ệ xem ể chi ti t ế (có l i ờ gi i ả ) SỞ GIÁO D C Ụ VÀ ĐÀO T O Ạ KỲ THI TUY N Ể SINH L P Ớ 10 THPT T N Ỉ H ĐỒNG THÁP NĂM HỌC 2019-2020 Môn thi: TOÁN Đ C Ề HÍNH TH C Ứ Th i
ờ gian làm bài: 120 phút Câu 1. (1 đi m ể ) a) Rút g n bi ọ u t ể h c: ứ A 36 4 b) Tìm x bi t ế x 3 2x 5y 12 Câu 2.(1 đi m ể ) Gi i ả h ph ệ ư ng t ơ rinh 2x y 4 Câu 3. (1 đi m ể ) Gi i ả phư ng ơ trình : 2 x 7x 12 0 Câu 4. (1 đi m ể ) Trong h t ệ r c ụ t a đ ọ O ộ xy, cho đư ng ờ th ng ẳ d : y 6
x b và parabol P 2 : y ax a 0 a) Tìm giá tr c ị a ủ b đ đ ể ư ng ờ th ng ẳ d đi qua đi m ể M 0;9 b) V i ớ b tìm đư c, t ợ ìm giá tr c ị a ủ a đ
ể d ti p xúc v ế i ớ P Câu 5. (1 đi m ể ) Cho phư ng ơ trình 2 2
x mx 2m 3m 2 0 (v i
ớ m là tham số). Ch ng ứ minh r ng ph ằ ư ng
ơ trình đã cho luôn có hai nghi m ệ phân bi t ệ v i ớ m i ọ giá tr c ị a ủ m Câu 6.(1,0 đi m ể ) Chi u cao ề trung bình c a ủ 40 h c s ọ inh l p ớ 9A là 1,628 . m Trong đó chi u ề cao trung bình c a ủ h c s
ọ inh nam là 1,64m và chi u cao ề trung bình c a n ủ ữ là 1,61 . m Tính số h c s ọ inh nam, s h ố c s ọ inh n c ữ a l ủ p ớ 9A. Câu 7. (1,0 đi m ể ) Ngư i ờ ta mu n t ố o m ạ t ộ cái khuôn đúc d ng hì ạ nh tr , có chi ụ u cao ề b ng ằ 16c , m bán kính đáy b ng ằ 8 cm, m t ặ đáy trên lõm xu ng d ố ng ạ hình nón và kho ng ả cách t đ ừ nh hì ỉ nh nón đ n m ế t ặ đáy dư i ớ hình tr b ụ ng ằ 10c . m Tính di n t ệ ích toàn b ộ khuôn (lấy 3 ,14) Câu 8.(3,0 đi m
ể ). Cho tam giác ABC có ba góc nh n
ọ AB AC và đư n ờ cao
AK K BC .Vẽ đư ng ờ tròn (O) đư ng ờ kính BC. T ừ A kẻ các ti p t ế uy n ế AM , AN v i ớ đư ng ờ tròn (O) (v i
ớ M , N là các ti p đi ế m ể , M và B n m ằ trên cùng m t ộ n a ử m t ặ ph ng ẳ có bờ là đư ng t ờ h ng ẳ AO).G i ọ H là giao đi m ể c a ủ hai đư ng t ờ h ng ẳ MN, AK M i
ọ thắc mắc vui lòng xin liên hệ hotline: 084 283 45 85
ệ xem ể chi ti t ế (có l i ờ gi i ả ) a) Ch ng ứ minh t gi ứ ác AMKO là t gi ứ ác n i ộ ti p ế b) Ch ng
ứ minh KA là tia phân giác MKN c) Ch ng ứ minh 2
AN AK.AH M i
ọ thắc mắc vui lòng xin liên hệ hotline: 084 283 45 85
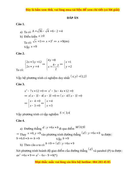
ệ xem ể chi ti t ế (có l i ờ gi i ả ) ĐÁP ÁN Câu 1.
a) Ta có A 36 4 6 2 4 b) Đi u ki ề ện x 0 2 Ta có: x 3 x 3 x 9( tm) V y ậ x 9 Câu 2. 4 y 8 2x 5 y 12 x 1 4 y 2x y 4 x y 2 Ta có: 2 V y ậ h ph ệ ư ng t ơ rình có nghi m ệ duy nh t ấ ; x y 1;2 Câu 3. 2 2 x 7x 12 0
x 3x 4x 12 0
x x 3 4 x 3 0
x 4 x 3 0 x 4 0 x 4 x 3 0 x 3 V y ậ phư ng t ơ rình có t p nghi ậ m ệ S 3; 4 Câu 4. a) Đư ng ờ th ng ẳ d : y 6
x b đi qua đi m ể M 0;9 Thay x 0 , y 9 vào phư ng t ơ rình đư ng t ờ h ng
ẳ d : y 6
x b ta đư c: ợ 9 6
.0 b b 9 V y ậ b 9
b) Theo câu a ta có b 9
d : y 6 x 9 Xét phư ng
ơ trình hoành độ giao đi m ể c a đ ủ ư ng ờ th ng ẳ
d và parabol (P) ta đư c: ợ 2 2 ax 6
x 9 a 6x 9 0 (*) M i
ọ thắc mắc vui lòng xin liên hệ hotline: 084 283 45 85
ệ xem ể chi ti t ế (có l i ờ gi i ả ) Để đư ng t ờ h ng ẳ d ti p xúc v ế i ớ parabol (P) thì phư ng ơ trình (*) có nghi m ệ kép a 0 a 0 a 0 a 1 ' 0 3 2 . a 9 0 a 1 V y
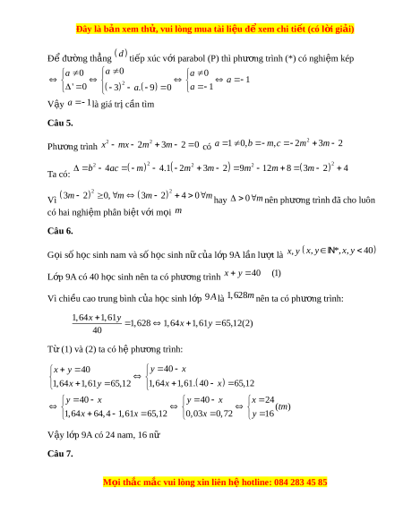
ậ a 1là giá tr c ị n t ầ ìm Câu 5. 2 Phư ng ơ trình 2 2
x mx 2m 3m 2 0 có a 1 0 ,b ,
m c 2m 3m 2 b ac m 2
m m m m m 2 2 2 2 4 4.1 2 3 2 9 12 8 3 2 4 Ta có: 2 2 Vì 3m 2 0 , m
3m 2 4 0 m hay 0 m nên phư ng ơ trình đã cho luôn có hai nghiệm phân bi t ệ v i ớ m i ọ m Câu 6. G i ọ số h c s ọ inh nam và số h c s ọ inh n c ữ a l ủ p ớ 9A l n l ầ ư t
ợ là x, y x, y *
, x, y 40 L p 9A ớ có 40 h c s ọ inh nên ta có phư ng t ơ rình x y 4 0 (1) Vì chi u ề cao trung bình c a ủ h c s ọ inh l p
ớ 9A là 1,628m nên ta có phư ng ơ trình: 1,64x 1,61y 1
,628 1,64x 1,61y 65 ,12(2) 40 T ( ừ 1) và (2) ta có h ph ệ ư ng t ơ rình: x y 4 0 y 4 0 x 1,64x 1,61y 6 5,12 1 ,64x 1,61. 40 x 6 5,12 y 4 0 x y 4 0 x x 2 4 (tm)
1,64x 64,4 1,61x 6 5,12 0,03x 0 ,72 y 1 6 V y ậ l p 9A ớ có 24 nam, 16 nữ Câu 7. M i
ọ thắc mắc vui lòng xin liên hệ hotline: 084 283 45 85
Đề thi vào 10 môn Toán tỉnh Đồng Tháp năm 2020
519
260 lượt tải
MUA NGAY ĐỂ XEM TOÀN BỘ TÀI LIỆU
CÁCH MUA:
- B1: Gửi phí vào TK:
1133836868- CT TNHH DAU TU VA DV GD VIETJACK - Ngân hàng MB (QR) - B2: Nhắn tin tới Zalo VietJack Official ( nhấn vào đây ) để xác nhận thanh toán và tải tài liệu - giáo án
Liên hệ ngay Hotline hỗ trợ: 084 283 45 85
Đề thi được cập nhật liên tục trong gói này từ nay đến hết tháng 6/2023. Chúng tôi đảm bảo đủ số lượng đề đã cam kết hoặc có thể nhiều hơn, tất cả có BẢN WORD, LỜI GIẢI CHI TIẾT và tải về dễ dàng.
Để tải tài liệu gốc về máy bạn click vào nút Tải Xuống ở trên!
Thuộc bộ (mua theo bộ để tiết kiệm hơn):
- Tailieugiaovien.com.vn giới thiệu bộ 63 đề thi vào 10 môn Toán hệ không chuyên năm 2020 nhằm giúp Giáo viên có thêm tài liệu tham khảo đề luyện thi Toán ôn luyện
- File word có lời giải chi tiết 100%.
- Mua trọn bộ sẽ tiết kiệm hơn tải lẻ 50%.
Đánh giá
4.6 / 5(519 )5
4
3
2
1
Trọng Bình
Tài liệu hay
Giúp ích cho tôi rất nhiều
Duy Trần
Tài liệu chuẩn
Rất thích tài liệu bên VJ soạn (bám sát chương trình dạy)
TÀI LIỆU BỘ BÁN CHẠY MÔN Toán Học
Xem thêmTÀI LIỆU BỘ BÁN CHẠY Ôn vào 10
Xem thêmTài liệu bộ mới nhất

Đây là b nả xem thử, vui lòng mua tài li u đ xem chi ti t (có l i gi i)ệ ể ế ờ ả
S GIÁO D C VÀ ĐÀO T OỞ Ụ Ạ
T NH Đ NG THÁPỈ Ồ
Đ CHÍNH TH C Ề Ứ
KỲ THI TUY N SINH L P 10 THPTỂ Ớ
NĂM H C 2019-2020Ọ
Môn thi: TOÁN
Th i gian làm bài: 120 phútờ
Câu 1. (1 đi m) ể
a) Rút g n bi u th c: ọ ể ứ
36 4A
b) Tìm
x
bi t ế
3x
Câu 2.(1 đi m) ể Gi i h ph ng trinh ả ệ ươ
2 5 12
2 4
x y
x y
Câu 3. (1 đi m) ể Gi i ph ng trình : ả ươ
2
7 12 0x x
Câu 4. (1 đi m) ể Trong h tr c t a đ Oxy, cho đ ng th ng ệ ụ ọ ộ ườ ẳ
: 6d y x b
và parabol
2
: 0P y ax a
a) Tìm giá tr c a ị ủ
b
đ đ ng th ng ể ườ ẳ
d
đi qua đi m ể
0;9M
b) V i ớ
b
tìm đ c, tìm giá tr c a ượ ị ủ
a
đ ể
d
ti p xúc v i ế ớ
P
Câu 5. (1 đi m) ể Cho ph ng trình ươ
2 2
2 3 2 0x mx m m
(v i ớ
m
là tham s ). Ch ngố ứ
minh r ng ph ng trình đã cho luôn có hai nghi m phân bi t v i m i giá tr c a ằ ươ ệ ệ ớ ọ ị ủ
m
Câu 6.(1,0 đi m) ể Chi u cao trung bình c a 40 h c sinh l p 9A là ề ủ ọ ớ
1,628 .m
Trong đó
chi u cao trung bình c a h c sinh nam là ề ủ ọ
1,64m
và chi u cao trung bình c a n là ề ủ ữ
1,61 .m
Tính s h c sinh nam, s h c sinh n c a l p 9A.ố ọ ố ọ ữ ủ ớ
Câu 7. (1,0 đi m) ể Ng i ta mu n t o m t cái khuôn đúc d ng hình tr , có chi u cao ườ ố ạ ộ ạ ụ ề
b ng ằ
16 ,cm
bán kính đáy b ng 8 cm, m t đáy trên lõm xu ng d ng hình nón và kho ng ằ ặ ố ạ ả
cách t đ nh hình nón đ n m t đáy d i hình tr b ng ừ ỉ ế ặ ướ ụ ằ
10 .cm
Tính di n tích toàn b ệ ộ
khuôn (l y ấ
3,14)
Câu 8.(3,0 đi m). ể Cho tam giác
ABC
có ba góc nh n ọ
AB AC
và đ n caoườ
.AK K BC
V đ ng tròn (O) đ ng kính BC. T ẽ ườ ườ ừ
A
k các ti p tuy n ẻ ế ế
,AM AN
v i ớ
đ ng tròn (O) (v i ườ ớ
,M N
là các ti p đi m, M và B n m trên cùng m t n a m t ph ng ế ể ằ ộ ử ặ ẳ
có b là đ ng th ng ờ ườ ẳ
).AO
G i H là giao đi m c a hai đ ng th ng ọ ể ủ ườ ẳ
,MN AK
M iọ th c m c vui lòng xin liên hắ ắ ệ hotline: 084 283 45 85

Đây là b nả xem thử, vui lòng mua tài li u đ xem chi ti t (có l i gi i)ệ ể ế ờ ả
a) Ch ng minh t giác ứ ứ
AMKO
là t giác n i ti pứ ộ ế
b) Ch ng minh ứ
KA
là tia phân giác
MKN
c) Ch ng minh ứ
2
.AN AK AH
M iọ th c m c vui lòng xin liên hắ ắ ệ hotline: 084 283 45 85

Đây là b nả xem thử, vui lòng mua tài li u đ xem chi ti t (có l i gi i)ệ ể ế ờ ả
ĐÁP ÁN
Câu 1.
a) Ta có
36 4 6 2 4A
b) Đi u ki n ề ệ
0x
Ta có:
2
3 3 9( )x x x tm
V y ậ
9x
Câu 2.
Ta có:
4 8
2 5 12 1
4
2 4 2
2
y
x y x
y
x y y
x
V y h ph ng trình có nghi m duy nh t ậ ệ ươ ệ ấ
; 1;2x y
Câu 3.
2 2
7 12 0 3 4 12 0
3 4 3 0 4 3 0
4 0 4
3 0 3
x x x x x
x x x x x
x x
x x
V y ph ng trình có t p nghi m ậ ươ ậ ệ
3;4S
Câu 4.
a) Đ ng th ng ườ ẳ
: 6d y x b
đi qua đi m ể
0;9M
Thay
0, 9x y
vào ph ng trình đ ng th ng ươ ườ ẳ
: 6d y x b
ta đ c:ượ
9 6.0 9b b
V y ậ
9b
b) Theo câu a ta có
9 : 6 9b d y x
Xét ph ng trình hoành đ giao đi m c a đ ng th ng ươ ộ ể ủ ườ ẳ
d
và parabol (P) ta đ c:ượ
2 2
6 9 6 9 0(*)ax x a x
M iọ th c m c vui lòng xin liên hắ ắ ệ hotline: 084 283 45 85

Đây là b nả xem thử, vui lòng mua tài li u đ xem chi ti t (có l i gi i)ệ ể ế ờ ả
Đ đ ng th ng ể ườ ẳ
d
ti p xúc v i parabol (P) thì ph ng trình (*) có nghi m képế ớ ươ ệ
2
0
0 0
1
' 0 1
3 . 9 0
a
a a
a
a
a
V y ậ
1a
là giá tr c n tìmị ầ
Câu 5.
Ph ng trình ươ
2 2
2 3 2 0x mx m m
có
2
1 0, , 2 3 2a b m c m m
Ta có:
2 2
2 2 2
4 4.1 2 3 2 9 12 8 3 2 4b ac m m m m m m
Vì
2 2
3 2 0, 3 2 4 0m m m m
hay
0 m
nên ph ng trình đã cho luôn ươ
có hai nghi m phân bi t v i m i ệ ệ ớ ọ
m
Câu 6.
G i s h c sinh nam và s h c sinh n c a l p 9A l n l t là ọ ố ọ ố ọ ữ ủ ớ ầ ượ
,x y
, *, , 40x y x y
L p 9A có 40 h c sinh nên ta có ph ng trình ớ ọ ươ
40 (1)x y
Vì chi u cao trung bình c a h c sinh l p ề ủ ọ ớ
9A
là
1,628m
nên ta có ph ng trình:ươ
1,64 1,61
1,628 1,64 1,61 65,12(2)
40
x y
x y
T (1) và (2) ta có h ph ng trình:ừ ệ ươ
40
40
1,64 1,61. 40 65,12
1,64 1,61 65,12
40 40 24
( )
1,64 64,4 1,61 65,12 0,03 0,72 16
y x
x y
x x
x y
y x y x x
tm
x x x y
V y l p 9A có 24 nam, 16 nậ ớ ữ
Câu 7.
M iọ th c m c vui lòng xin liên hắ ắ ệ hotline: 084 283 45 85

Đây là b nả xem thử, vui lòng mua tài li u đ xem chi ti t (có l i gi i)ệ ể ế ờ ả
Hình tr có bán kính đáy ụ
8r cm
và chi u cao ề
16h cm
nên di n tích xung quanh c a ệ ủ
hình tr là ụ
2
1
2 2 .8.16 256S rh cm
Di n tích 1 m t đáy c a hình tr là ệ ặ ủ ụ
2 2 2
2
.8 64S r cm
Ph n hình nón b lõm xu ng có chi u cao ầ ị ố ề
1
16 10 6h cm
và bán kính đáy
8 .r cm
Đ ng sinh c a hình nón ườ ủ
2 2 2 2
1
8 6 10l r h cm
Di n tích xung quanh c a hình nón là : ệ ủ
2
3
.8.10 80S rl cm
Di n tích toàn b khuôn là ệ ộ
2
1 2 3
256 64 80 400 1256( )S S S S cm
V y di n tích toàn b khuôn là ậ ệ ộ
2
1256( )cm
Câu 8.
M iọ th c m c vui lòng xin liên hắ ắ ệ hotline: 084 283 45 85
