SỞ GIÁO D C Ụ VÀ ĐÀO T O Ạ Đ Ề THI TUY N Ể SINH L P Ớ 10 THPT CAO B N Ằ G NĂM H C Ọ 2020-2021 ĐỀ CHÍNH TH C Ứ Môn Toán Th i
ờ gian làm bài : 120 phút Câu 1. (4,0 đi m ể ) 1) Th c hi ự n phép t ệ ính: 5 9 3 4 2) Tìm a đ đ ể ồ th hàm ị số y a
x 5 đi qua đi m ể M 3; 1 3) Gi i ả h ph ệ ư ng t ơ rình: 2 2x 3x 1 0 4x 5 y 3 4) Gi i ả h ph ệ ư ng t ơ
rình: x 3y 5 Câu 2. (2,0 đi m ể ) Bác An đi x ô tô t C ừ ao B ng ằ đ n H ế i ả Phòng. Sau khi đi đư c ợ n a quãng ử đư ng, ờ bác An cho xe tăng v n t
ậ ốc thêm 5km / h nên th i ờ gian đi n a quãng ử đư ng ờ sau ít h n t ơ h i ờ gian đi n a quãng đ ử ư ng đ ờ u l ầ à 30 phút. H i ỏ lúc đ u bác ầ An đi xe v i ớ v n t ậ ốc bao nhiêu ? Bi t ế r ng kho ằ ng cách ả t C ừ ao B ng đ ằ n ế H i ả Phòng là 360k . m Câu 3. (1,0 đi m ể )
Cho tam giác ABC vuông t i ạ . A Bi t ế AB 6 cm, AC 8 c . m a) Tính đ dài ộ c nh ạ BC b) Kẻ đư ng
ờ cao AH.Tính đ dài ộ đo n ạ AH Câu 4. (2.0 đi m ể ) Qua đi m ể A n m ằ ngoài đư ng
ờ tròn O vẽ hai ti p t ế uy n
ế AB và AC c a ủ đư ng
ờ tròn (B,C là các ti p đi ế m ể ) a) Ch ng ứ minh ABOC là t gi ứ ác n i ộ ti p ế b) Kẻ đư ng ờ th ng qua di ẳ m ể A c t ắ đư ng t ờ ròn O t i ạ hai đi m ể E và F sao cho E n m ằ gi a ữ A và F. Ch ng m ứ inh BE.CF BF .CE Câu 5. (1,0 đi m ể )
1 A Tìm giá trị nh nh ỏ ất, giá tr l ị n nh ớ t ấ c a bi ủ u t ể h c ứ 2 2 3 x ĐÁP ÁN Bài 1. 1) Ta có: 5 9 3 4 5 .3 3.2 1 5 6 9 2) Vì đồ th hàm ị s ố y a
x 5 đi qua đi m ể M 3; 1 nên thay x 3 , y 1 vào hàm số y a x 5 ta đư c: ợ 1 .
a 3 5 3a 6 a 2 V y ậ a 2 3) Ta có: 2 2x 3x 1 0 x 1 1 x Phư ng ơ trình trên có d ng ạ
a b c 0 nên có hai nghi m ệ 2 1 x 1 ; x V y ậ phư ng t ơ rình đã cho có hai nghi m ệ 2 4) Ta có: 4x 5 y 3 4x 5 y 3 17 y 17 y 1 x 2 x 3y 5 4x 12 y 20 x 3 y 5 x 3. 1 5 y 1 V y ậ h ph ệ ư ng t ơ rình có nghi m ệ duy nh t ấ ; x y 2; 1 Bài 2. G i ọ v n t ậ ốc lúc đ u c ầ a bác ủ
An đi là x km / h x 0 N a ử quãng đư ng đ ờ u và n ầ a ử quãng đư ng s ờ au đ u dài ề : 360 : 2 1 80(k ) m 180 Th i
ờ gian bác An đi n a quãng đ ử ư ng ờ đ u l ầ à x (gi ) ờ Trên n a quãng đ ử ư ng ờ sau, bác An đi v i ớ v n t ậ c l
ố à x 5 km / h
180 Th i
ờ gian bác An đi n a quãng đ ử ư ng
ờ sau là x 5 (gi ) ờ Vì th i ờ gian đi n a ử quãng đư ng s ờ au ít h n t ơ h i ờ gian đi n a quãng ử đư ng đ ờ u l ầ à 1 30 phút 2 gi nên ờ ta có phư ng t ơ rình 180 180 1
180 x 5 180x 1
180x 900 180x 1 x x 5 2 x x 5 2 2 x 5x 2 900 1 2 2
x 5x 18
00 x 5x 1800 0 2 x 5x 2 2 5 4. 1800 7 225 85 5 85 x 45(ktm) 1 2 5 85 x 40( tm) 2 Nên phư ng t ơ rình có hai nghi m ệ 2 V y ậ lúc đ u bác ầ An đi v i ớ v n ậ t c ố 40km / h Bài 3.
a) Xét AB C vuông t i ạ ,
A theo định lý Pytago ta có: 2 2 2 2 2 2
BC AB AC BC 6 8 1 00 BC 100 10( c ) m V y ậ BC 1 0cm b) Xét AB C vuông t i ạ , A có chi u cao ề AH , theo hệ th c l ứ ư ng t ợ rong tam A . B AC 6.8
AH.BC A . B AC AH 4 ,8 cm giác vuông, ta có : BC 10 V y ậ AH 4 ,8cm Bài 4. a) AB là ti p t ế uy n v ế i ớ O nên 0
OB AB OBA 9 0 AC là ti p t ế uy n v ế i ớ O nên 0
OC AC OCA 9 0 T gi ứ ác ABOC có 0 0 0 OBA ACO 9 0 90 1 80 0 Do đó ABOC là t gi ứ ác n i ộ ti p ( ế tứ giác có t ng hai ổ góc đ i ố b ng ằ 180 ) b) Xét ABE và AFB có: A chung ;
ABE AFC (cùng ch n ắ cung BE)
Đề thi vào 10 môn Toán tỉnh Cao Bằng (Hệ không chuyên) năm 2021
533
267 lượt tải
MUA NGAY ĐỂ XEM TOÀN BỘ TÀI LIỆU
CÁCH MUA:
- B1: Gửi phí vào TK:
1133836868- CT TNHH DAU TU VA DV GD VIETJACK - Ngân hàng MB (QR) - B2: Nhắn tin tới Zalo VietJack Official ( nhấn vào đây ) để xác nhận thanh toán và tải tài liệu - giáo án
Liên hệ ngay Hotline hỗ trợ: 084 283 45 85
Đề thi được cập nhật liên tục trong gói này từ nay đến hết tháng 6/2023. Chúng tôi đảm bảo đủ số lượng đề đã cam kết hoặc có thể nhiều hơn, tất cả có BẢN WORD, LỜI GIẢI CHI TIẾT và tải về dễ dàng.
Để tải tài liệu gốc về máy bạn click vào nút Tải Xuống ở trên!
Thuộc bộ (mua theo bộ để tiết kiệm hơn):
- Tailieugiaovien.com.vn giới thiệu bộ 69 đề thi vào 10 môn Toán hệ không chuyên mới nhất năm 2021 nhằm giúp Giáo viên có thêm tài liệu tham khảo đề luyện thi Toán ôn luyện vào 1
- File word có lời giải chi tiết 100%.
- Mua trọn bộ sẽ tiết kiệm hơn tải lẻ 50%.
Đánh giá
4.6 / 5(533 )5
4
3
2
1
Trọng Bình
Tài liệu hay
Giúp ích cho tôi rất nhiều
Duy Trần
Tài liệu chuẩn
Rất thích tài liệu bên VJ soạn (bám sát chương trình dạy)
TÀI LIỆU BỘ BÁN CHẠY MÔN Toán Học
Xem thêmTÀI LIỆU BỘ BÁN CHẠY Ôn vào 10
Xem thêmTài liệu bộ mới nhất

Đây là bản xem thử, vui lòng mua tài liệu để xem chi ết (có lời giải)
S GIÁO D C VÀ ĐÀO T O Ở Ụ Ạ
CAO B NGẰ
Đ CHÍNH TH C Ề Ứ
Đ THI TUY N SINH L P 10 THPT Ề Ể Ớ
NĂM H C 2020-2021Ọ
Môn Toán
Th i gian làm bài : 120 phút ờ
Câu 1. (4,0 đi m)ể
1) Th c hi n phép tính: ự ệ
5 9 3 4
2) Tìm
a
đ đ th hàm s ể ồ ị ố
5y ax
đi qua đi m ể
3; 1M
3) Gi i h ph ng trình: ả ệ ươ
2
2 3 1 0x x
4) Gi i h ph ng trình: ả ệ ươ
4 5 3
3 5
x y
x y
Câu 2. (2,0 đi m)ể
Bác An đi x ô tô t Cao B ng đ n H i Phòng. Sau khi đi đ c n a quãng ừ ằ ế ả ượ ử
đ ng, bác An cho xe tăng v n t c thêm ườ ậ ố
5 /km h
nên th i gian đi n a quãng ờ ử
đ ng sau ít h n th i gian đi n a quãng đ ng đ u là ườ ơ ờ ử ườ ầ
30
phút. H i lúc đ u bác ỏ ầ
An đi xe v i v n t c bao nhiêu ? Bi t r ng kho ng cách t Cao B ng đ n H i ớ ậ ố ế ằ ả ừ ằ ế ả
Phòng là
360 .km
Câu 3. (1,0 đi m)ể
Cho tam giác
ABC
vuông t i ạ
.A
Bi t ế
6 , 8 .AB cm AC cm
a) Tính đ dài c nh ộ ạ
BC
b) K đ ng cao ẻ ườ
.AH
Tính đ dài đo n ộ ạ
AH
Câu 4. (2.0 đi m)ể
Qua đi m ể
A
n m ngoài đ ng tròn ằ ườ
O
v hai ti p tuy n ẽ ế ế
AB
và
AC
c a ủ
đ ng tròn ườ
( ,B C
là các ti p đi m)ế ể
a) Ch ng minh ứ
ABOC
là t giác n i ti pứ ộ ế
b) K đ ng th ng qua di m ẻ ườ ẳ ể
A
c t đ ng tròn ắ ườ
O
t i hai đi m ạ ể
E
và
F
sao
cho
E
n m gi a A và F. Ch ng minh ằ ữ ứ
. .BE CF BF CE
Câu 5. (1,0 đi m)ể
Mọi thắc mắc vui lòng xin liên hệ hotline: 084 283 45 85

Đây là bản xem thử, vui lòng mua tài liệu để xem chi ết (có lời giải)
Tìm giá tr nh nh t, giá tr l n nh t c a bi u th c ị ỏ ấ ị ớ ấ ủ ể ứ
2
1
2 3
A
x
ĐÁP ÁN
Bài 1.
1) Ta có:
5 9 3 4 5.3 3.2 15 6 9
2) Vì đ th hàm s ồ ị ố
5y ax
đi qua đi m ể
3; 1M
nên thay
3, 1x y
vào
hàm s ố
5y ax
ta đ c: ượ
1 .3 5 3 6 2a a a
V y ậ
2a
3) Ta có:
2
2 3 1 0x x
Ph ng trình trên có d ng ươ ạ
0a b c
nên có hai nghi m ệ
1
1
2
x
x
V y ph ng trình đã cho có hai nghi m ậ ươ ệ
1
1;
2
x x
4) Ta có:
1
4 5 3 4 5 3 17 17 2
3. 1 5
3 5 4 12 20 3 5 1
y
x y x y y x
x
x y x y x y y
V y h ph ng trình có nghi m duy nh t ậ ệ ươ ệ ấ
; 2; 1x y
Bài 2.
G i v n t c lúc đ u c a bác An đi là ọ ậ ố ầ ủ
/ 0x km h x
N a quãng đ ng đ u và n a quãng đ ng sau đ u dài : ử ườ ầ ử ườ ề
360 : 2 180( )km
Th i gian bác An đi n a quãng đ ng đ u là ờ ử ườ ầ
180
x
(gi )ờ
Trên n a quãng đ ng sau, bác An đi v i v n t c là ử ườ ớ ậ ố
5 /x km h
Mọi thắc mắc vui lòng xin liên hệ hotline: 084 283 45 85

Đây là bản xem thử, vui lòng mua tài liệu để xem chi ết (có lời giải)
Th i gian bác An đi n a quãng đ ng sau là ờ ử ườ
180
5x
(gi )ờ
Vì th i gian đi n a quãng đ ng sau ít h n th i gian đi n a quãng đ ng đ u làờ ử ườ ơ ờ ử ườ ầ
30
phút
1
2
gi nên ta có ph ng trìnhờ ươ
2
180 5 180
180 180 1 1 180 900 180 1
5 2 5 2 5 2
x x
x x
x x x x x x
2 2
2
2
900 1
5 1800 5 1800 0
5 2
5 4. 1800 7225 85
x x x x
x x
Nên ph ng trình có hai nghi m ươ ệ
1
2
5 85
45( )
2
5 85
40( )
2
x ktm
x tm
V y lúc đ u bác An đi v i v n t c ậ ầ ớ ậ ố
40 /km h
Bài 3.
Mọi thắc mắc vui lòng xin liên hệ hotline: 084 283 45 85

Đây là bản xem thử, vui lòng mua tài liệu để xem chi ết (có lời giải)
a) Xét
ABC
vuông t i ạ
,A
theo đ nh lý Pytago ta có:ị
2 2 2 2 2 2
6 8 100 100 10( )BC AB AC BC BC cm
V y ậ
10BC cm
b) Xét
ABC
vuông t iạ
,A
có chi u cao ề
,AH
theo h th c l ng trong tam ệ ứ ượ
giác vuông, ta có :
. 6.8
. . 4,8
10
AB AC
AH BC AB AC AH cm
BC
V y ậ
4,8AH cm
Bài 4.
a)
AB
là ti p tuy n v i ế ế ớ
O
nên
0
90OB AB OBA
AC
là ti p tuy n v i ế ế ớ
O
nên
0
90OC AC OC A
T giác ứ
ABOC
có
0 0 0
90 90 180OBA ACO
Do đó
ABOC
là t giác n i ti p (t giác có t ng hai góc đ i b ng ứ ộ ế ứ ổ ố ằ
0
180 )
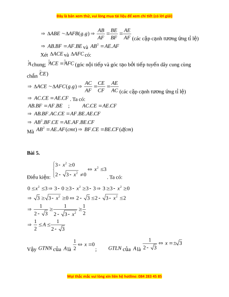
b) Xét
ABE
và
AFB
có:
A
chung ;
ABE AFC
(cùng ch n cung ắ
)BE
Mọi thắc mắc vui lòng xin liên hệ hotline: 084 283 45 85

Đây là bản xem thử, vui lòng mua tài liệu để xem chi ết (có lời giải)
( . )
AB BE AE
ABE AFB g g
AF BF AF
(các c p c nh t ng ng t l )ặ ạ ươ ứ ỉ ệ
. .AB BF AF BE
và
2
.AB AE AF
Xét
ACE
và
AFC
có:
A
chung;
ACE AFC
(góc n i ti p và góc t o b i ti p tuy n dây cung cùng ộ ế ạ ở ế ế
ch n ắ
)CE
( . )
AC CE AE
ACE AFC g g
AF CF AC
(các c p c nh t ng ng t l )ặ ạ ươ ứ ỉ ệ
. .AC CE AE CF
. Ta có:
2
. . ; . .
. . . . . .
. . . . .
AB BF AF BE AC CE AE CF
AB BF AC CE AF BE AE CF
AB BF CE AE AF BE CF
Mà
2
. ( ) . . ( )AB AE AF cmt BF CE BE CF dfcm
Bài 5.
Đi u ki n: ề ệ
2
2
2
3 0
3
2 3 0
x
x
x
. Ta có:
2 2 2
2 2
2
0 3 3 0 3 3 3 3 3 0
3 3 0 2 3 2 3 2
1 1 1
2
2 3
2 3
1 1
2
2 3
x x x
x x
x
A
V y ậ
GTNN
c a ủ
A
là
1
0
2
x
;
GTLN
c a ủ
A
là
1
3
2 3
x
Mọi thắc mắc vui lòng xin liên hệ hotline: 084 283 45 85
