SỞ GIÁO D C Ụ VÀ ĐÀO T O Ạ KỲ THI TUY N Ể SINH L P Ớ 10 THPT HÀ NAM
NĂM HỌC 2020 – 2021 MÔN THI: TOÁN Đ C Ề HÍNH TH C Ứ Th i
ờ gian làm bài: 120 phút Câu 1. (2,0 đi m ể ) 1) Gi i ả phư ng t ơ rình 2 x 2x 3 0 3
x 3y 5 2 x y 2) Gi i ả h ph ệ ư ng t ơ
rình x 2y 3 Câu 2. (2,0 đi m ể ) 1) Rút g n bi ọ u t ể h c ứ A 2 3 27 4 2 3 x x
x 1 x 0 B :
x 1 x x
x 1 x 1 2) Cho bi u t ể h c ứ Rút g n bi ọ u t ể h c ứ . B Tìm t t ấ cả các giá tr c ị a ủ x đ bi ể u ể th c ứ B nh n gi ậ á trị âm. Câu 3. (1,5 đi m ể ) Trong m t ặ ph ng ẳ t a đ ọ
ộ Oxy,cho parabol(P) có phư ng ơ trình 2 y 2 x và đư ng ờ th ng ẳ d có phư ng ơ trình y 2
x m(m là tham số) 1) Tìm m đ đ ể ư ng t ờ h ng
ẳ d đi qua đi m ể M 2;3 2) Tìm đi u ki ề n c ệ a ủ m đ par ể abol (P) c t ắ đư ng ờ th ng ẳ
d , xác định mđể
1 x x 2 2 y y 1 6 1 2 1 2 Câu 4. (4,0 đi m ể ) ; O R
Cho tam giác ABC có ba góc nh n, n ọ i ộ ti p đ ế ư ng ờ tròn . Hai đư ng
ờ cao BE,CF c a ủ tam giác ABC c t ắ nhau t i ạ H. Đư ng ờ th ng ẳ AH c t ắ BC t i ạ D và c t ắ đư ng ờ tròn ; O R t i ạ điêm th hai ứ là M 1) Ch ng ứ minh t gi ứ ác AEHF n i ộ ti p ế 2) Ch ng
ứ minh BC là tia phân giác c a ủ EBM 3) G i
ọ I là tâm đư ng t ờ ròn ngo i ạ ti p t ế gi ứ ác AEHF . Ch ng m ứ inh IE là ti p ế tuy n c ế a ủ đư ng t ờ ròn ngo i ạ ti p ế BCE 4) Khi hai đi m
ể B,C cố định và đi m ể A di đ ng t ộ rên đư ng ờ tròn ; O R nh ng v ư ẫn th a ỏ mãn đi u ki ề n t
ệ am giác ABC có ba góc nh n. ọ Ch ng m ứ inh
OA EF.Xác đ nh v ị t ị rí c a đi ủ m ể A đ t ể ng ổ
DE EF FD đ t ạ giá tr l ị n ớ nhất. Câu 5. (0,5 đi m ể ) Cho ba số dư ng ơ
a,b,c th a ỏ mãn abc 1 .Ch ng m ứ inh r ng : ằ
1 1 1 1 a 2 b 3 b 2 c 3
c 2 a 3 2
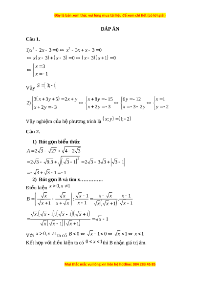
ĐÁP ÁN Câu 1. 2 2
1)x 2x 3 0
x 3x x 3 0
x x 3 x 3 0
x 3 x 1 0 x 3 x 1 V y ậ S 3; 1 3
x 3y 5 2 x y
x 8 y 15 6 y 12 x 1 2)
x 2y 3
x 2y 3
x 3 2y y 2 V y ậ nghi m ệ c a h ủ ph ệ ư ng t ơ rình là ; x y 1; 2 Câu 2. 1) Rút g n bi ọ u t ể h c ứ A 2 3 27 4 2 3 2 3 9.3 3 2 1 2 3 3 3 3 1 3 3 1 1 2) Rút g n B ọ
và tìm x………….. Đi u ki ề n ệ x 0, x 1 x x x 1 x x x 1 B : .
x 1 x x x 1
x x 1 x 1
x. x 1. x 1 x 1 x 1
x x 1 x 1 V i ớ x 0, x 1
ta có B 0 x 1 0 x 1 x 1 K t ế h p ợ v i ớ đi u ki ề n t
ệ a có 0 x 1thì B nh n ậ giá tr âm ị .
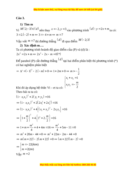
Câu 3. 1) Tìm m
Vì M 2; 3 d nên thay x 2, y 3 vào phư ng t ơ
rình d : y 2
x m ta có: 3 2
. 2 m 3 4 m m 7 V y ậ v i ớ m 7 thì đư ng ờ th ng
ẳ d đi qua đi m ể M 2;3 2) Xác đ nh m ị …. Ta có phư ng
ơ trình hoành độ giao đi m ể c a ( ủ P) và (d) là : 2 2 2x 2
x m 2x 2x m 0 * Để parabol (P) c t ắ đư ng t ờ h ng ẳ d t i ạ hai đi m ể phân bi t ệ thì phư ng t ơ rình (*) có hai nghiệm phân bi t ệ 2 1 '
1 2. m 0 1 2m 0 m 2 x x 1 1 2 m x x 1 2 Khi đó áp d ng ụ h t ệ h c ứ Vi – et ta có: 2 Theo bài ra ta có:
1 x x 2 2 y y 16 1 2 1 2
1 x x 2 2 2 2 2x 2x 16 1 2 1 2
1 x x 2 4 x x 2 2x x 16 1 2 1 2 1 2 2 m m 2 1 4. 1 2. 16 2 2 2 2 m m 1 m 4 4m 16 5m 11 0 4 4 2 2
m 20m 44 0
m 22m 2m 44 0
m m 22 2 m 22 0
m 22 m 2 0
m 22(ktm) m 2( tm) V y ậ m 2
Đề thi vào 10 môn Toán tỉnh Hà Nam (Hệ không chuyên) năm 2021
574
287 lượt tải
MUA NGAY ĐỂ XEM TOÀN BỘ TÀI LIỆU
CÁCH MUA:
- B1: Gửi phí vào TK:
1133836868- CT TNHH DAU TU VA DV GD VIETJACK - Ngân hàng MB (QR) - B2: Nhắn tin tới Zalo VietJack Official ( nhấn vào đây ) để xác nhận thanh toán và tải tài liệu - giáo án
Liên hệ ngay Hotline hỗ trợ: 084 283 45 85
Đề thi được cập nhật liên tục trong gói này từ nay đến hết tháng 6/2023. Chúng tôi đảm bảo đủ số lượng đề đã cam kết hoặc có thể nhiều hơn, tất cả có BẢN WORD, LỜI GIẢI CHI TIẾT và tải về dễ dàng.
Để tải tài liệu gốc về máy bạn click vào nút Tải Xuống ở trên!
Thuộc bộ (mua theo bộ để tiết kiệm hơn):
- Tailieugiaovien.com.vn giới thiệu bộ 69 đề thi vào 10 môn Toán hệ không chuyên mới nhất năm 2021 nhằm giúp Giáo viên có thêm tài liệu tham khảo đề luyện thi Toán ôn luyện vào 1
- File word có lời giải chi tiết 100%.
- Mua trọn bộ sẽ tiết kiệm hơn tải lẻ 50%.
Đánh giá
4.6 / 5(574 )5
4
3
2
1
Trọng Bình
Tài liệu hay
Giúp ích cho tôi rất nhiều
Duy Trần
Tài liệu chuẩn
Rất thích tài liệu bên VJ soạn (bám sát chương trình dạy)
TÀI LIỆU BỘ BÁN CHẠY MÔN Toán Học
Xem thêmTÀI LIỆU BỘ BÁN CHẠY Ôn vào 10
Xem thêmTài liệu bộ mới nhất

Đây là bản xem thử, vui lòng mua tài liệu để xem chi ết (có lời giải)
S GIÁO D C VÀ ĐÀO T OỞ Ụ Ạ
HÀ NAM
Đ CHÍNH TH CỀ Ứ
KỲ THI TUY N SINH L P 10 THPTỂ Ớ
NĂM H C 2020 – 2021 Ọ
MÔN THI: TOÁN
Th i gian làm bài: 120 phút ờ
Câu 1. (2,0 đi m)ể
1) Gi i ph ng trình ả ươ
2
2 3 0x x
2) Gi i h ph ng trình ả ệ ươ
3 3 5 2
2 3
x y x y
x y
Câu 2. (2,0 đi m)ể
1) Rút g n bi u th c ọ ể ứ
2 3 27 4 2 3A
2) Cho bi u th c ể ứ
0
1
:
1
1
1
x
x x x
B
x
x
x x x
Rút g n bi u th c ọ ể ứ
.B
Tìm t t c các giá tr c a ấ ả ị ủ
x
đ bi u th c ể ể ứ
B
nh n giá tr âm.ậ ị
Câu 3. (1,5 đi m) ể Trong m t ph ng t a đ ặ ẳ ọ ộ
, ( )Oxy cho parabol P
có ph ng trìnhươ
2
2y x
và đ ng th ng ườ ẳ
d
có ph ng trình ươ
2 (y x m m
là tham s )ố
1) Tìm
m
đ đ ng th ng ể ườ ẳ
d
đi qua đi m ể
2;3M
2) Tìm đi u ki n c a ề ệ ủ
m
đ parabol (P) c t đ ng th ng ể ắ ườ ẳ
d
, xác đ nh ị
m
để
2
1 2 1 2
1 2 16x x y y
Câu 4. (4,0 đi m)ể Cho tam giác
ABC
có ba góc nh n, n i ti p đ ng tròn ọ ộ ế ườ
;O R
. Hai đ ng cao ườ
,BE CF
c a tam giác ủ
ABC
c t nhau t i H. Đ ng th ng ắ ạ ườ ẳ
AH
c tắ
BC
t i D và c t đ ng tròn ạ ắ ườ
;O R
t i điêm th hai là ạ ứ
M
1) Ch ng minh t giác ứ ứ
AEHF
n i ti pộ ế
2) Ch ng minh ứ
BC
là tia phân giác c a ủ
EBM
3) G i ọ
I
là tâm đ ng tròn ngo i ti p t giác ườ ạ ế ứ
AEHF
. Ch ng minh ứ
IE
là ti p ế
tuy n c a đ ng tròn ngo i ti p ế ủ ườ ạ ế
BCE
4) Khi hai đi m ể
,B C
c đ nh và đi m ố ị ể
A
di đ ng trên đ ng tròn ộ ườ
;O R
nh ng v n th a mãn đi u ki n tam giác ư ẫ ỏ ề ệ
ABC
có ba góc nh n. Ch ng minhọ ứ
.OA EF
Xác đ nh v trí c a đi m A đ t ng ị ị ủ ể ể ổ
DE EF FD
đ t giá tr l nạ ị ớ
nh t.ấ
Câu 5. (0,5 đi m)ể
Cho ba s d ng ố ươ
, ,a b c
th a mãn ỏ
1.abc
Ch ng minh r ng :ứ ằ
Mọi thắc mắc vui lòng xin liên hệ hotline: 084 283 45 85

Đây là bản xem thử, vui lòng mua tài liệu để xem chi ết (có lời giải)
1 1 1 1
2
2 3 2 3 2 3a b b c c a
Mọi thắc mắc vui lòng xin liên hệ hotline: 084 283 45 85

Đây là bản xem thử, vui lòng mua tài liệu để xem chi ết (có lời giải)
ĐÁP ÁN
Câu 1.
2 2
1) 2 3 0 3 3 0
3 3 0 3 1 0
3
1
x x x x x
x x x x x
x
x
V y ậ
3; 1S
3 3 5 2
8 15 6 12 1
2)
2 3 3 2 2
2 3
x y x y
x y y x
x y x y y
x y
V y nghi m c a h ph ng trình là ậ ệ ủ ệ ươ
; 1; 2x y
Câu 2.
1) Rút g n bi u th c ọ ể ứ
2
2 3 27 4 2 3
2 3 9.3 3 1 2 3 3 3 3 1
3 3 1 1
A
2) Rút g n B và tìm x…………..ọ
Đi u ki n ề ệ
0, 1x x
1 1
: .
1
1 1
1
. 1 . 1 1
1
1 1
x x x x x x
B
x
x x x x
x x
x x x x
x
x x x
V i ớ
0, 1x x
ta có
0 1 0 1 1B x x x
K t h p v i đi u ki n ta có ế ợ ớ ề ệ
0 1x
thì B nh n giá tr âm.ậ ị
Mọi thắc mắc vui lòng xin liên hệ hotline: 084 283 45 85

Đây là bản xem thử, vui lòng mua tài liệu để xem chi ết (có lời giải)
Câu 3.
1) Tìm m
Vì
2; 3M d
nên thay
2, 3x y
vào ph ng trình ươ
: 2d y x m
ta có:
3 2. 2 3 4 7m m m
V y v i ậ ớ
7m
thì đ ng th ng ườ ẳ
d
đi qua đi m ể
2;3M
2) Xác đ nh m….ị
Ta có ph ng trình hoành đ giao đi m c a (P) và (d) là :ươ ộ ể ủ
2 2
2 2 2 2 0 *x x m x x m
Đ parabol (P) c t đ ng th ng ể ắ ườ ẳ
d
t i hai đi m phân bi t thì ph ng trình (*) ạ ể ệ ươ
có hai nghi m phân bi t ệ ệ
2
1
' 1 2. 0 1 2 0
2
m m m
Khi đó áp d ng h th c Vi – et ta có: ụ ệ ứ
1 2
1 2
1
2
x x
m
x x
Theo bài ra ta có:
2
1 2 1 2
2
2 2
1 2 1 2
2 2
1 2 1 2 1 2
2
2
2 2
2 2
1 2 16
1 2 2 2 16
1 4 2 16
1 4. 1 2. 16
2 2
1 4 4 16 5 11 0
4 4
20 44 0 22 2 44 0
22 2 22 0 22 2 0
22( )
2( )
x x y y
x x x x
x x x x x x
m m
m m
m m m
m m m m m
m m m m m
m ktm
m tm
V y ậ
2m
Mọi thắc mắc vui lòng xin liên hệ hotline: 084 283 45 85

Đây là bản xem thử, vui lòng mua tài liệu để xem chi ết (có lời giải)
Mọi thắc mắc vui lòng xin liên hệ hotline: 084 283 45 85
