SỞ GIÁO D C Ụ VÀ ĐÀO T O Ạ KỲ THI TUY N Ể SINH VÀO L P Ớ 10 NĂM 2020 BÌNH PHƯỚC Đ
Ề THI MÔN TOÁN (CHUNG) Th i
ờ gian : 120 phút (không k p ể hát đ ) ề Đ C Ề HÍNH TH C Ứ Ngày thi 17/07/2020 Câu 1. (2,0 đi m) ể 1. Tính giá tr c ị ác bi u t ể hức sau : A B 2 64 49 4 7 7 x 2 x Q 3, x 0 2. Cho biểu th c ứ x 2 a) Rút g n bi ọ u t ể h c ứ Q Q b) Tìm giá trị c a
ủ x để biểu thứ 2 c Câu 2. (2,0 đi m) ể 2
parabol(P) : y x d y x 1. Cho và đư ng t ờ hẳng : 2 3 P d a) V pa ẽ rabol và đư ng
ờ thẳng trên cùng một mặt phẳng t a ọ độ P d b) Tìm tọa đ gi ộ ao đi m
ể của parabol và đư ng t ờ
hẳng bằng phép tính 2x 3y 3 x 3y 6 2. Không s d ử ng m ụ áy tính, giải h ph ệ ư ng t ơ rình sau : Câu 3. (2,5 đi m) ể 2
x 5x m 2 0 (1) 1. Cho phư ng ơ trình ẩn x : a) Giải phư ng ơ trình 1 v iớ m 6 x , x b) Tìm m để phư ng ơ trình 1 có hai nghi m ệ dư ng phâ ơ n bi t ệ 1 2 thỏa mãn h t ệ h c ứ 1 1 3 x x 2 1 2 2 2. M t ộ th a ử đất hình ch nh ữ ật có chiều dài h n c ơ hi u r ề ng ộ 4m và có di n t ệ ích là 320m . Tính chu vi th a ử đất đó . Câu 4. (1,0 đi m) ể 0
Cho tam giác ABC vuông tại ,
A có cạnh AC 8 c , m B 6
0 . Tính số đo góc C và đ dà ộ i
các cạnh AB, BC ,đư ng t ờ rung tuy n ế AM c a ủ tam giác ABC Câu 5. (2,5 đi m) ể O Từ m t ộ đi m
ể T ở bên ngoài đư ng ờ tròn , V ha ẽ i ti p t ế uy n ế T , A TB v i ớ đư ng t ờ ròn ( , A B O là hai ti p đi ế m
ể ). Tia TO cắt đư ng t ờ ròn tại hai đi m
ể phân biệt C và D (C nằm giữa T
và O) và cắt đoạn thẳng AB tại điểm F
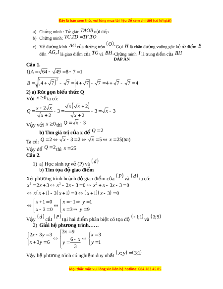
a) Ch ng
ứ minh : Tứ giác TAOB n i ộ tiếp b) Ch ng
ứ minh: TC.TD T F.TO O c) V đ ẽ ư ng kí ờ nh AG c a ủ đư ng t ờ ròn . G i
ọ H là chân đư ng vuông góc ờ k t ẻ đi ừ m ể B
đến AG, I là giao điểm c a
ủ TG và BH. Ch ng
ứ minh I là trung di m ể c a ủ BH ĐÁP ÁN Câu 1. 1)A 64 49 8 7 1
B 4 72 7 4 7 7 4 7 7 4 2) a) Rút g n bi ọ u t ể h c Q ứ V i ớ x 0 ta có: x x x x 2 2 Q 3 3 x 3 x 2 x 2 V y ậ v i ớ x 0
thì Q x 3 b) Tìm giá tr c ị a x đ ủ ể Q 2 Ta có: Q 2 x 3 2 x 5 x 25 (tm) V y ậ đ ể Q 2 thì x 2 5 Câu 2. 1) a) H c ọ sinh t v ự ( ẽ P) và d b) Tìm t a đ ọ gi ộ ao đi m ể Xét phư ng
ơ trình hoành độ giao đi m ể c a
ủ P và d ta có: 2 2 2 x 2
x 3 x 2x 3 0
x x 3x 3 0
x x 1 3 x 1 0 x 1 x 3 0 x 1 0
x 1 y 1 x 3 0 x 3 y 9 V y ậ d c t ắ P t i ạ hai đi m ể phân bi t ệ có t a đ ọ ộ 1; 1 và 3;9 2) Giải h p ệ hư ng t ơ rình…… 3 x 9 2x 3y 3 x 3 6 x x 3y 6 y y 1 3 V y ậ h ph ệ ư ng t ơ rình có nghi m ệ duy nh t ấ ; x y 3; 1
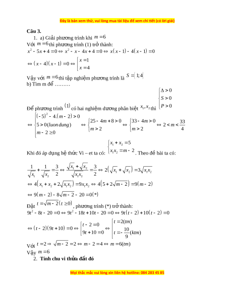
Câu 3. 1. a) Gi i ả phư ng ơ trình khi m 6 V i ớ m 6 thì phư ng t ơ rình (1) tr t ở hành: 2 2 x 5x 4 0
x x 4x 4 0
x x 1 4 x 1 0 x 1
x 4 x 1 0 x 4 V y ậ v i ớ m 6 thì t p ậ nghi m ệ phư ng ơ trình là S 1; 4 b) Tìm m đ ……… ể 0 S 0 Để phư ng t ơ rình 1 có hai nghiệm dư ng ơ phân bi t ệ x , x P 0 1 2 thì 2
5 4. m 2 0
25 4m 8 0 33 4m 0 33 5 0(luon dung) 2 m m 2 m 2 4 m 2 0 x x 5 1 2 Khi đó áp d ng ụ h t ệ h c
ứ Vi – et ta có: x x m 2 1 2 . Theo đề bài ta có: 1 1 3 x x 3 1 2
2 x x 3 x x 1 2 1 2 x x 2 x x 2 1 2 1 2
4 x x 2 x x 9
x x 4 5 2 m 2 9 m 2 1 2 1 2 1 2
9 m 2 8 m 2 20 0 * Đ t
ặ t m 2 t 0 , phư ng t ơ rình (*) trở thành: 2 2
9t 8t 20 0
9t 18t 10t 20 0
9t t 2 10 t 2 0 t 2( tm) t 2 0
t 2 9t 10 0 10 9t 10 0 t (ktm) 9 V i ớ t 2 m 2 2 m 2 4 m 6( tm) V y ậ m 6 2. Tính chu vi th a đ ử t ấ đó
G i ọ chi u r ề ng t ộ h a đ ử t
ấ là x m , x 0 Chi u dài ề th a ử đ t
ấ là x 4 m 2 Vì th a ử đ t ấ có di n t
ệ ích là 320m , nên ta có phư ng t ơ rình : x x 2 2 4 3
20 x 4x 320 0
x 16x 20x 320 0
x x 16 20 x 16 0
x 16 x 20 0 x 16 0 x 1 6(tm) x 20 0 x 20(ktm) Chi u ề r ng t ộ h a đ ử t ấ là 16 , m chi u dài ề th a đ ử ất là 16 4 2 0m V y ậ chu vi th a đ ử t
ấ đó là : 16 20 .2 7 2 m Câu 4. Vì AB C vuông t i ạ A nên 0 B C 9 0 (ph nhau) ụ 0 0 0 0 C 9 0 B 9 0 60 3 0 Ta có: 0 AC AC 8 8 3 tan 60 AB cm 0 AB tan 60 3 3 AC AC 8 16 3 0 sin 60 BC (cm) 0 BC sin 60 3 3 2
Tam giác ABC vuông t i ạ A có đư ng t ờ rung tuy n ế AM ng v ứ i ớ c nh ạ huy n B ề C nên: 1 1 16 3 8 3 AM BC . cm 2 2 3 3 8 3 16 3 0 C 30 , AB AM c , m BC cm V y ậ 3 3
Đề thi vào 10 môn Toán tỉnh Bình Phước (Hệ không chuyên) năm 2021
528
264 lượt tải
MUA NGAY ĐỂ XEM TOÀN BỘ TÀI LIỆU
CÁCH MUA:
- B1: Gửi phí vào TK:
1133836868- CT TNHH DAU TU VA DV GD VIETJACK - Ngân hàng MB (QR) - B2: Nhắn tin tới Zalo VietJack Official ( nhấn vào đây ) để xác nhận thanh toán và tải tài liệu - giáo án
Liên hệ ngay Hotline hỗ trợ: 084 283 45 85
Đề thi được cập nhật liên tục trong gói này từ nay đến hết tháng 6/2023. Chúng tôi đảm bảo đủ số lượng đề đã cam kết hoặc có thể nhiều hơn, tất cả có BẢN WORD, LỜI GIẢI CHI TIẾT và tải về dễ dàng.
Để tải tài liệu gốc về máy bạn click vào nút Tải Xuống ở trên!
Thuộc bộ (mua theo bộ để tiết kiệm hơn):
- Tailieugiaovien.com.vn giới thiệu bộ 69 đề thi vào 10 môn Toán hệ không chuyên mới nhất năm 2021 nhằm giúp Giáo viên có thêm tài liệu tham khảo đề luyện thi Toán ôn luyện vào 1
- File word có lời giải chi tiết 100%.
- Mua trọn bộ sẽ tiết kiệm hơn tải lẻ 50%.
Đánh giá
4.6 / 5(528 )5
4
3
2
1
Trọng Bình
Tài liệu hay
Giúp ích cho tôi rất nhiều
Duy Trần
Tài liệu chuẩn
Rất thích tài liệu bên VJ soạn (bám sát chương trình dạy)
TÀI LIỆU BỘ BÁN CHẠY MÔN Toán Học
Xem thêmTÀI LIỆU BỘ BÁN CHẠY Ôn vào 10
Xem thêmTài liệu bộ mới nhất

Đây là bản xem thử, vui lòng mua tài liệu để xem chi ết (có lời giải)
S GIÁO D C VÀ ĐÀO T OỞ Ụ Ạ
BÌNH PH CƯỚ
Đ CHÍNH TH C Ề Ứ
KỲ THI TUY N SINH VÀO L P 10 NĂM 2020Ể Ớ
Đ THI MÔN TOÁN (CHUNG) Ề
Th i gian : 120 phút (không k phát đ )ờ ể ề
Ngày thi 17/07/2020
Câu 1. (2,0 đi m)ể
1. Tính giá tr các bi u th c sau :ị ể ứ
2
64 49 4 7 7A B
2. Cho bi u th c ể ứ
2
3, 0
2
x x
Q x
x
a) Rút g n bi u th c ọ ể ứ
Q
b) Tìm giá tr c a ị ủ
x
đ bi u th c ể ể ứ
2Q
Câu 2. (2,0 đi m)ể
1. Cho
2
( ):parabol P y x
và đ ng th ng ườ ẳ
: 2 3d y x
a) V parabol ẽ
P
và đ ng th ng ườ ẳ
d
trên cùng m t m t ph ng t a độ ặ ẳ ọ ộ
b) Tìm t a đ giao đi m c a parabol ọ ộ ể ủ
P
và đ ng th ng ườ ẳ
d
b ng phép tínhằ
2. Không s d ng máy tính, gi i h ph ng trình sau : ử ụ ả ệ ươ
2 3 3
3 6
x y
x y
Câu 3. (2,5 đi m)ể
1. Cho ph ng trình n ươ ẩ
:x
2
5 2 0 (1)x x m
a) Gi i ph ng trình ả ươ
1
v i ớ
6m
b) Tìm
m
đ ph ng trình ể ươ
1
có hai nghi m d ng phân bi t ệ ươ ệ
1 2
,x x
th a mãn h th cỏ ệ ứ
1 2
1 1 3
2
x x
2. M t th a đ t hình ch nh t có chi u dài h n chi u r ng ộ ử ấ ữ ậ ề ơ ề ộ
4m
và có di n tích là ệ
2
320 .m
Tính chu vi th a đ t đó .ử ấ
Câu 4. (1,0 đi m)ể
Cho tam giác
ABC
vuông t i ạ
,A
có c nh ạ
0
8 , 60 .AC cm B
Tính s đo góc ố
C
và đ dài ộ
các c nh ạ
,AB BC
,đ ng trung tuy n ườ ế
AM
c a tam giác ủ
ABC
Câu 5. (2,5 đi m)ể
T m t đi m ừ ộ ể
T
bên ngoài đ ng tròn ở ườ
,O
V hai ti p tuy n ẽ ế ế
,TA TB
v i đ ng trònớ ườ
( ,A B
là hai ti p đi m). Tia ế ể
TO
c t đ ng tròn ắ ườ
O
t i hai đi m phân bi t ạ ể ệ
C
và D (
C
n m gi a Tằ ữ
và O) và c t đo n th ng ắ ạ ẳ
AB
t i đi m ạ ể
F
Mọi thắc mắc vui lòng xin liên hệ hotline: 084 283 45 85

Đây là bản xem thử, vui lòng mua tài liệu để xem chi ết (có lời giải)
a) Ch ng minh : T giác ứ ứ
TAOB
n i ti p ộ ế
b) Ch ng minh: ứ
. .TC TD TF TO
c) V đ ng kính ẽ ườ
AG
c a đ ng tròn ủ ườ
.O
G i ọ
H
là chân đ ng vuông góc k t đi m ườ ẻ ừ ể
B
đ n ế
,AG I
là giao đi m c a ể ủ
TG
và
.BH
Ch ng minh ứ
I
là trung di m c a ể ủ
BH
ĐÁP ÁN
Câu 1.
2
1) 64 49 8 7 1
4 7 7 4 7 7 4 7 7 4
A
B
2) a) Rút g n bi u th c Qọ ể ứ
V i ớ
0x
ta có:
2
2
3 3 3
2 2
x x
x x
Q x
x x
V y v i ậ ớ
0x
thì
3Q x
b) Tìm giá tr c a x đ ị ủ ể
2Q
Ta có:
2 3 2 5 25( )Q x x x tm
V y đ ậ ể
2Q
thì
25x
Câu 2.
1) a) H c sinh t v (P) và ọ ự ẽ
d
b) Tìm t a đ giao đi m ọ ộ ể
Xét ph ng trình hoành đ giao đi m c a ươ ộ ể ủ
P
và
d
ta có:
2 2 2
2 3 2 3 0 3 3 0
1 3 1 0 1 3 0
1 0 1 1
3 0 3 9
x x x x x x x
x x x x x
x x y
x x y
V y ậ
d
c t ắ
P
t i hai đi m phân bi t có t a đ ạ ể ệ ọ ộ
1;1
và
3;9
2) Gi i h ph ng trình……ả ệ ươ
3 9
2 3 3 3
6
3 6 1
3
x
x y x
x
x y y
y
V y h ph ng trình có nghi m duy nh t ậ ệ ươ ệ ấ
; 3;1x y
Mọi thắc mắc vui lòng xin liên hệ hotline: 084 283 45 85

Đây là bản xem thử, vui lòng mua tài liệu để xem chi ết (có lời giải)
Câu 3.
1. a) Gi i ph ng trình khi ả ươ
6m
V i ớ
6m
thì ph ng trình (1) tr thành:ươ ở
2 2
5 4 0 4 4 0 1 4 1 0
1
4 1 0
4
x x x x x x x x
x
x x
x
V y v i ậ ớ
6m
thì t p nghi m ph ng trình là ậ ệ ươ
1;4S
b) Tìm m đ ………ể
Đ ph ng trình ể ươ
1
có hai nghi m d ng phân bi t ệ ươ ệ
1 2
,x x
thì
0
0
0
S
P
2
5 4. 2 0
25 4 8 0 33 4 0
33
5 0( ) 2
2 2
4
2 0
m
m m
luondung m
m m
m
Khi đó áp d ng h th c Vi – et ta có: ụ ệ ứ
1 2
1 2
5
2
x x
x x m
. Theo đ bài ta có:ề
1 2
1 2 1 2
1 2 1 2
1 2 1 2 1 2
1 1 3 3
2 3
2 2
4 2 9 4 5 2 2 9 2
9 2 8 2 20 0 *
x x
x x x x
x x x x
x x x x x x m m
m m
Đ t ặ
2 0t m t
, ph ng trình (*) tr thành:ươ ở
2 2
9 8 20 0 9 18 10 20 0 9 2 10 2 0
2( )
2 0
2 9 10 0
10
9 10 0
( )
9
t t t t t t t t
t tm
t
t t
t
t ktm
V i ớ
2 2 2 2 4 6( )t m m m tm
V y ậ
6m
2. Tính chu vi th a đ t đó ử ấ
Mọi thắc mắc vui lòng xin liên hệ hotline: 084 283 45 85

Đây là bản xem thử, vui lòng mua tài liệu để xem chi ết (có lời giải)
G i chi u r ng th a đ t là ọ ề ộ ử ấ
, 0x m x
Chi u dài th a đ t là ề ử ấ
4x m
Vì th a đ t có di n tích là ử ấ ệ
2
320 ,m
nên ta có ph ng trình : ươ
2 2
4 320 4 320 0 16 20 320 0
16 20 16 0 16 20 0
16 0 16( )
20 0 20( )
x x x x x x x
x x x x x
x x tm
x x ktm
Chi u r ng th a đ t là ề ộ ử ấ
16 ,m
chi u dài th a đ t là ề ử ấ
16 4 20m
V y chu vi th a đ t đó là : ậ ử ấ
16 20 .2 72 m
Câu 4.
Vì
ABC
vuông t i A nên ạ
0
90B C
(ph nhau)ụ
0 0 0 0
90 90 60 30C B
Ta có:
0
0
0
0
8 8 3
tan60
tan60 3
3
8 16 3
sin 60 ( )
sin 60 3
3
2
AC AC
AB cm
AB
AC AC
BC cm
BC
Tam giác
ABC
vuông t i ạ
A
có đ ng trung tuy n ườ ế
AM
ng v i c nh huy n BC nên:ứ ớ ạ ề
1 1 16 3 8 3
.
2 2 3 3
AM BC cm
V y ậ
0
8 3 16 3
30 , ,
3 3
C AB AM cm BC cm
Mọi thắc mắc vui lòng xin liên hệ hotline: 084 283 45 85

Đây là bản xem thử, vui lòng mua tài liệu để xem chi ết (có lời giải)
Mọi thắc mắc vui lòng xin liên hệ hotline: 084 283 45 85
