SỞ GIÁO D C Ụ VÀ ĐÀO T O Ạ KỲ THI TUY N Ể SINH VÀO L P Ớ 10 THPT ĐAK LAK NĂM HỌC 2020-2021 Môn thi:TOÁN Đ C Ề HÍNH TH C Ứ Th i
ờ gian làm bài: 120 phút, không k phát ể đề Câu 1. (2,0 đi m) ể 2 1) Tính giá tr c ị ủa bi u t
ể hức M 4a 3a tại a 2 x 2 y 1 x 3y 2 2) Giải h ph ệ ư ng ơ trình: 2 3) Giải phư ng
ơ trình: 2x 9x 4 0
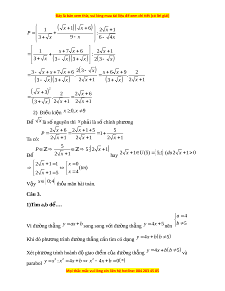
x 1 x 6 1 2 x 1 P : 3 x 9 x 6 4x Câu 2. (2,0 đi m) ể Cho biểu th c ứ 1) Tìm đi u ki ề n ệ c a ủ x để biểu th c ứ P có nghĩa và rút g n ọ P 2) Tìm các giá tr c
ị ủa x sao cho x và P là nh ng ữ s nguyê ố n Câu 3. (2,0 đi m) ể y x
1) Tìm a,b để đư ng ờ thẳ y a x b ng song song v i ớ đư ng t ờ hẳ 4 5 ng và cắt đồ 2 y x
A x ; y , B x ; y 2 2 x x 1 0 th hà ị m s ố tại hai điểm 1 1
2 2 phân bi tệ thỏa mãn 1 2 2) M t ộ vư n c ờ
ỏ hình vuông ABCD có cạnh 20m nh ư hình v . N ẽ gười ta bu c ộ một con dê bằng s i ợ dậy th ng ừ
dài 20m tại trung điểm E c a ủ cạnh A . B Tính di n ệ tích phần c m
ỏ à con dê đó có thể ăn đư c
ợ (kết quả làm tròn đến hai chữ s t ố hập phân Câu 4. (3,0 đi m) ể ; O R (O ';R) Cho hai đư ng t ờ ròn bằng nhau và cắt nhau tại hai đi m ể A và B sao cho AB . R O K đ ẻ ư ng kí ờ nh AC c a ủ đư ng t ờ ròn . G i
ọ E là một điểm bất kỳ trên cung nhỏ
BC(E B;C) O
, CB và EB lần lư t ợ cắt đư ng t ờ ròn
tại các điểm thứ hai là D và F 0 a) Ch ng ứ minh AFD 9 0 b) Ch ng
ứ minh AE AF c) G i ọ P là giao đi m
ể của CE và F . D G i ọ Q là giao điểm c a
ủ AP và EF.Ch ng ứ minh AP là đư ng t ờ rung tr c ự c a ủ EF AP d) Tính tỉ s ố AQ
Câu 5. (1,0 đi m) ể
Cho a,b,c là các s t ố h c ự dư ng t ơ h a
ỏ mãn a b c 1 .Tìm giá trị nh ỏ 1 c 2 1 a 2 1 b2 Q
2 b c2 bc
2 c a 2 ca
2 a b2 ab nhất c a ủ bi u t ể h c ứ :
ĐÁP ÁN Câu 1. 2
1)M 4.2 3a 1 0 x 2 y 1 y 3 x 7 2) x 3y 2 x 1 2.3 y 3 V y ậ h có nghi ệ m ệ duy nh t ấ ; x y 7;3 3)Gi i ả phư ng ơ trình: 2
2x 9x 4 0 Phư ng ơ trình có 2 9 4.2.4 4 9 0 nên phư ng ơ trình có hai nghi m ệ phân 9 49 1 x1 4 2 9 49 x 4 2 biệt: 4 1 S ;4 V y ậ 2 Câu 2. 1) Tìm đi u ki ề n và rú ệ t g n P ọ x 0 x 0 x 0 9 x 0 x 9 x 9 4x 36 Đi u ki ề n: ệ 6 4x 0
x 1 x 6 1 2 x 1 P : 3 x 9 x 6 4x 1 x 7 x 6 2 x 1 : 3 x
3 x3 x 23 x 2 3 3 7 6 x x x x
x 6 x 9 2 . .
3 x3 x 2 x 1
3 x 2 x 1 x 32 2 2 x 6 .
3 x 2 x 1 2 x 1 2) Đi u ki ề ện x 0 , x 9
Để x là số nguyên thì x ph i ả là số chính phư ng ơ 2 x 6 2 x 1 5 5 P 1 Ta có: 2 x 1 2 x 1 2 x 1 5 P
5 2 x 1 Để 2 x 1
hay 2 x 1U (5) 5;
1 (do2 x 1 0 2 x 1 1 x 0 (tm) x 4 2 x 1 5 V y ậ x 0; 4 th a m ỏ ãn bài toán. Câu 3. 1)Tìm a,b đ …. ể a 4 Vì đư ng ờ th ng ẳ y a
x b song song v i ớ đư ng ờ th ng ẳ y 4
x 5 nên b 5 Khi đó phư ng ơ trình đư ng ờ th ng ẳ c n t ầ ìm có d ng ạ y 4
x b b 5 Xét phư ng
ơ trình hoành độ giao đi m ể c a đ ủ ư ng ờ th ng ẳ y 4
x b b 5 và 2 2 2
parabol y x : x 4
x b x 4x b 0 *
Đề thi vào 10 môn Toán tỉnh Đak Lak (Hệ không chuyên) năm 2021
532
266 lượt tải
MUA NGAY ĐỂ XEM TOÀN BỘ TÀI LIỆU
CÁCH MUA:
- B1: Gửi phí vào TK:
1133836868- CT TNHH DAU TU VA DV GD VIETJACK - Ngân hàng MB (QR) - B2: Nhắn tin tới Zalo VietJack Official ( nhấn vào đây ) để xác nhận thanh toán và tải tài liệu - giáo án
Liên hệ ngay Hotline hỗ trợ: 084 283 45 85
Đề thi được cập nhật liên tục trong gói này từ nay đến hết tháng 6/2023. Chúng tôi đảm bảo đủ số lượng đề đã cam kết hoặc có thể nhiều hơn, tất cả có BẢN WORD, LỜI GIẢI CHI TIẾT và tải về dễ dàng.
Để tải tài liệu gốc về máy bạn click vào nút Tải Xuống ở trên!
Thuộc bộ (mua theo bộ để tiết kiệm hơn):
- Tailieugiaovien.com.vn giới thiệu bộ 69 đề thi vào 10 môn Toán hệ không chuyên mới nhất năm 2021 nhằm giúp Giáo viên có thêm tài liệu tham khảo đề luyện thi Toán ôn luyện vào 1
- File word có lời giải chi tiết 100%.
- Mua trọn bộ sẽ tiết kiệm hơn tải lẻ 50%.
Đánh giá
4.6 / 5(532 )5
4
3
2
1
Trọng Bình
Tài liệu hay
Giúp ích cho tôi rất nhiều
Duy Trần
Tài liệu chuẩn
Rất thích tài liệu bên VJ soạn (bám sát chương trình dạy)
TÀI LIỆU BỘ BÁN CHẠY MÔN Toán Học
Xem thêmTÀI LIỆU BỘ BÁN CHẠY Ôn vào 10
Xem thêmTài liệu bộ mới nhất

Đây là bản xem thử, vui lòng mua tài liệu để xem chi ết (có lời giải)
S GIÁO D C VÀ ĐÀO T OỞ Ụ Ạ
ĐAK LAK
Đ CHÍNH TH C Ề Ứ
KỲ THI TUY N SINH VÀO L P 10 THPTỂ Ớ
NĂM H C 2020-2021Ọ
Môn thi:TOÁN
Th i gian làm bài: 120 phút, không k phát đờ ể ề
Câu 1. (2,0 đi m)ể
1) Tính giá tr c a bi u th c ị ủ ể ứ
2
4 3M a a
t i ạ
2a
2) Gi i h ph ng trình: ả ệ ươ
2 1
3 2
x y
x y
3) Gi i ph ng trình: ả ươ
2
2 9 4 0x x
Câu 2. (2,0 đi m) ể Cho bi u th c ể ứ
1 6
1 2 1
:
9
3 6 4
x x
x
P
x
x x
1) Tìm đi u ki n c a ề ệ ủ
x
đ bi u th c P có nghĩa và rút g n Pể ể ứ ọ
2) Tìm các giá tr c a ị ủ
x
sao cho
x
và
P
là nh ng s nguyênữ ố
Câu 3. (2,0 đi m)ể
1) Tìm
,a b
đ đ ng th ng ể ườ ẳ
y ax b
song song v i đ ng th ng ớ ườ ẳ
4 5y x
và c t đắ ồ
th hàm s ị ố
2
y x
t i hai đi m ạ ể
1 1 2 2
; , ;A x y B x y
phân bi t th a mãn ệ ỏ
2 2
1 2
10x x
2) M t v n c hình vuông ộ ườ ỏ
ABCD
có c nh ạ
20m
nh ư
hình v . Ng i ta bu c m t con dê b ng s i d y th ng ẽ ườ ộ ộ ằ ợ ậ ừ
dài
20m
t i trung đi m E c a c nh ạ ể ủ ạ
.AB
Tính di n tíchệ
ph n c mà con dê đó có th ăn đ c (ầ ỏ ể ượ k t qu làm trònế ả
đ n hai ch s th p phânế ữ ố ậ
Câu 4. (3,0 đi m)ể
Cho hai đ ng tròn b ng nhau ườ ằ
;O R
và
( '; )O R
c t nhau t i hai đi m ắ ạ ể
A
và B sao cho
.AB R
K đ ng kính ẻ ườ
AC
c a đ ng tròn ủ ườ
.O
G i ọ
E
là m t đi m b t kỳ trên cung nhộ ể ấ ỏ
( ; )BC E B C
,
CB
và
EB
l n l t c t đ ng tròn ầ ượ ắ ườ
O
t i các đi m th hai là ạ ể ứ
D
và
F
a) Ch ng minh ứ
0
90AFD
b) Ch ng minh ứ
AE AF
c) G i P là giao đi m c a ọ ể ủ
CE
và
.FD
G i ọ
Q
là giao đi m c a ể ủ
AP
và
.EF
Ch ng minhứ
AP
là đ ng trung tr c c a ườ ự ủ
EF
d) Tính t s ỉ ố
AP
AQ
Mọi thắc mắc vui lòng xin liên hệ hotline: 084 283 45 85

Đây là bản xem thử, vui lòng mua tài liệu để xem chi ết (có lời giải)
Câu 5. (1,0 đi m) ể Cho
, ,a b c
là các s th c d ng th a mãn ố ự ươ ỏ
1.a b c
Tìm giá tr nh ị ỏ
nh t c a bi u th c : ấ ủ ể ứ
2 2 2
2 2 2
1 1 1
2 2 2
c a b
Q
b c bc c a ca a b ab
Mọi thắc mắc vui lòng xin liên hệ hotline: 084 283 45 85

Đây là bản xem thử, vui lòng mua tài liệu để xem chi ết (có lời giải)
ĐÁP ÁN
Câu 1.
2
1) 4.2 3 10
2 1 3 7
2)
3 2 1 2.3 3
M a
x y y x
x y x y
V y h có nghi m duy nh t ậ ệ ệ ấ
; 7;3x y
3)Gi i ph ng trình: ả ươ
2
2 9 4 0x x
Ph ng trình có ươ
2
9 4.2.4 49 0
nên ph ng trình có hai nghi m phân ươ ệ
bi t: ệ
1
2
9 49 1
4 2
9 49
4
4
x
x
V y ậ
1
;4
2
S
Câu 2.
1) Tìm đi u ki n và rút g n Pề ệ ọ
Đi u ki n: ề ệ
0 0
0
9 0 9
9
4 36
6 4 0
x x
x
x x
x
x
x
Mọi thắc mắc vui lòng xin liên hệ hotline: 084 283 45 85

Đây là bản xem thử, vui lòng mua tài liệu để xem chi ết (có lời giải)
2
1 6
1 2 1
:
9
3 6 4
1 7 6 2 1
:
3
3 3 2 3
2 3
3 7 6 6 9 2
. .
2 1 2 1
3 3 3
3
2 2 6
.
2 1 2 1
3
x x
x
P
x
x x
x x x
x
x x x
x
x x x x x
x x
x x x
x
x
x x
x
2) Đi u ki n ề ệ
0, 9x x
Đ ể
x
là s nguyên thì ố
x
ph i là s chính ph ngả ố ươ
Ta có:
2 6 2 1 5 5
1
2 1 2 1 2 1
x x
P
x x x
Đ ể
5
5 2 1
2 1
P x
x
hay
2 1 (5) 5;1 ( 2 1 0x U do x
2 1 1 0
( )
4
2 1 5
x x
tm
x
x
V y ậ
0;4x
th a mãn bài toán.ỏ
Câu 3.
1)Tìm a,b đ ….ể
Vì đ ng th ng ườ ẳ
y ax b
song song v i đ ng th ng ớ ườ ẳ
4 5y x
nên
4
5
a
b
Khi đó ph ng trình đ ng th ng c n tìm có d ng ươ ườ ẳ ầ ạ
4 5y x b b
Xét ph ng trình hoành đ giao đi m c a đ ng th ng ươ ộ ể ủ ườ ẳ
4 5y x b b
và
parabol
2 2 2
: 4 4 0 *y x x x b x x b
Mọi thắc mắc vui lòng xin liên hệ hotline: 084 283 45 85

Đây là bản xem thử, vui lòng mua tài liệu để xem chi ết (có lời giải)
Đ đ ng th ng ể ườ ẳ
4 5y x b b
c t parabol (P) t i hai đi m phân bi t thì ắ ạ ể ệ
ph ng trình (*) có hai nghi m phân bi t ươ ệ ệ
2
' 0 2 4 0 4b b b
. Áp d ng đ nh lý Vi – et ta có:ụ ị
1 2
1 2
4x x
x x b
. Theo bài ra ta có:
2
2 2
1 2 1 2 1 2
2
10 2 10
4 2 10 3( )
x x x x x x
b b tm
V y ậ
4, 3a b
2) Tính di n tích….ệ
Ta có:
20EM EN cm
Vì
E
là trung đi m c a ể ủ
AB
nên
1
10( )
2
EA EB AB m
Áp d ng đ nh lý Pytago trong các tam giác vuông ta có:ụ ị
Mọi thắc mắc vui lòng xin liên hệ hotline: 084 283 45 85
