SỞ GIÁO D C Ụ VÀ ĐÀO T O Ạ Đ Ề THI TUY N Ể SINH L P Ớ 10 THPT CHUYÊN CÀ MAU
NĂM HỌC 2020 – 2021
Môn thi: Toán (không chuyên) Đ Ề THI CHÍNH TH C Ứ Ngày thi: 23/7/2020 Th i ờ gian : 120 phút Bài 1. (1,0 đi m ể ) A 2 5 11 5 11 3 3 a) Tính giá tr c ị a ủ bi u ể th c ứ
x y y x x y x 0 B b) Rút g n bi ọ u t ể h c ứ xy y 0 Bài 2.(1,0 đi m ể ) a) Gi i ả h ph ệ ư ng t ơ rình: 4 2
3x x 10 0 3
x 2 y 4 b) Gi i ả h ph ệ ư ng t ơ
rình : 4x y 13 3 P 2 : y x Bài 3.(1,5 đi m ể ) Cho Parabol 2 a) Vẽ đồ th ị P b) Tìm m đ đ ể ư ng t ờ h ng
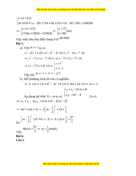
ẳ d : y x m c t ắ P t i ạ hai đi m ể phân bi t ệ Bài 4.(1,5 đi m ể ) V a ừ qua, chính ph đã đi ủ u ch ề ỉnh gi m
ả 10% giá bán lẻ điện t b ừ c ậ 1 đ n b ế ậc 4 cho khách hàng s d ử ng ụ đi n s ệ inh ho t ạ b ị nh h ả ư ng ở b i ở d ch C ị ovid – 19 trong ba tháng 4,5,6 c a ủ năm 2020. C t ụ h nh ể s ư au: GIÁ BÁN ĐI N Ệ (đã làm trò đ n đ ế n v ơ đ ị ng/ ồ kWh) BẬC Tháng 3 Tháng 4 (trư c ớ đi u ch ề nh) ỉ (sau đi u ch ề ỉnh) B c 1: ậ Cho kWh t 0 – 50 ừ 1678 đồng/kWh 1510 đồng/kWh B c 2: ậ Cho kWh t 51 – 100 ừ 1734 đồng/kWh 1561 đồng/kWh B c 3: ậ Cho kWh t 101 – 200 ừ 2014 đồng/kWh 1813 đồng/kWh B c 4: ậ Cho kWh t 201 – 300 ừ 2536 đồng/kWh 2282 đồng/kWh B c 5: ậ Cho kWh t 301 – 400 ừ 2834 đồng/kWh 2834 đồng/kWh
B c 6: ậ Cho kWh t 401 t ừ rở lên 2927 đồng/kWh 2927 đồng/kWh D a ự vào các số li u c ệ a ủ b ng t ả rên, hãy gi i ả bài toán sau: Gia đình c a ủ dì Năm Hu đa t ệ r t ả ng c ổ ng ộ 249580 đồng ti n đi ề ện sinh ho t ạ cho h t ế
tháng 3 và tháng 4 năm 2020. Bi t ế r ng t ằ
rong hai tháng đó gia đình dì Năm Hu t ệ iêu th h ụ t
ế 155 kWh và mỗi tháng m c ứ đi n t ệ iêu th ch ụ a ư đ n 100 kWh nh ế ng l ư n ớ h n ơ 50 kWh. Hãy tính xem đi n t ệ iêu th t ụ rong tháng 4 c a ủ gia đình dì Năm Hu l ệ à bao nhiêu kWh ? 2 2 Bài 5.(1,5 đi m ể ) Cho phư ng t ơ
rình : x 2 m 4 x m 8 0 (m:tham số) a) Gi i ả phư ng t ơ rình khi m 1 b) Tìm m đ ph ể ư ng t ơ rình đã cho có hai nghi m ệ x , x
A x x 3x x 1 2 và 1 2 1 2 đ t ạ giá trị l n nh ớ ất, tìm giá tr l ị n ớ nh t ấ đó Bài 6.
Câu 1.Cho tam giác ABC có các góc đ u nh ề n. ọ Vẽ các đư ng cao ờ BD,CE c a t ủ am giác ABC.G i ọ H là giao đi m ể c a ủ BD,CE a) Ch ng ứ minh t gi ứ ác ADHE n i ộ ti p đ ế ược đư ng t ờ ròn b) Ch ng ứ minh r ng: ằ DE.AC BC .AE c) G i ọ O là tâm đư ng t ờ ròn ngo i ạ ti p t ế am giác ABC.Ch ng ứ minh r ng ằ OA DE Câu 2. Tàu ng m ầ đang t ở rên m t ặ bi n b ể ng đ ỗ t ộ ng t ộ l n ặ xu ng t ố heo phư ng ơ t o ạ v i ớ m t ặ nư c bi ớ n m ể t ộ góc 0 20 a) N u ế tàu chuy n đ ể ng t ộ heo phư ng ơ l n xu ặ ng ố 400m thì nó đ ở s ộ âu bao nhiêu mét b) Tàu ph i ả ch y bao nhi ạ êu mét đ đ ể t ạ đ n đ ế s ộ âu 1000m? (Lầm tròn k t ế quả đ n m ế ét)
ĐÁP ÁN Bài 1. a A 2 ) 5 11 5 11 3 5 25
11 9 6 5 5 6 5
x y y x x y x 0 xy
x y x y b)B x y xy y 0 xy Bài 2. 4 2
a) 3x x 10 0 Đ t ặ 2
t x , phư ng t ơ rình thành: 2 2
3t t 10 0
3t 6t 5t 10 0
3t t 2 5 t 2 0 t 2 (tm)
t 2 3t 5 0 5 x 2 t (ktm) 3 3
x 2 y 4 3
x 2 y 4 11 x 22 x 2 b) 4x y 13 8x 2y 26 y 4x 13 y 5 V y ậ ; x y 2; 5 Bài 3. a) H c ọ sinh t v ự par ẽ abol (P) b) Để (d) c t ắ (P) t i ạ hai đi m ể phân bi t ệ 3 2
x x m 1 phư ng
ơ trình hoành độ giao đi m ể 2 có hai nghiệm phân bi t ệ Ta có 2
1 3x 2x 2m 0 1 ' 1
6m 0 m 6 1 m V y ậ 6 Bài 4. G i ọ m c t ứ iêu th t ụ háng 3 và tháng 4 c a ủ nhà đó l n l ầ ư t ợ là a,b( W
k h,50 a,b 100) Theo bài ra ta có h : ệ
a b 1 55 5
0.1678 a 50.1734 50.1510 b 50.1561 2 49580 a b 1 55 a 7 5 (tm) 1734a 1961b 2 54930 b 8 0 V y ậ m c t ứ iêu th đi ụ n t ệ háng 4 là 80 W k h Bài 5. a) V i ớ m 1ta có:
x 2 1 4 x 2 2 2 1 8 0
x 6x 7 0 2
x 7x x 7 0
x x 7 x 7 0 x 7
x 7 x 1 0 x 1 V y
ậ khi m 1 S 1; 7 b) Để phư ng t ơ rình đã cho có nghi m ệ
m 2 2 ' 0 4 m 8 0 8m 24 0 m 3 x x 2 m 4 1 2 2 Áp d ng ụ h t ệ h c
ứ Vi – et ta có: x x m 8 1 2 . Ta có:
A x x 3x x 2
m 4 3 2 m 8 1 2 1 2 2 1 1 2
3m 2m 32 3 m 32 3 3 2 1 1 97 m 0 m 3 A 3 2 Do 3 3 3 97 1 MaxA m (tmdk) V y ậ 3 3 Bài 6. Câu 1.
Đề thi vào 10 môn Toán tỉnh Cần Thơ (Hệ không chuyên) năm 2021
496
248 lượt tải
MUA NGAY ĐỂ XEM TOÀN BỘ TÀI LIỆU
CÁCH MUA:
- B1: Gửi phí vào TK:
1133836868- CT TNHH DAU TU VA DV GD VIETJACK - Ngân hàng MB (QR) - B2: Nhắn tin tới Zalo VietJack Official ( nhấn vào đây ) để xác nhận thanh toán và tải tài liệu - giáo án
Liên hệ ngay Hotline hỗ trợ: 084 283 45 85
Đề thi được cập nhật liên tục trong gói này từ nay đến hết tháng 6/2023. Chúng tôi đảm bảo đủ số lượng đề đã cam kết hoặc có thể nhiều hơn, tất cả có BẢN WORD, LỜI GIẢI CHI TIẾT và tải về dễ dàng.
Để tải tài liệu gốc về máy bạn click vào nút Tải Xuống ở trên!
Thuộc bộ (mua theo bộ để tiết kiệm hơn):
- Tailieugiaovien.com.vn giới thiệu bộ 69 đề thi vào 10 môn Toán hệ không chuyên mới nhất năm 2021 nhằm giúp Giáo viên có thêm tài liệu tham khảo đề luyện thi Toán ôn luyện vào 1
- File word có lời giải chi tiết 100%.
- Mua trọn bộ sẽ tiết kiệm hơn tải lẻ 50%.
Đánh giá
4.6 / 5(496 )5
4
3
2
1
Trọng Bình
Tài liệu hay
Giúp ích cho tôi rất nhiều
Duy Trần
Tài liệu chuẩn
Rất thích tài liệu bên VJ soạn (bám sát chương trình dạy)
TÀI LIỆU BỘ BÁN CHẠY MÔN Toán Học
Xem thêmTÀI LIỆU BỘ BÁN CHẠY Ôn vào 10
Xem thêmTài liệu bộ mới nhất

Đây là bản xem thử, vui lòng mua tài liệu để xem chi ết (có lời giải)
S GIÁO D C VÀ ĐÀO T OỞ Ụ Ạ
CÀ MAU
Đ THI CHÍNH TH C Ề Ứ
Đ THI TUY N SINH L P 10 THPT CHUYÊNỀ Ể Ớ
NĂM H C 2020 – 2021 Ọ
Môn thi: Toán (không chuyên)
Ngày thi: 23/7/2020
Th i gian : 120 phút ờ
Bài 1. (1,0 đi m)ể
a) Tính giá tr c a bi u th c ị ủ ể ứ
2
5 11 5 11 3 3A
b) Rút g n bi u th c ọ ể ứ
0
0
x y y x x y
x
B
y
xy
Bài 2.(1,0 đi m)ể
a) Gi i h ph ng trình: ả ệ ươ
4 2
3 10 0x x
b) Gi i h ph ng trình : ả ệ ươ
3 2 4
4 13
x y
x y
Bài 3.(1,5 đi m) ể Cho Parabol
2
3
:
2
P y x
a) V đ th ẽ ồ ị
P
b) Tìm
m
đ đ ng th ng ể ườ ẳ
:d y x m
c t ắ
P
t i hai đi m phân bi t ạ ể ệ
Bài 4.(1,5 đi m) ể V a qua, chính ph đã đi u ch nh gi m ừ ủ ề ỉ ả
10%
giá bán l đi n t b c ẻ ệ ừ ậ
1 đ n b c 4 cho khách hàng s d ng đi n sinh ho t b nh h ng b i d ch Covid – ế ậ ử ụ ệ ạ ị ả ưở ở ị
19 trong ba tháng 4,5,6 c a năm 2020. C th nh sau:ủ ụ ể ư
B CẬ
GIÁ BÁN ĐI NỆ
(đã làm trò đ n đ n v đ ng/kWh)ế ơ ị ồ
Tháng 3
(tr c đi u ch nh)ướ ề ỉ
Tháng 4
(sau đi u ch nh)ề ỉ
B c 1: Cho kWh t 0 – 50 ậ ừ 1678 đ ng/kWhồ 1510 đ ng/kWhồ
B c 2: Cho kWh t 51 – 100 ậ ừ 1734 đ ng/kWhồ 1561 đ ng/kWhồ
B c 3: Cho kWh t 101 – 200ậ ừ 2014 đ ng/kWhồ 1813 đ ng/kWhồ
B c 4: Cho kWh t 201 – 300 ậ ừ 2536 đ ng/kWhồ 2282 đ ng/kWhồ
B c 5: Cho kWh t 301 – 400 ậ ừ 2834 đ ng/kWhồ 2834 đ ng/kWhồ
Mọi thắc mắc vui lòng xin liên hệ hotline: 084 283 45 85

Đây là bản xem thử, vui lòng mua tài liệu để xem chi ết (có lời giải)
B c 6: Cho kWh t 401 tr lênậ ừ ở 2927 đ ng/kWhồ 2927 đ ng/kWhồ
D a vào các s li u c a b ng trên, hãy gi i bài toán sau:ự ố ệ ủ ả ả
Gia đình c a dì Năm Hu đa tr t ng c ng ủ ệ ả ổ ộ
249580
đ ng ti n đi n sinh ho t cho h t ồ ề ệ ạ ế
tháng 3 và tháng 4 năm 2020. Bi t r ng trong hai tháng đó gia đình dì Năm Hu tiêu ế ằ ệ
th h t 155 kWh và m i tháng m c đi n tiêu th ch a đ n 100 kWh nh ng l n h n ụ ế ỗ ứ ệ ụ ư ế ư ớ ơ
50 kWh. Hãy tính xem đi n tiêu th trong tháng 4 c a gia đình dì Năm Hu là bao ệ ụ ủ ệ
nhiêu kWh ?
Bài 5.(1,5 đi m) ể Cho ph ng trình : ươ
2 2
2 4 8 0x m x m
(
:m
tham s )ố
a) Gi i ph ng trình khi ả ươ
1m
b) Tìm
m
đ ph ng trình đã cho có hai nghi m ể ươ ệ
1 2
,x x
và
1 2 1 2
3A x x x x
đ t giá ạ
tr l n nh t, tìm giá tr l n nh t đó ị ớ ấ ị ớ ấ
Bài 6.
Câu 1.Cho tam giác
ABC
có các góc đ u nh n. V các đ ng cao ề ọ ẽ ườ
,BD CE
c a tam ủ
giác
.ABC
G i ọ
H
là giao đi m c a ể ủ
,BD CE
a) Ch ng minh t giác ứ ứ
ADHE
n i ti p đ c đ ng trònộ ế ượ ườ
b) Ch ng minh r ng: ứ ằ
. .DE AC BC AE
c) G i O là tâm đ ng tròn ngo i ti p tam giác ọ ườ ạ ế
.ABC
Ch ng minh r ng ứ ằ
OA DE
Câu 2. Tàu ng m đang trên m t bi n b ng đ t ng t l n xu ng theo ph ng t o ầ ở ặ ể ỗ ộ ộ ặ ố ươ ạ
v i m t n c bi n m t góc ớ ặ ướ ể ộ
0
20
a) N u tàu chuy n đ ng theo ph ng l n xu ng ế ể ộ ươ ặ ố
400m
thì nó đ sâu bao nhiêu ở ộ
mét
b) Tàu ph i ch y bao nhiêu mét đ đ t đ n đ sâu ả ạ ể ạ ế ộ
1000 ?m
(L m tròn k t qu đ n mét)ầ ế ả ế
Mọi thắc mắc vui lòng xin liên hệ hotline: 084 283 45 85

Đây là bản xem thử, vui lòng mua tài liệu để xem chi ết (có lời giải)
ĐÁP ÁN
Bài 1.
2
) 5 11 5 11 3 5 25 11 9 6 5 5 6 5
0
)
0
a A
x y y x x y xy x y x y
x
b B x y
y
xy xy
Bài 2.
4 2
) 3 10 0a x x
Đ t ặ
2
t x
, ph ng trình thành:ươ
2 2
3 10 0 3 6 5 10 0 3 2 5 2 0
2( )
2 3 5 0 2
5
( )
3
t t t t t t t t
t tm
t t x
t ktm
3 2 4 3 2 4 11 22 2
)
4 13 8 2 26 4 13 5
x y x y x x
b
x y x y y x y
V y ậ
; 2; 5x y
Bài 3.
a) H c sinh t v parabol (P)ọ ự ẽ
b) Đ (d) c t (P) t i hai đi m phân bi t ể ắ ạ ể ệ
ph ng trình hoành đ giao đi m ươ ộ ể
2
3
1
2
x x m
có hai nghi m phân bi tệ ệ
Ta có
2
1 3 2 2 0x x m
1
' 1 6 0
6
m m
V y ậ
1
6
m
Bài 4.
G i m c tiêu th tháng 3 và tháng 4 c a nhà đó l n l t là ọ ứ ụ ủ ầ ượ
, ( W ,50 , 100)a b k h a b
Theo bài ra ta có h :ệ
Mọi thắc mắc vui lòng xin liên hệ hotline: 084 283 45 85

Đây là bản xem thử, vui lòng mua tài liệu để xem chi ết (có lời giải)
155
50.1678 50 .1734 50.1510 50 .1561 249580
155 75
( )
1734 1961 254930 80
a b
a b
a b a
tm
a b b
V y m c tiêu th đi n tháng 4 là ậ ứ ụ ệ
80 Wk h
Bài 5.
a) V i ớ
1m
ta có:
2
2 2
2
2 1 4 1 8 0 6 7 0
7 7 0 7 7 0
7
7 1 0
1
x x x x
x x x x x x
x
x x
x
V y khi ậ
1 1;7m S
b) Đ ph ng trình đã cho có nghi m ể ươ ệ
2
2
' 0 4 8 0 8 24 0 3m m m m
Áp d ng h th c Vi – et ta có: ụ ệ ứ
1 2
2
1 2
2 4
8
x x m
x x m
. Ta có:
2
1 2 1 2
2
2
3 2 4 3 8
1 1
3 2 32 3 32
3 3
A x x x x m m
m m m
Do
2
1 1 97
0 3 32
3 3 3
m m A
V y ậ
97 1
( )
3 3
MaxA m tmdk
Bài 6.
Câu 1.
Mọi thắc mắc vui lòng xin liên hệ hotline: 084 283 45 85

Đây là bản xem thử, vui lòng mua tài liệu để xem chi ết (có lời giải)
a) Theo gi thi t, ta có: ả ế
0
90AEH ADH
t u giác ứ
ADHE
n i ti p đ ng trònộ ế ườ
b) Vì
0
90 ( )BDC BEC gt
và cùng nhìn c nh BC nên ạ
BEDC
là t giác n i ti pứ ộ ế
0 0
180 180BED BCD BCA BCD BED DEA
Xét
AED
và
ACB
có:
DAE
chung;
( )DEA BCA cmt
( . ) . . ( )
AE AC
AED ACB g g DE AC BC AE dfcm
DE BC
c) G i ọ
OA ED F
Ta có:
0 0
180 180 1AFD FAD FDA OAC EDA
Xét
OAC
có
OA OC OAC
cân t i Oạ
0
0
180
90 2
2
AOC
OAC ABC
L i có: ạ
EDA ABC
(do
) 3AED ACB
T (1), (2), (3) ừ
0 0 0
180 90 90AFD ABC ABC
Mọi thắc mắc vui lòng xin liên hệ hotline: 084 283 45 85
