SỞ GIÁO D C Ụ VÀ ĐÀO T O Ạ KỲ THI TUY N Ể SINH L P Ớ 10 THÀNH PH Đ Ố À N N Ẵ G TRUNG H C Ọ PH Ổ THÔNG NĂM H C Ọ 2020 – 2021 MÔN THI: TOÁN Đ C Ề HÍNH TH C Ứ Th i ờ gian:120 phút Bài 1. (2,0 đi m ể ) a) Tính giá tr c ị a ủ bi u ể th c
ứ A 3 12 27 36 2 1
3 x 5 x 0 B x 1 x
x. x 1 x 1 b) Cho bi u t ể h c ứ . Rút g n bi ọ u t ể h c B ứ và tìm x đ ể B 2 Bài 2. (1,5 đi m ể ) 1 2 y x Cho hàm số 2 a) Vẽ đồ th ị P c a hàm ủ số đã cho b) Đư ng ờ th ng ẳ y 8 c t
ắ đồ th ị P t i ạ hai đi m ể phân bi t
ệ A và B,trong đó đi m ể B có hoành đ d ộ ư ng. ơ G i ọ H là chân đư ng ờ cao h t ạ ừ A c a ủ tam giác OAB , v i ớ O là gốc t a ọ đ . ộ Tính di n t
ệ ích tam giác AHB (đ n ơ vi đo trên các tr c ụ là xentimet) Bài 3. (1,5 đi m ể ) a) Gi i ả phư ng t ơ rình: 2
3x 7x 2 0 b) Bi t ế r ng ph ằ ư ng t ơ rình 2
x 19x 7 0
có hai nghiệm là x , x , 1 2 không gi i ả phư ng
ơ trình, hãy tính giá tr bi ị u ể th c: ứ
P x 2x 38x x x 32 x 2x 38x x x 32 2 2 120 2 1 1 1 2 1 2 2 1 2 Bài 4. (2,0 đi m ể ) a) M t ộ số t nhi ự ên nhỏ h n bì ơ nh phư ng c ơ a ủ nó là 20 đ n v ơ . ị Tìm s t ố nhi ự ên đó b) Quãng đư ng ờ AB gồm m t ộ đo n ạ lên dốc và m t ộ đo n ạ xu ng d ố c. M ố t ộ ngư i ờ đi xe đ p ạ t ừ A đ n B ế h t ế 16 phút và đi t ừ B v ề A h t ế 14 phút. Bi t ế v n t ậ ốc lúc
lên dốc là 10km / h , v n ậ tốc lúc xu ng d ố c l
ố à 15km / h (v n t ậ ốc lên dốc, xuống dốc lúc đi và v l ề à nh nhau ư ). Tính quãng đư ng ờ AB Bài 5. (3,0 đi m ể ) Cho tam giác ABC n i ộ ti p t ế rong đư ng
ờ tròn tâm O đư ng ờ kính A . B Trên cung nhỏ BC c a đ ủ ư ng ờ tròn (O) l y đi ấ m
ể D (không trùng v i ớ B và C). G i ọ H là chân đư ng ờ vuông góc k t ẻ C ừ đ n
ế AB H AB và E là giao đi m ể c a ủ CH v i ớ AD a) Ch ng ứ minh r ng t ằ gi ứ ác BDEH là t gi ứ ác n i ộ ti p ế b) Ch ng ứ minh r ng ằ 2
AB AE.AD BH.BA
c) Đư ng ờ th ng qua ẳ E song song v i ớ AB,c t ắ BC t i ạ F.Ch ng ứ minh r ng: ằ 0 CDF 9 0 và đư ng ờ tròn ngo i ạ ti p t
ế am giác OBD đi qua trung đi m ể c a đo ủ n ạ CF.
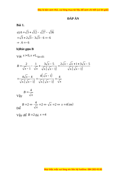
ĐÁP ÁN Bài 1.
a)A 3 12 27 36
3 2 3 3 3 6 6 A 6 b)Rút g n B ọ V i ớ x 0, x 1 , ta có: 2 1 3 x 5 2 x
x 1 3 x 5 B x 1 x x. x 1 x. x 1 4 x x 1 4 4 4 x. x 1 x. x 1 x 4 B V y ậ x 4 B 2 2 x 2 x 4 tm Để x V y ậ đ ể B 2 thì x 4
Bài 2. a) H c ọ sinh t v ự đ ẽ t ồ h ( ị P) b) Tính di n t
ệ ích tam giác AHB Xét phư ng
ơ trình hoành độ giao đi m ể c a ( ủ P) và đư ng ờ th ng ẳ y 8 ta có: 1 x 4 A 4;8 2 x 8 x 16 2
x 4 B(4;8) (do B có hoành đ d ộ ư ng) ơ G i ọ K là giao đi m ể c a đ ủ ư ng ờ th ng ẳ y 8 v i ớ tr c t
ụ ung K 0;8 Ta có: A OB cân t i
ạ O, có OK AB,OK 8 c , m AB 8 cm 1 1 2 S
OK.AB .8.8 32( cm ) OAB 2 2 Áp d ng ụ đ nh l ị ý Pytago cho O BK vuông t i ạ K ta có:
Đề thi vào 10 môn Toán tỉnh Đà Nẵng (Hệ không chuyên) năm 2021
451
226 lượt tải
MUA NGAY ĐỂ XEM TOÀN BỘ TÀI LIỆU
CÁCH MUA:
- B1: Gửi phí vào TK:
1133836868- CT TNHH DAU TU VA DV GD VIETJACK - Ngân hàng MB (QR) - B2: Nhắn tin tới Zalo VietJack Official ( nhấn vào đây ) để xác nhận thanh toán và tải tài liệu - giáo án
Liên hệ ngay Hotline hỗ trợ: 084 283 45 85
Đề thi được cập nhật liên tục trong gói này từ nay đến hết tháng 6/2023. Chúng tôi đảm bảo đủ số lượng đề đã cam kết hoặc có thể nhiều hơn, tất cả có BẢN WORD, LỜI GIẢI CHI TIẾT và tải về dễ dàng.
Để tải tài liệu gốc về máy bạn click vào nút Tải Xuống ở trên!
Thuộc bộ (mua theo bộ để tiết kiệm hơn):
- Tailieugiaovien.com.vn giới thiệu bộ 69 đề thi vào 10 môn Toán hệ không chuyên mới nhất năm 2021 nhằm giúp Giáo viên có thêm tài liệu tham khảo đề luyện thi Toán ôn luyện vào 1
- File word có lời giải chi tiết 100%.
- Mua trọn bộ sẽ tiết kiệm hơn tải lẻ 50%.
Đánh giá
4.6 / 5(451 )5
4
3
2
1
Trọng Bình
Tài liệu hay
Giúp ích cho tôi rất nhiều
Duy Trần
Tài liệu chuẩn
Rất thích tài liệu bên VJ soạn (bám sát chương trình dạy)
TÀI LIỆU BỘ BÁN CHẠY MÔN Toán Học
Xem thêmTÀI LIỆU BỘ BÁN CHẠY Ôn vào 10
Xem thêmTài liệu bộ mới nhất

Đây là bản xem thử, vui lòng mua tài liệu để xem chi ết (có lời giải)
S GIÁO D C VÀ ĐÀO T OỞ Ụ Ạ
THÀNH PH ĐÀ N NGỐ Ẵ
Đ CHÍNH TH C Ề Ứ
KỲ THI TUY N SINH L P 10Ể Ớ
TRUNG H C PH THÔNG NĂM H C 2020 – 2021Ọ Ổ Ọ
MÔN THI: TOÁN
Th i gian:120 phút ờ
Bài 1. (2,0 đi m)ể
a) Tính giá tr c a bi u th c ị ủ ể ứ
3 12 27 36A
b) Cho bi u th c ể ứ
0
2 1 3 5
1
1
. 1
x
x
B
x
x x
x x
. Rút g n bi u th c B và ọ ể ứ
tìm
x
đ ể
2B
Bài 2. (1,5 đi m)ể
Cho hàm s ố
2
1
2
y x
a) V đ th ẽ ồ ị
P
c a hàm s đã choủ ố
b) Đ ng th ng ườ ẳ
8y
c t đ th ắ ồ ị
P
t i hai đi m phân bi t ạ ể ệ
A
và
,B
trong đó đi m ể
B có hoành đ d ng. G i H là chân đ ng cao h t A c a tam giác ộ ươ ọ ườ ạ ừ ủ
OAB
,
v i ớ
O
là g c t a đ . Tính di n tích tam giác ố ọ ộ ệ
AHB
(đ n vi đo trên các tr c là ơ ụ
xentimet)
Bài 3. (1,5 đi m)ể
a) Gi i ph ng trình: ả ươ
2
3 7 2 0x x
b) Bi t r ng ph ng trình ế ằ ươ
2
19 7 0x x
có hai nghi m là ệ
1 2
, ,x x
không gi i ả
ph ng trình, hãy tính giá tr bi u th c:ươ ị ể ứ
2 2
2 2
2 1 1 1 2 1 2 2 1 2
2 38 3 2 38 3 120P x x x x x x x x x x
Bài 4. (2,0 đi m)ể
a) M t s t nhiên nh h n bình ph ng c a nó là 20 đ n v . Tìm s t nhiên đóộ ố ự ỏ ơ ươ ủ ơ ị ố ự
b) Quãng đ ng ườ
AB
g m m t đo n lên d c và m t đo n xu ng d c. M t ng i ồ ộ ạ ố ộ ạ ố ố ộ ườ
đi xe đ p t A đ n B h t 16 phút và đi t ạ ừ ế ế ừ
B
v A h t ề ế
14
phút. Bi t v n t c lúc ế ậ ố
lên d c là ố
10 /km h
, v n t c lúc xu ng d c là ậ ố ố ố
15 /km h
(v n t c lên d c, xu ng ậ ố ố ố
d c lúc đi và v là nh nhau). Tính quãng đ ng ố ề ư ườ
AB
Bài 5. (3,0 đi m)ể
Cho tam giác
ABC
n i ti p trong đ ng tròn tâm ộ ế ườ
O
đ ng kính ườ
.AB
Trên cung
nh ỏ
BC
c a đ ng tròn (O) l y đi m ủ ườ ấ ể
D
(không trùng v i B và C). G i ớ ọ
H
là chân
đ ng vuông góc k t C đ n ườ ẻ ừ ế
AB H AB
và
E
là giao đi m c a ể ủ
CH
v i ớ
AD
a) Ch ng minh r ng t giác ứ ằ ứ
BDEH
là t giác n i ti pứ ộ ế
b) Ch ng minh r ng ứ ằ
2
. .AB AE AD BH BA
Mọi thắc mắc vui lòng xin liên hệ hotline: 084 283 45 85

Đây là bản xem thử, vui lòng mua tài liệu để xem chi ết (có lời giải)
c) Đ ng th ng qua ườ ẳ
E
song song v i ớ
,AB
c t ắ
BC
t i ạ
.F
Ch ng minh r ng:ứ ằ
0
90CDF
và đ ng tròn ngo i ti p tam giác ườ ạ ế
OBD
đi qua trung đi m c a đo nể ủ ạ
.CF
Mọi thắc mắc vui lòng xin liên hệ hotline: 084 283 45 85

Đây là bản xem thử, vui lòng mua tài liệu để xem chi ết (có lời giải)
ĐÁP ÁN
Bài 1.
) 3 12 27 36
3 2 3 3 3 6 6
6
a A
A
b)Rút g n Bọ
V i ớ
0, 1,x x
ta có:
2 1 3 5 2 1 3 5
1
. 1 . 1
4 1
4 4 4
. 1 . 1
x x x x
B
x x
x x x x
x
x
x
x x x x
V y ậ
4
B
x
Đ ể
4
2 2 2 4B x x tm
x
V y đ ậ ể
2B
thì
4x
Mọi thắc mắc vui lòng xin liên hệ hotline: 084 283 45 85

Đây là bản xem thử, vui lòng mua tài liệu để xem chi ết (có lời giải)
Bài 2.
a) H c sinh t v đ th (P)ọ ự ẽ ồ ị
b) Tính di n tích tam giác ệ
AHB
Xét ph ng trình hoành đ giao đi m c a (P) và đ ng th ng ươ ộ ể ủ ườ ẳ
8y
ta có:
2
4 4;8
1
8 16
2
4 (4;8)
x A
x x
x B
(do B có hoành đ d ng)ộ ươ
G i ọ
K
là giao đi m c a đ ng th ng ể ủ ườ ẳ
8y
v i tr c tung ớ ụ
0;8K
Ta có:
AOB
cân t i ạ
,O
có
, 8 , 8OK AB OK cm AB cm
2
1 1
. .8.8 32( )
2 2
OAB
S OK AB cm
Áp d ng đ nh lý Pytago cho ụ ị
OBK
vuông t i K ta có:ạ
Mọi thắc mắc vui lòng xin liên hệ hotline: 084 283 45 85

Đây là bản xem thử, vui lòng mua tài liệu để xem chi ết (có lời giải)
2 2 2 2
8 4 4 5OB OK KB cm
L i có: ạ
1 1 16 5
. . .4 5 32
2 2 5
OAB
S AH OB AH AH cm
Áp d ng đ nh lý Pytago vào ụ ị
ABH
vuông t i H ta có:ạ
2
2 2 2
16 5 8 5
8
5 5
BH AB AH
2
1 1 16 5 8 5 64
. . . 12,8
2 2 5 5 5
ABH
S AH BH cm
V y di n tích tam giác ậ ệ
ABH
là
2
12,8cm
Bài 3.
a) Gi i ph ng trình : ả ươ
2
3 7 2 0x x
Ph ng trình có : ươ
2
7 4.3.2 25 0
nên ph ng trình có hai nghi m phân bi tươ ệ ệ
1
2
7 25
2
6
7 25 1
6 3
x
x
V y ph ng trình đã cho có t p nghi m ậ ươ ậ ệ
1
;2
3
S
b) Tính giá tr biêu th c ………ị ứ
Xét ph ng trình ươ
2
19 7 0x x
có
2
19 4.7 333 0
Ph ng trình có hai ươ
nghi m phân bi t ệ ệ
Áp d ng h th c Vi – ét ta có: ụ ệ ứ
1 2
1 2
19
7
x x
x x
Ta có
1 2
,x x
là hai nghi m c a ph ng trình đã cho ệ ủ ươ
2
1 1
2
2 2
19 7 0
19 7 0
x x
x x
Theo đ bài ta có:ề
Mọi thắc mắc vui lòng xin liên hệ hotline: 084 283 45 85
