111Equation Chapter 1 Section KỲ THI TUY N Ể SINH VÀO L P Ớ 10 THPT 1SỞ GIÁO D C Ụ VÀ ĐÀO T O Ạ NĂM H C Ọ 2021 – 2022 T N Ỉ H Đ C Ắ NÔNG
MÔN THI: TOÁN (KHÔNG CHUYÊN) Th i
ờ gian : 120 phút (không k t ể h i ờ gian phát đ ) ề Đ C Ề HÍNH TH C Ứ Bài 1. (2,0 đi m ể ) 2 a) Cho phư ng t ơ
rình x 5x 6 0 * Hãy xác đ nh các h ị s
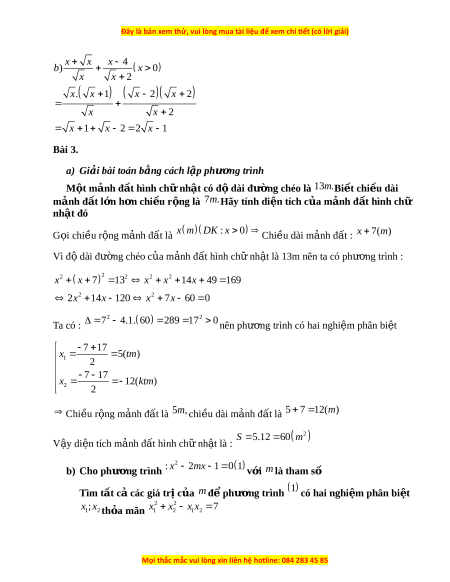
ệ ố a,b,c và gi i ả phư ng t ơ rình * x y 5 b) Gi i ả h ph ệ ư ng t ơ rình x y 1 Bài 2. (2,0 đi m ể ) Rút g n các bi ọ u t ể h c ứ a)3 2 50 8 x x x 4 b) x 0 x x 2 Bài 3. (2,0 đi m ể ) a) Gi i
ả bài toán b ng cách l ằ p ậ phư ng t ơ rình M t ộ m nh đ ả ất hình ch nh ữ t ậ có đ dài ộ đư ng ờ chéo là 13 . m Bi t ế chi u dài ề m nh ả đất l n h ớ n chi ơ u ề r ng l ộ à 7 . m Hãy tính di n t ệ ích c a m ủ nh ả đ t ấ hình ch nh ữ t ậ đó 2 b) Cho phư ng t ơ
rình : x 2mx 1 0 1 v i ớ m là tham số Tìm t t ấ cả các giá tr c ị a ủ m đ ph ể ư ng ơ trình 1 có hai nghiệm phân bi t ệ x ; x 1 2 2 2 th a
ỏ mãn x x x x 7 1 2 1 2 Bài 4. (3,0 đi m ể ) Cho n a đ ử ư ng t ờ
ròn O đư ng kí ờ nh A . B Vẽ tia ti p t ế uy n ế Ax cùng phía v i ớ n a đ ử ư ng t ờ ròn đư ng kí ờ nh A . B Lấy m t ộ đi m
ể M trên tia Ax M A .Vẽ ti p t ế uy n ế MC v i ớ n a ử đư ng t ờ ròn O t i
ạ D D B a) Ch ng ứ minh :T gi ứ ác ADME n i ộ ti p t ế rong m t ộ đư ng t ờ ròn b) Ch ng ứ minh : 2 MA M . D MB
c) Vẽ CH vuông góc v i
ớ AB H AB .Ch ng m ứ inh r ng ằ MB đi qua trung đi m ể c a ủ đo n t ạ h ng ẳ CH Bài 5. (1,0 đi m ể ) Tìm giá tr nh ị nh ỏ t ấ c a bi ủ u t ể h c ứ :
2 2 2 a b c
a,b,c 0 A
b c c a a b v i
ớ a b c 3
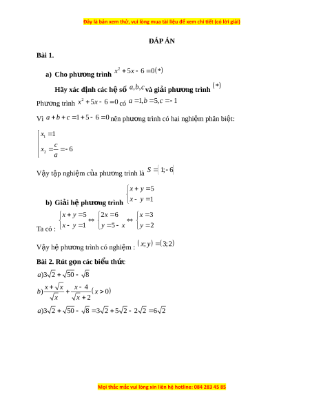
ĐÁP ÁN Bài 1. 2 a) Cho phư ng t ơ
rình x 5x 6 0 * Hãy xác đ nh các h ị s ệ
ố a,b,c và giải phư ng ơ trình * Phư ng ơ trình 2 x 5x 6 0 có a 1 ,b 5 ,c 1
Vì a b c 1 5 6 0 nên phư ng ơ trình có hai nghi m ệ phân bi t ệ : x 1 1 c x 6 2 a V y ậ t p nghi ậ m ệ c a ph ủ ư ng ơ trình là S 1; 6 x y 5 b) Giải h p ệ hư ng t ơ
rình x y 1 x y 5 2x 6 x 3
Ta có : x y 1 y 5 x y 2 V y ậ h ph ệ ư ng t ơ rình có nghi m ệ : ; x y 3;2 Bài 2. Rút g n ọ các bi u t ể h c ứ a)3 2 50 8 x x x 4 b) x 0 x x 2 a)3 2 50 8 3 2 5 2 2 2 6 2
x x x 4 b) x 0 x x 2
x. x 1 x 2 x 2 x x 2
x 1 x 2 2 x 1 Bài 3.
a) Giải bài toán b ng cách l ằ p ph ậ ư ng t ơ rình M t
ộ mảnh đất hình ch n ữ h t ậ có đ dài ộ đư ng chéo l ờ à 13 . m Bi t ế chi u d ề ài m nh đ ả t ấ l n ớ h n chi ơ u r ề ng l ộ à 7 .
m Hãy tính di n t ệ ích c a m ủ nh đ ả t ấ hình ch ữ nh t ậ đó G i ọ chi u r ề ng m ộ nh đ ả t
ấ là x m DK : x 0 Chi u dài ề m nh ả đ t ấ : x 7(m) Vì độ dài đư ng chéo c ờ a ủ m nh đ ả t ấ hình ch nh ữ t
ậ là 13m nên ta có phư ng t ơ rình :
x x 72 2 2 2 2 1
3 x x 14x 49 1 69 2 2
2x 14x 120 x 7x 60 0 2 2 Ta có : 7 4.1. 60 289 17 0 nên phư ng ơ trình có hai nghi m ệ phân bi t ệ 7 17 x 5 (tm) 1 2 7 17 x 12(kt ) m 2 2 Chi u ề r ng m ộ nh đ ả t ấ là 5m, chi u dài ề m nh ả đ t ấ là 5 7 1 2(m) 2 S 5 .12 60 m V y ậ di n t ệ ích m nh đ ả t ấ hình ch nh ữ t ậ là : 2 b) Cho phư ng t ơ
rình : x 2mx 1 0 1 v i
ớ m là tham số Tìm t t ấ cả các giá tr c ị a
ủ m đ ph ể ư ng t ơ rình 1 có hai nghi m ệ phân bi t ệ x ; x 2 2
x x x x 7 1 2 th a m ỏ ãn 1 2 1 2
Đề thi vào 10 môn Toán tỉnh Đắc Nông năm 2022
509
255 lượt tải
MUA NGAY ĐỂ XEM TOÀN BỘ TÀI LIỆU
CÁCH MUA:
- B1: Gửi phí vào TK:
1133836868- CT TNHH DAU TU VA DV GD VIETJACK - Ngân hàng MB (QR) - B2: Nhắn tin tới Zalo VietJack Official ( nhấn vào đây ) để xác nhận thanh toán và tải tài liệu - giáo án
Liên hệ ngay Hotline hỗ trợ: 084 283 45 85
Đề thi được cập nhật liên tục trong gói này từ nay đến hết tháng 6/2023. Chúng tôi đảm bảo đủ số lượng đề đã cam kết hoặc có thể nhiều hơn, tất cả có BẢN WORD, LỜI GIẢI CHI TIẾT và tải về dễ dàng.
Để tải tài liệu gốc về máy bạn click vào nút Tải Xuống ở trên!
Thuộc bộ (mua theo bộ để tiết kiệm hơn):
- Tailieugiaovien.com.vn giới thiệu bộ 63 đề thi chính thức vào 10 môn Toán năm 2022 nhằm giúp Giáo viên có thêm tài liệu tham khảo đề luyện thi Toán vào 10.
- File word có lời giải chi tiết 100%.
- Mua trọn bộ sẽ tiết kiệm hơn tải lẻ 50%.
Đánh giá
4.6 / 5(509 )5
4
3
2
1
Trọng Bình
Tài liệu hay
Giúp ích cho tôi rất nhiều
Duy Trần
Tài liệu chuẩn
Rất thích tài liệu bên VJ soạn (bám sát chương trình dạy)
TÀI LIỆU BỘ BÁN CHẠY MÔN Toán Học
Xem thêmTÀI LIỆU BỘ BÁN CHẠY Ôn vào 10
Xem thêmTài liệu bộ mới nhất

Đây là bản xem thử, vui lòng mua tài liệu để xem chi ết (có lời giải)
111Equation Chapter 1 Section
1S GIÁO D C VÀ ĐÀO T OỞ Ụ Ạ
T NH Đ C NÔNGỈ Ắ
Đ CHÍNH TH C Ề Ứ
KỲ THI TUY N SINH VÀO L P 10 THPTỂ Ớ
NĂM H C 2021 – 2022 Ọ
MÔN THI: TOÁN (KHÔNG CHUYÊN)
Th i gian : 120 phút ờ (không k th i gian phát đ )ể ờ ề
Bài 1. (2,0 đi m)ể
a) Cho ph ng trình ươ
2
5 6 0 *x x
Hãy xác đ nh các h s ị ệ ố
, ,a b c
và gi i ph ng trình ả ươ
*
b) Gi i h ph ng trình ả ệ ươ
5
1
x y
x y
Bài 2. (2,0 đi m) ể Rút g n các bi u th c ọ ể ứ
)3 2 50 8
4
) 0
2
a
x x x
b x
x x
Bài 3. (2,0 đi m) ể
a) Gi i bài toán b ng cách l p ph ng trình ả ằ ậ ươ
M t m nh đ t hình ch nh t có đ dài đ ng chéo là ộ ả ấ ữ ậ ộ ườ
13 .m
Bi t chi u dài m nh ế ề ả
đ t l n h n chi u r ng là ấ ớ ơ ề ộ
7 .m
Hãy tính di n tích c a m nh đ t hình ch nh t đóệ ủ ả ấ ữ ậ
b) Cho ph ng trình ươ
2
: 2 1 0 1x mx
v i ớ
m
là tham số
Tìm t t c các giá tr c a ấ ả ị ủ
m
đ ph ng trình ể ươ
1
có hai nghi m phân bi t ệ ệ
1 2
;x x
th a mãn ỏ
2 2
1 2 1 2
7x x x x
Bài 4. (3,0 đi m) ể Cho n a đ ng tròn ử ườ
O
đ ng kính ườ
.AB
V tia ti p tuy n ẽ ế ế
Ax
cùng
phía v i n a đ ng tròn đ ng kính ớ ử ườ ườ
.AB
L y m t đi m ấ ộ ể
M
trên tia
Ax
.M A
V ẽ
ti p tuy n ế ế
MC
v i n a đ ng tròn ớ ử ườ
O
t i D ạ
D B
a) Ch ng minh :T giác ứ ứ
ADME
n i ti p trong m t đ ng trònộ ế ộ ườ
b) Ch ng minh : ứ
2
.MA MD MB
c) V ẽ
CH
vuông góc v i ớ
.AB H AB
Ch ng minh r ng ứ ằ
MB
đi qua trung đi m ể
c a đo n th ng ủ ạ ẳ
CH
Bài 5. (1,0 đi m) ể Tìm giá tr nh nh t c a bi u th c :ị ỏ ấ ủ ể ứ
Mọi thắc mắc vui lòng xin liên hệ hotline: 084 283 45 85

Đây là bản xem thử, vui lòng mua tài liệu để xem chi ết (có lời giải)
2 2 2
a b c
A
b c c a a b
v i ớ
, , 0
3
a b c
a b c
Mọi thắc mắc vui lòng xin liên hệ hotline: 084 283 45 85

Đây là bản xem thử, vui lòng mua tài liệu để xem chi ết (có lời giải)
ĐÁP ÁN
Bài 1.
a) Cho ph ng trình ươ
2
5 6 0 *x x
Hãy xác đ nh các h s ị ệ ố
, ,a b c
và gi i ph ng trình ả ươ
*
Ph ng trình ươ
2
5 6 0x x
có
1, 5, 1a b c
Vì
1 5 6 0a b c
nên ph ng trình có hai nghi m phân bi t:ươ ệ ệ
1
2
1
6
x
c
x
a
V y t p nghi m c a ph ng trình là ậ ậ ệ ủ ươ
1; 6S
b) Gi i h ph ng trình ả ệ ươ
5
1
x y
x y
Ta có :
5 2 6 3
1 5 2
x y x x
x y y x y
V y h ph ng trình có nghi m : ậ ệ ươ ệ
; 3;2x y
Bài 2. Rút g n các bi u th c ọ ể ứ
)3 2 50 8
4
) 0
2
a
x x x
b x
x x
)3 2 50 8 3 2 5 2 2 2 6 2a
Mọi thắc mắc vui lòng xin liên hệ hotline: 084 283 45 85

Đây là bản xem thử, vui lòng mua tài liệu để xem chi ết (có lời giải)
4
) 0
2
. 1 2 2
2
1 2 2 1
x x x
b x
x x
x x x x
x x
x x x
Bài 3.
a) Gi i bài toán b ng cách l p ph ng trình ả ằ ậ ươ
M t m nh đ t hình ch nh t có đ dài đ ng chéo là ộ ả ấ ữ ậ ộ ườ
13 .m
Bi t chi u dài ế ề
m nh đ t l n h n chi u r ng là ả ấ ớ ơ ề ộ
7 .m
Hãy tính di n tích c a m nh đ t hình ch ệ ủ ả ấ ữ
nh t đóậ
G i chi u r ng m nh đ t là ọ ề ộ ả ấ
: 0x m DK x
Chi u dài m nh đ t : ề ả ấ
7( )x m
Vì đ dài đ ng chéo c a m nh đ t hình ch nh t là 13m nên ta có ph ng trình :ộ ườ ủ ả ấ ữ ậ ươ
2
2 2 2 2
2 2
7 13 14 49 169
2 14 120 7 60 0
x x x x x
x x x x
Ta có :
2 2
7 4.1. 60 289 17 0
nên ph ng trình có hai nghi m phân bi tươ ệ ệ
1
2
7 17
5( )
2
7 17
12( )
2
x tm
x ktm
Chi u r ng m nh đ t là ề ộ ả ấ
5 ,m
chi u dài m nh đ t là ề ả ấ
5 7 12( )m
V y di n tích m nh đ t hình ch nh t là : ậ ệ ả ấ ữ ậ
2
5.12 60S m
b) Cho ph ng trình ươ
2
: 2 1 0 1x mx
v i ớ
m
là tham số
Tìm t t c các giá tr c a ấ ả ị ủ
m
đ ph ng trình ể ươ
1
có hai nghi m phân bi tệ ệ
1 2
;x x
th a mãn ỏ
2 2
1 2 1 2
7x x x x
Mọi thắc mắc vui lòng xin liên hệ hotline: 084 283 45 85

Đây là bản xem thử, vui lòng mua tài liệu để xem chi ết (có lời giải)
Ph ng trình (1) có ươ
2
' 1 0m
(v i m i ớ ọ
)m
nên ph ng trình (1) luôn có hai ươ
nghi m phân bi t ệ ệ
1 2
;x x
. Khi đó áp d ng đ nh lý Vi-et ta có :ụ ị
1 2
1 2
2
1
x x m
x x
. Theo bài ra ta có :
2
2 2
1 2 1 2 1 2 1 2
2 2 2
7 3 7
4 3 7 4 4 1 1
x x x x x x x x
m m m m
V y ậ
1m
th a mãn yêu c u bài toán ỏ ầ
Bài 4.
a) Ch ng minh : T giác ứ ứ
AMDE
n i ti p trong m t đ ng tròn .ộ ế ộ ườ
Ta có
OA OC O
thu c trung tr c c a ộ ự ủ
AC
MA MC
(tính ch t hai ti p tuy n c t nhau)ấ ế ế ắ
M
thu c trung tr c c a ộ ự ủ
AC
OM
là trung tr c c a ự ủ
AC OM AC
t i Eạ
90AEM
Mọi thắc mắc vui lòng xin liên hệ hotline: 084 283 45 85
