SỞ GIÁO D C Ụ VÀ ĐÀO T O Ạ KỲ THI TUY N Ể SINH 10 THPT T N Ỉ H ĐĂK NÔNG
NĂM HỌC 2020 – 2021 MÔN THI :TOÁN (Đ th ề i chung) Đ C Ề HÍNH TH C Ứ Th i ờ gian: 120 phút Bài 1. (2,0 đi m ể ) a) G i ọ x , x 2 1 2 là hai nghi m ệ c a ph ủ ư ng
ơ trình x 3x 2 0
Tính tổng S x x P x x 1 2 và tích 1 2 b) Gi i ả phư ng t ơ rình: 2 2
x x 5 x 2x 1
4x 3y 10 c) Gi i ả h ph ệ ư ng t ơ rình x 2y 3 x 1 1 A Bài 2. (2,0 đi m ể ) Cho bi u t ể h c ứ x 4 x 2 x 2 v i ớ x 0 , x 4 a) Rút g n bi ọ u t ể h c ứ A b) Tìm t t ấ cả các giá tr c ị a ủ x đ ể A 1 Bài 3. (2,0 đi m ể )
a) Vẽ Parabol P 2 : y 2 x 2 2 b) Cho phư ng t ơ
rình: x 2 m
1 x m 3m 1 0 (m là tham số) Tìm t t ấ cả các giá tr c ị a ủ m đ ph ể ư ng ơ trình có hai nghi m ệ phân bi t ệ x , x 2 2 x x 1 0. 1 2 th a ỏ 1 2 Bài 4. (3,0 đi m ể )
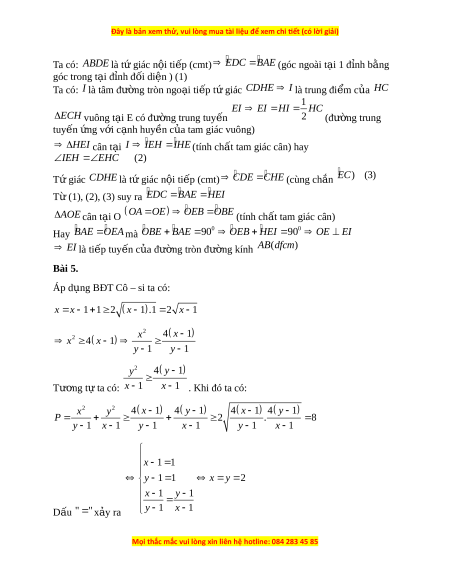
Cho tam giác ABC có ba góc nh n. ọ Hai đư ng cao c ờ a ủ tam giác ABC là AD, BE c t ắ nhau t i
ạ H D BC, E AC a) Ch ng ứ minh: CDHE là t gi ứ ác n i ộ ti p m ế t ộ đư ng ờ tròn b) Ch ng ứ minh: H . A HD H . B HE c) G i ọ đi m
ể I là tâm đư ng t ờ ròn ngo i ạ ti p t ế gi ứ ác CDHE.Ch ng m ứ inh IE là ti p t ế uy n c ế a ủ đư ng t ờ ròn đư ng kí ờ nh AB Bài 5. (1,0 đi m
ể ) Cho các số th c ự dư ng ơ x, y 1
2 2 x y P Tìm giá tr nh ị nh ỏ t ấ c a bi ủ u t ể h c ứ y 1 x 1 ĐÁP ÁN Bài 1. a) Tính t ng S và t ổ ích P Phư ng ơ trình 2 x 3x 2 0
có a b c 1 3 2 0
nên có hai nghiệm phân x 1
S x x 1 2 3 1 1 2 biệt: x 2 P x x 1 .2 2 2 . Khi đó ta có: 1 2 V y ậ S 3 ; P 2 2 2
b)x x 5 x 2x 1 2x x 5 1 3x 6 x 2 V y ậ nghi m ệ c a ph ủ ư ng t ơ rình là S 2
4x 3y 10
4x 3y 10 11 y 22 y 2 c) x 2y 3 4x 8y 12 x 3 2 y x 1 V y ậ h có nghi ệ m ệ duy nh t ấ ; x y 1;2 Bài 2. a) Rút g n bi ọ u t ể h c: ứ V i ớ x 0 , x 4 ta có: x 1 1
x x 2 x 2 A x 4 x 2 x 2
x 2 x 2 x. x x x 2 2 x
x 2 x 2 x 2 x 2 x 2 b) Tìm t t ấ cả các giá tr x ị Ta có: x x x 2 A 1 1 0 x 2 x 2 2 0
x 2 0 do2 0 x 4 x 2
K t ế h p ợ v i ớ đi u ki ề n, t ệ
a có x 4(tm) Bài 3. a) H c ọ sinh t v ự ẽ b) Tìm tham s m ố ………. 2 2 Để phư ng t ơ
rình x 2 m
1 x m 3m 1 0
* có hai nghiệm phân bi t ệ x , x 1 2 thì ' 0 m 2 2 2 2
1 m 3m 1 0 m 2m 1 m 3m 1 0
m 2 0 m 2 x x 2 m 1 2 m 2 1 2 2 Khi đó, áp d ng ụ đ nh l ị
ý Vi et ta có: x x m 3m 1 1 2 2 2 Theo bài ra ta có: x x 1 0 1 2
x x 2 2x x 1 0 1 2 1 2
2m 2 2 2 2 m 3m 1 10 2 2
4m 8m 4 2m 6m 2 10 2 2
2m 2m 4 0
m m 2 0 2
m m 2m 2 0
m m 1 2 m 1 0 m 1
m 2 m 1 0 (tm) m 2 V y ậ m 1 ho c ặ m 2
Bài 4. a) Chứng minh t gi ứ ác CDHE n i ộ ti p ế
Ta có: AD, BE là hai đư ng ờ cao c a ủ AD BC D 0 A
BC(gt) ADC BEC 9 0 BE AC E
Xét tứ giác CDHE ta có: 0 0 0 HDC HEC 9 0 90 1
80 CDHE là t gi ứ ác n i ộ ti p ế
b) Chứng minh H . A HD H . B HE Xét H AE và H BD ta có: AHE BHD (đ i ố đ nh) ỉ ; 0 AEH BDH 9 0 AH HE A HE B
HD(g.g) AH.DH B
H.EH dfcm BH HD
c) Chứng minh IE là ti p t ế uy n ………. ế
Xét tứ giác ABDE ta có: 0 ADB AEB 9
0 , mà hai đỉnh D, E là hai đỉnh liên ti p ế c a ủ t gi
ứ ác ABDE là t gi ứ ác n i ộ ti p ế L i ạ có: AEB vuông t i ạ E ,
A B, D, E cùng thu c đ ộ ư ng ờ tròn tâm O đư ng ờ kính AB
Đề thi vào 10 môn Toán tỉnh Đăk Nông (Hệ không chuyên) năm 2021
410
205 lượt tải
MUA NGAY ĐỂ XEM TOÀN BỘ TÀI LIỆU
CÁCH MUA:
- B1: Gửi phí vào TK:
1053587071
- NGUYEN VAN DOAN - Ngân hàng Vietcombank (QR) - B2: Nhắn tin tới Zalo VietJack Official ( nhấn vào đây ) để xác nhận thanh toán và tải tài liệu - giáo án
Liên hệ ngay Hotline hỗ trợ: 084 283 45 85
Đề thi được cập nhật liên tục trong gói này từ nay đến hết tháng 6/2023. Chúng tôi đảm bảo đủ số lượng đề đã cam kết hoặc có thể nhiều hơn, tất cả có BẢN WORD, LỜI GIẢI CHI TIẾT và tải về dễ dàng.
Để tải tài liệu gốc về máy bạn click vào nút Tải Xuống ở trên!
Thuộc bộ (mua theo bộ để tiết kiệm hơn):
- Tailieugiaovien.com.vn giới thiệu bộ 69 đề thi vào 10 môn Toán hệ không chuyên mới nhất năm 2021 nhằm giúp Giáo viên có thêm tài liệu tham khảo đề luyện thi Toán ôn luyện vào 1
- File word có lời giải chi tiết 100%.
- Mua trọn bộ sẽ tiết kiệm hơn tải lẻ 50%.
Đánh giá
4.6 / 5(410 )5
4
3
2
1

Trọng Bình
Tài liệu hay
Giúp ích cho tôi rất nhiều

Duy Trần
Tài liệu chuẩn
Rất thích tài liệu bên VJ soạn (bám sát chương trình dạy)
TÀI LIỆU BỘ BÁN CHẠY MÔN Toán Học
Xem thêmTÀI LIỆU BỘ BÁN CHẠY Ôn vào 10
Xem thêmTài liệu bộ mới nhất

Đây là bản xem thử, vui lòng mua tài liệu để xem chi ết (có lời giải)
S GIÁO D C VÀ ĐÀO T OỞ Ụ Ạ
T NH ĐĂK NÔNGỈ
Đ CHÍNH TH C Ề Ứ
KỲ THI TUY N SINH 10 THPT Ể
NĂM H C 2020 – 2021 Ọ
MÔN THI :TOÁN (Đ thi chung) ề
Th i gian: 120 phút ờ
Bài 1. (2,0 đi m)ể
a) G i ọ
1 2
,x x
là hai nghi m c a ph ng trình ệ ủ ươ
2
3 2 0x x
Tính t ng ổ
1 2
S x x
và tích
1 2
P x x
b) Gi i ph ng trình: ả ươ
2 2
5 2 1x x x x
c) Gi i h ph ng trình ả ệ ươ
4 3 10
2 3
x y
x y
Bài 2. (2,0 đi m) ể Cho bi u th c ể ứ
1 1
4
2 2
x
A
x
x x
v i ớ
0, 4x x
a) Rút g n bi u th c ọ ể ứ
A
b) Tìm t t c các giá tr c a ấ ả ị ủ
x
đ ể
1A
Bài 3. (2,0 đi m)ể
a) V Parabol ẽ
2
: 2P y x
b) Cho ph ng trình: ươ
2 2
2 1 3 1 0 (x m x m m m
là tham s )ố
Tìm t t c các giá tr c a ấ ả ị ủ
m
đ ph ng trình có hai nghi m phân bi tể ươ ệ ệ
1 2
,x x
th a ỏ
2 2
1 2
10.x x
Bài 4. (3,0 đi m)ể
Cho tam giác
ABC
có ba góc nh n. Hai đ ng cao c a tam giác ọ ườ ủ
ABC
là
,AD
BE
c t nhau t i ắ ạ
,H D BC E AC
a) Ch ng minh: ứ
CDHE
là t giác n i ti p m t đ ng tròn ứ ộ ế ộ ườ
b) Ch ng minh: ứ
. .HA HD HB HE
c) G i đi m ọ ể
I
là tâm đ ng tròn ngo i ti p t giác ườ ạ ế ứ
.CDHE
Ch ng minh ứ
IE
là
ti p tuy n c a đ ng tròn đ ng kính ế ế ủ ườ ườ
AB
Bài 5. (1,0 đi m) ể Cho các s th c d ng ố ự ươ
, 1x y
Mọi thắc mắc vui lòng xin liên hệ hotline: 084 283 45 85

Đây là bản xem thử, vui lòng mua tài liệu để xem chi ết (có lời giải)
Tìm giá tr nh nh t c a bi u th c ị ỏ ấ ủ ể ứ
2 2
1 1
x y
P
y x
ĐÁP ÁN
Bài 1.
a) Tính t ng S và tích Pổ
Ph ng trình ươ
2
3 2 0x x
có
1 3 2 0a b c
nên có hai nghi m phân ệ
bi t:ệ
1
2
1
2
x
x
. Khi đó ta có:
1 2
1 2
1 2 3
1.2 2
S x x
P x x
V y ậ
3; 2S P
2 2
) 5 2 1 2 5 1 3 6 2b x x x x x x x x
V y nghi m c a ph ng trình là ậ ệ ủ ươ
2S
4 3 10 4 3 10 11 22 2
)
2 3 4 8 12 3 2 1
x y x y y y
c
x y x y x y x
V y h có nghi m duy nh t ậ ệ ệ ấ
; 1;2x y
Bài 2.
a) Rút g n bi u th c:ọ ể ứ
V i ớ
0, 4x x
ta có:
1 1 2 2
4
2 2
2 2
. 2
2
2
2 2 2 2
x x x x
A
x
x x
x x
x x
x x x
x
x x x x
b) Tìm t t c các giá tr xấ ả ị
Ta có:
2
1 1 0
2 2
2
0 2 0 2 0 4
2
x x x
A
x x
x do x
x
Mọi thắc mắc vui lòng xin liên hệ hotline: 084 283 45 85

Đây là bản xem thử, vui lòng mua tài liệu để xem chi ết (có lời giải)
K t h p v i đi u ki n, ta có ế ợ ớ ề ệ
4( )x tm
Bài 3.
a) H c sinh t vọ ự ẽ
b) Tìm tham s m……….ố
Đ ph ng trình ể ươ
2 2
2 1 3 1 0 *x m x m m
có hai nghi m phân bi tệ ệ
1 2
,x x
thì
' 0
2
2 2 2
1 3 1 0 2 1 3 1 0
2 0 2
m m m m m m m
m m
Khi đó, áp d ng đ nh lý ụ ị
Vi et
ta có:
1 2
2
1 2
2 1 2 2
3 1
x x m m
x x m m
Theo bài ra ta có:
2 2
1 2
10x x
2
1 2 1 2
2
2
2 2
2 2
2
2 10
2 2 2 3 1 10
4 8 4 2 6 2 10
2 2 4 0 2 0
2 2 0 1 2 1 0
1
2 1 0 ( )
2
x x x x
m m m
m m m m
m m m m
m m m m m m
m
m m tm
m
V y ậ
1m
ho c ặ
2m
Mọi thắc mắc vui lòng xin liên hệ hotline: 084 283 45 85

Đây là bản xem thử, vui lòng mua tài liệu để xem chi ết (có lời giải)
Bài 4.
a) Ch ng minh t giác CDHE n i ti p ứ ứ ộ ế
Ta có:
,AD BE
là hai đ ng cao c aườ ủ
0
( ) 90
AD BC D
ABC gt ADC BEC
BE AC E
Xét t giác ứ
CDHE
ta có:
0 0 0
90 90 180HDC HEC CDHE
là t giác n i ứ ộ
ti p ế
b) Ch ng minh ứ
. .HA HD HB HE
Xét
HAE
và
HBD
ta có:
AHE BHD
(đ i đ nh); ố ỉ
0
90AEH BDH
( . ) . .
AH HE
AHE BHD g g AH DH BH EH dfcm
BH HD
c) Ch ng minh ứ
IE
là ti p tuy n ……….ế ế
Xét t giác ứ
ABDE
ta có:
0
90ADB AEB
, mà hai đ nh ỉ
,D E
là hai đ nh liên ti pỉ ế
c a t giác ủ ứ
ABDE
là t giác n i ti p ứ ộ ế
L i có: ạ
AEB
vuông t i ạ
, , ,E A B D E
cùng thu c đ ng tròn tâm O đ ng kínhộ ườ ườ
AB
Mọi thắc mắc vui lòng xin liên hệ hotline: 084 283 45 85

Đây là bản xem thử, vui lòng mua tài liệu để xem chi ết (có lời giải)
Ta có:
ABDE
là t giác n i ti p (cmt)ứ ộ ế
EDC BAE
(góc ngoài t i 1 đ nh b ng ạ ỉ ằ
góc trong t i đ nh đ i di n ) (1)ạ ỉ ố ệ
Ta có:
I
là tâm đ ng tròn ngo i ti p t giác ườ ạ ế ứ
CDHE I
là trung đi m c a ể ủ
HC
ECH
vuông t i E có đ ng trung tuy n ạ ườ ế
1
2
EI EI HI HC
(đ ng trung ườ
tuy n ng v i c nh huy n c a tam giác vuông)ế ứ ớ ạ ề ủ
HEI
cân t i ạ
I IEH IHE
(tính ch t tam giác cân) hayấ
(2)IEH EHC
T giác ứ
CDHE
là t giác n i ti p (cmt)ứ ộ ế
CDE CHE
(cùng ch n ắ
) (3)EC
T (1), (2), (3) suy ra ừ
EDC BAE HEI
AOE
cân t i O ạ
OA OE OEB OBE
(tính ch t tam giác cân)ấ
Hay
BAE OEA
mà
0 0
90 90OBE BAE OEB HEI OE EI
EI
là ti p tuy n c a đ ng tròn đ ng kính ế ế ủ ườ ườ
( )AB dfcm
Bài 5.
Áp d ng BĐT Cô – si ta có:ụ
1 1 2 1 .1 2 1x x x x
2
2
4 1
4 1
1 1
x
x
x x
y y
T ng t ta có: ươ ự
2
4 1
1 1
y
y
x x
. Khi đó ta có:
2 2
4 1 4 1 4 1 4 1
2 . 8
1 1 1 1 1 1
x y x y
x y
P
y x y x y x
D u ấ
" "
x y ra ả
1 1
1 1 2
1 1
1 1
x
y x y
x y
y x
Mọi thắc mắc vui lòng xin liên hệ hotline: 084 283 45 85