐÀO T O Ạ KỲ THI TUY N Ể SINH L P Ớ 10 THPT BÌNH DƯ N Ơ G Năm h c ọ 2019-2020 Đ Ề THI CHÍNH TH C Ứ Ngày thi: 30/5/2019 Th i
ờ gian làm bài: 120 phút, không k t ể hời gian giao đề Bài 1. (2,0 đi m ể ) Gi i ả các phư ng ơ trình, h ph ệ ư ng t ơ rình sau: 4x y 7 1)x 7x 10
2) x 2x2 2 2 2
6x 12x 9 0 3) 5 x y 2 Bài 2. (1,5 đi m ể ) 1 2 y x Cho parabol (P): 2 và đư ng ờ th ng ẳ
d : y x m 1(m là tham s ) ố 1) Vẽ đồ th ị P 2) G i
ọ A x ; y , B x , y d P A A B
B là hai giao đi m ể phân bi t ệ c a
ủ và .Tìm t t ấ cả các giá trị c a t ủ ham số m đ ể x 0 x A và 0 B Bài 3. (1,5 đi m ể ) Cho phư ng t ơ rình: 2
x ax b 2 0
( a,b là tham số) Tìm các giá tr c ị a ủ tham s ố a,b đ ph ể ư ng ơ trình trên có hai nghi m ệ phân bi t ệ x , x 1 2 th a ỏ x x 4 1 2 3 3 mãn đi u ki ề n : ệ x x 28 1 2 Bài 4. (1,5 đi m ể ) M t ộ tổ công nhân theo k ho ế ch ạ ph i ả làm 140 s n ph ả m ẩ trong m t ộ th i ờ gian nh t ấ đ nh. N ị h ng khi ư th c hi ự n năng s ệ u t ấ c a ủ t đã ổ vư t ợ năng su t ấ d đ ự nh l ị à 4 s n ph ả ẩm m i
ỗ ngày. Do đó tổng đã hoàn thành công vi c s ệ m ớ h n ơ d đ ự nh 4 ngày ị . H i ỏ th c ự t m ế ỗi ngày t đã l ổ àm đư c ợ bao nhiêu s n ph ả m ẩ . Bài 5. (3,5 đi m ể ) Cho đư ng t ờ ròn ; O R .T m ừ t ộ đi m ể M ngoài ở đư ng ờ tròn ; O R sao cho OM 2 R, vẽ hai ti p t ế uy n ế M , A MB v i ớ O ( , A B là hai ti p đi ế m ể ). L y m ấ t ộ đi m ể N tùy ý trên cung nh ỏ A . B G i
ọ I, H , K lần lư t
ợ là hình chi u vuông góc c ế a ủ N
trên AB, AM , BM . 1) Tính di n t
ệ ích tứ giác MAOB theo R 2) Ch ng ứ minh: NIH NBA M i
ọ thắc mắc vui lòng xin liên hệ hotline: 084 283 45 85
ệ xem ể chi ti t ế (có l i ờ gi i ả ) 3) G i ọ E là giao đi m ể c a
ủ AN và IH, F là giao đi m ể c a ủ BN và IK. Ch ng ứ minh t ứ giác IENF n i ộ ti p đ ế ư c ợ trong đư ng t ờ ròn. 4) Giả s
ử O, N, M th ng ẳ hàng. Ch ng m ứ inh 2 2 2 NA NB 2 R ĐÁP ÁN Bài 1. 1) 2 x 7x 10 0 có 2 2 b 4ac 7 4.1.10 9 0 7 9 x 5 1 2.1 7 9 x 2 2 Phư ng ơ trình có 2 nghi m ệ phân bi t ệ : 2.1 V y ậ phư ng t ơ rình có hai nghi m ệ phân bi t ệ x 5 ; x 2 1 2
2) x 2x2 2 2
6x 12x 9 0
x 2x 2 2 6 2
x 2x 9 0 * Đ t ặ 2 x 2x t .Khi đó ta có phư ng t ơ rình:
* t 6t 9 0
t 3 2 2 0 t 3 0 t 3 2 2 2 x 2x 3
x 2x 3 0
x 3x x 3 0
x x 3 x 3 0 x 1 x 3 0 x 3 0 x 3 x 1 0 x 1 V y ậ phư ng t ơ rình đã cho có t p ậ nghi m ệ S 3; 1 4x y 7 9 x 9 x 1 x 1 3) 5x y 2 y 4x 7 y 4.1 7 y 3 V y ậ h ph ệ ư ng t ơ rình có nghi m ệ duy nh t ấ ; x y 1; 3 Bài 2. 1) H c ọ sinh t v ự đ ẽ t ồ h ( ị P) M i
ọ thắc mắc vui lòng xin liên hệ hotline: 084 283 45 85
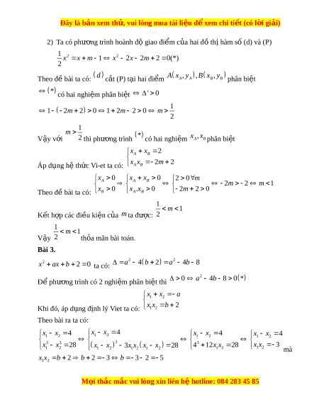
ệ xem ể chi ti t ế (có l i ờ gi i ả ) 2) Ta có phư ng
ơ trình hoành độ giao đi m ể c a hai ủ đ t ồ h hàm ị s ( ố d) và (P) 1 2 2
x x m 1 x 2x 2m 2 0( *) 2 Theo đ bài ề ta có: d c t ắ (P) t i ạ hai đi m
ể A x , y , B x , y A A B B phân biệt
* có hai nghiệm phân bi t ệ ' 0 1
1 2m 2 0 1 2m 2 0 m 2 1 m V y ậ v i ớ 2 thì phư ng
ơ trình * có hai nghiệm x , x A B phân biệt x x 2 A B Áp d ng ụ h t ệ h c
ứ Vi-et ta có: x x 2m 2 A B x 0 x x 0 2 0 m A A B
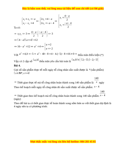
2m 2 m 1 Theo đ bài ề ta có: x 0 x .x 0 2m 2 0 B A B 1 m 1 K t ế h p ợ các đi u ki ề n c ệ a ủ m ta đư c: ợ 2 1 m 1 V y ậ 2 th a m ỏ ãn bài toán. Bài 3. 2 2 2
x ax b 2 0 ta có: a 4 b 2 a 4b 8 2 Để phư ng t ơ rình có 2 nghi m ệ phân bi t
ệ thì 0 a 4b 8 0*
x x a 1 2 Khi đó, áp d ng ụ đ nh l ị ý Viet ta có: x x b 2 1 2 Theo bài ra ta có: x x 4 x x 4 x x 4 x x 4 1 2 1 2 1 2 1 2 3 3 x x 28 x x 3x x x x 2 8 4 12x x 28 x x 3 1 2 1 2 3 1 2 1 2 3 1 2 1 2 mà x x b
2 b 2 3 b 3 2 5 1 2 M i
ọ thắc mắc vui lòng xin liên hệ hotline: 084 283 45 85
ệ xem ể chi ti t ế (có l i ờ gi i ả ) 4 a x1
x x a 2x 4 a 1 2 1 2 x x 4 2x a 4 a 4 1 2 2 x2 Ta có: 2
4 a a 4 x x 3 . 3 1 2 2 2
4 a a 4 12 a 2 2 2 16 a 12 a 4 a 2 2 2 V i ớ a 4
,b 5 a 4b 8 4 4.( 5) 8 1 6 0 th a m ỏ ãn đi u ki ề n ( ệ *)
a,b 2; 5 ; 2; 5 V y ậ có 2 c p ặ s
ố a,b th a m ỏ
ãn yêu cầu bài toán là Bài 4. G i ọ số s n ả ph m ẩ th c ự t m ế i ỗ ngày t công nhân s ổ n xu ả t ấ đư c ợ là x (s n ph ả ẩm) x * , x 4 140 Th i ờ gian th c t ự m ế à t công nhân hoàn ổ thành xong 140 s n ả ph m ẩ là x ngày Theo k ho ế ch
ạ mỗi ngày tổ công nhân đó s n xu ả t ấ đư c ợ s s ố n ả ph m ẩ : x 4 140 Th i ờ gian theo k ho ế ch ạ mà t công nhân hoàn t ổ hành xong 140 s n ph ả m ẩ : x 4 (ngày) Theo đ bài ề ta có th i ờ gian th c t ự hoàn t ế hành xong s m ớ h n s ơ o v i ớ th i ờ gian d đ ự nh l ị à 4 ngày nên ta có phư ng t ơ rình: M i
ọ thắc mắc vui lòng xin liên hệ hotline: 084 283 45 85
Đề thi vào 10 môn Toán tỉnh Bình Dương năm 2020
494
247 lượt tải
MUA NGAY ĐỂ XEM TOÀN BỘ TÀI LIỆU
CÁCH MUA:
- B1: Gửi phí vào TK:
1133836868- CT TNHH DAU TU VA DV GD VIETJACK - Ngân hàng MB (QR) - B2: Nhắn tin tới Zalo VietJack Official ( nhấn vào đây ) để xác nhận thanh toán và tải tài liệu - giáo án
Liên hệ ngay Hotline hỗ trợ: 084 283 45 85
Đề thi được cập nhật liên tục trong gói này từ nay đến hết tháng 6/2023. Chúng tôi đảm bảo đủ số lượng đề đã cam kết hoặc có thể nhiều hơn, tất cả có BẢN WORD, LỜI GIẢI CHI TIẾT và tải về dễ dàng.
Để tải tài liệu gốc về máy bạn click vào nút Tải Xuống ở trên!
Thuộc bộ (mua theo bộ để tiết kiệm hơn):
- Tailieugiaovien.com.vn giới thiệu bộ 63 đề thi vào 10 môn Toán hệ không chuyên năm 2020 nhằm giúp Giáo viên có thêm tài liệu tham khảo đề luyện thi Toán ôn luyện
- File word có lời giải chi tiết 100%.
- Mua trọn bộ sẽ tiết kiệm hơn tải lẻ 50%.
Đánh giá
4.6 / 5(494 )5
4
3
2
1
Trọng Bình
Tài liệu hay
Giúp ích cho tôi rất nhiều
Duy Trần
Tài liệu chuẩn
Rất thích tài liệu bên VJ soạn (bám sát chương trình dạy)
TÀI LIỆU BỘ BÁN CHẠY MÔN Toán Học
Xem thêmTÀI LIỆU BỘ BÁN CHẠY Ôn vào 10
Xem thêmTài liệu bộ mới nhất

Đây là b nả xem thử, vui lòng mua tài li u đ xem chi ti t (có l i gi i)ệ ể ế ờ ả
S GIÁO D C VÀ ĐÀO T OỞ Ụ Ạ
BÌNH D NGƯƠ
Đ THI CHÍNH TH C Ề Ứ
KỲ THI TUY N SINH L P 10 THPTỂ Ớ
Năm h c 2019-2020ọ
Ngày thi: 30/5/2019
Th i gian làm bài: 120 phút, không k th i gian giaoờ ể ờ
đề
Bài 1. (2,0 đi m)ể
Gi i các ph ng trình, h ph ng trình sau:ả ươ ệ ươ
2
2 2 2
4 7
1) 7 10 2) 2 6 12 9 0 3)
5 2
x y
x x x x x x
x y
Bài 2. (1,5 đi m)ể
Cho parabol (P):
2
1
2
y x
và đ ng th ng ườ ẳ
: 1d y x m
(m là tham s )ố
1) V đ th ẽ ồ ị
P
2) G i ọ
; , ,
A A B B
A x y B x y
là hai giao đi m phân bi t c a ể ệ ủ
d
và
.P
Tìm t t c cácấ ả
giá tr c a tham s ị ủ ố
m
đ ể
0
A
x
và
0
B
x
Bài 3. (1,5 đi m) ể Cho ph ng trình:ươ
2
2 0x ax b
(
,a b
là tham s )ố
Tìm các giá tr c a tham s ị ủ ố
,a b
đ ph ng trình trên có hai nghi m phân bi t ể ươ ệ ệ
1 2
,x x
th aỏ
mãn đi u ki n : ề ệ
1 2
3 3
1 2
4
28
x x
x x
Bài 4. (1,5 đi m) ể M t t công nhân theo k ho ch ph i làm 140 s n ph m trong m t ộ ổ ế ạ ả ả ẩ ộ
th i gian nh t đ nh. Nh ng khi th c hi n năng su t c a t đã v t năng su t d đ nh làờ ấ ị ư ự ệ ấ ủ ổ ượ ấ ự ị
4 s n ph m m i ngày. Do đó t ng đã hoàn thành công vi c s m h n d đ nh 4 ngày. ả ẩ ỗ ổ ệ ớ ơ ự ị
H i th c t m i ngày t đã làm đ c bao nhiêu s n ph m.ỏ ự ế ỗ ổ ượ ả ẩ
Bài 5. (3,5 đi m) ể Cho đ ng tròn ườ
;O R
.T m t đi m ừ ộ ể
M
ngoài đ ng tròn ở ườ
;O R
sao cho
2 ,OM R
v hai ti p tuy n ẽ ế ế
,MA MB
v i ớ
( ,O A B
là hai ti p đi m). L y m t ế ể ấ ộ
đi m N tùy ý trên cung nh ể ỏ
.AB
G i ọ
, ,I H K
l n l t là hình chi u vuông góc c a ầ ượ ế ủ
N
trên
, , .AB AM BM
1) Tính di n tích t giác ệ ứ
MAOB
theo R
2) Ch ng minh: ứ
NIH NBA
M iọ th c m c vui lòng xin liên hắ ắ ệ hotline: 084 283 45 85

Đây là b nả xem thử, vui lòng mua tài li u đ xem chi ti t (có l i gi i)ệ ể ế ờ ả
3) G i E là giao đi m c a ọ ể ủ
AN
và IH, F là giao đi m c a ể ủ
BN
và IK. Ch ng minh t ứ ứ
giác
IENF
n i ti p đ c trong đ ng tròn.ộ ế ượ ườ
4) Gi s ả ử
, ,O N M
th ng hàng. Ch ng minh ẳ ứ
2 2 2
2NA NB R
ĐÁP ÁN
Bài 1.
1)
2
7 10 0x x
có
2 2
4 7 4.1.10 9 0b ac
Ph ng trình có 2 nghi m phân bi t:ươ ệ ệ
1
2
7 9
5
2.1
7 9
2
2.1
x
x
V y ph ng trình có hai nghi m phân bi t ậ ươ ệ ệ
1 2
5; 2x x
2
2 2
2
2 2
2) 2 6 12 9 0
2 6 2 9 0 *
x x x x
x x x x
Đ t ặ
2
2 .x x t
Khi đó ta có ph ng trình:ươ
2
2
2 2 2
* 6 9 0 3 0 3 0 3
2 3 2 3 0 3 3 0
3 3 0 1 3 0
3 0 3
1 0 1
t t t t t
x x x x x x x
x x x x x
x x
x x
V y ph ng trình đã cho có t p nghi m ậ ươ ậ ệ
3;1S
4 7 9 9 1 1
3)
5 2 4 7 4.1 7 3
x y x x x
x y y x y y
V y h ph ng trình có nghi m duy nh t ậ ệ ươ ệ ấ
; 1; 3x y
Bài 2.
1) H c sinh t v đ th (P)ọ ự ẽ ồ ị
M iọ th c m c vui lòng xin liên hắ ắ ệ hotline: 084 283 45 85

Đây là b nả xem thử, vui lòng mua tài li u đ xem chi ti t (có l i gi i)ệ ể ế ờ ả
2) Ta có ph ng trình hoành đ giao đi m c a hai đ th hàm s (d) và (P)ươ ộ ể ủ ồ ị ố
2 2
1
1 2 2 2 0(*)
2
x x m x x m
Theo đ bài ta có: ề
d
c t (P) t i hai đi m ắ ạ ể
, , ,
A A B B
A x y B x y
phân bi t ệ
*
có hai nghi m phân bi t ệ ệ
' 0
1
1 2 2 0 1 2 2 0
2
m m m
V y v i ậ ớ
1
2
m
thì ph ng trình ươ
*
có hai nghi m ệ
,
A B
x x
phân bi t ệ
Áp d ng h th c Vi-et ta có: ụ ệ ứ
2
2 2
A B
A B
x x
x x m
Theo đ bài ta có: ề
0 0
2 0
2 2 1
0 . 0 2 2 0
A A B
B A B
x x x
m
m m
x x x m
K t h p các đi u ki n c a ế ợ ề ệ ủ
m
ta đ c: ượ
1
1
2
m
V y ậ
1
1
2
m
th a mãn bài toán.ỏ
Bài 3.
2
2 0x ax b
ta có:
2 2
4 2 4 8a b a b
Đ ph ng trình có 2 nghi m phân bi t thì ể ươ ệ ệ
2
0 4 8 0 *a b
Khi đó, áp d ng đ nh lý Viet ta có: ụ ị
1 2
1 2
2
x x a
x x b
Theo bài ra ta có:
1 2
1 2 1 2
1 2
3
3 3 3
1 2
1 2 1 2
1 2 1 2 1 2
4
4 4
4
3
28 4 12 28
3 28
x x
x x x x
x x
x x
x x x x
x x x x x x
mà
1 2
2 2 3 3 2 5x x b b b
M iọ th c m c vui lòng xin liên hắ ắ ệ hotline: 084 283 45 85

Đây là b nả xem thử, vui lòng mua tài li u đ xem chi ti t (có l i gi i)ệ ể ế ờ ả
Ta có:
1
1 2 1
1 2 2
2
4
2 4
2
4 2 4 4
2
a
x
x x a x a
x x x a a
x
1 2
2 2
4 4
3 . 3
2 2
4 4 12
2
16 12 4
2
a a
x x
a a
a
a a
a
V i ớ
2 2
4, 5 4 8 4 4.( 5) 8 16 0a b a b
th a mãn đi u ki n (*)ỏ ề ệ
V y có 2 c p s ậ ặ ố
,a b
th a mãn yêu c u bài toán là ỏ ầ
, 2; 5 ; 2; 5a b
Bài 4.
G i s s n ph m th c t m i ngày t công nhân s n xu t đ c là ọ ố ả ẩ ự ế ỗ ổ ả ấ ượ
x
(s n ph m)ả ẩ
*, 4x x
Th i gian th c t mà t công nhân hoàn thành xong 140 s n ph m là ờ ự ế ổ ả ẩ
140
x
ngày
Theo k ho ch m i ngày t công nhân đó s n xu t đ c s s n ph m: ế ạ ỗ ổ ả ấ ượ ố ả ẩ
4x
Th i gian theo k ho ch mà t công nhân hoàn thành xong 140 s n ph m:ờ ế ạ ổ ả ẩ
140
4x
(ngày)
Theo đ bài ta có th i gian th c t hoàn thành xong s m h n so v i th i gian d đ nh là ề ờ ự ế ớ ơ ớ ờ ự ị
4 ngày nên ta có ph ng trình:ươ
M iọ th c m c vui lòng xin liên hắ ắ ệ hotline: 084 283 45 85

Đây là b nả xem thử, vui lòng mua tài li u đ xem chi ti t (có l i gi i)ệ ể ế ờ ả
2
2
140 140
4
4
140 140 4 4 4
35 35 4 4
4 140 0
14 10 140 0
14 10 14 0
10 14 0
10 0 10( )
14 0 14( )
x x
x x x x
x x x x
x x
x x x
x x x
x x
x x ktm
x x tm
V y th c t m i ngày t công nhân đã làm đ c 14 s n ph m .ậ ự ế ỗ ổ ượ ả ẩ
M iọ th c m c vui lòng xin liên hắ ắ ệ hotline: 084 283 45 85
