ệ xem ể chi ti t ế (có l i ờ gi i ả ) SỞ GIÁO D C Ụ VÀ ĐÀO T O Ạ KỲ THI TUY N Ể SINH VÀO L P Ớ 10 THPT HÀ NAM Năm h c ọ 2019-2020 Môn: Toán Đ C Ề HÍNH TH C Ứ Th i
ờ gian làm bài: 120 phút
(Đề thi có 01 trang) Câu I. (2,0 đi m ể ) 1) Gi i ả phư ng t ơ rình : 2 x 5x 4 0 3 x y 3 2) Gi i ả h ph ệ ư ng t ơ
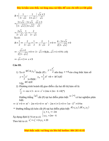
rình: 2x y 7 Câu II. (2,0 đi m ể ) A 2 4 3 45 5 1 1) Rút g n bi ọ u t ể h c ứ 5 1 1 1 x 3 B . (x 0, x 9) 2) Cho bi u t ể h c: ứ 3 x 3 x x 1 B Rút g n bi ọ u t ể h c ứ B và tìm t t ấ c các ả giá tr nguyên c ị a ủ x đ ể 2 Câu III. (1,5 đi m ể ) 2 x y Trong m t ặ ph ng t ẳ a ọ đ
ộ Oxy cho parabol (P) có phư ng t ơ rình 2 và đư ng ờ th ng ẳ d có phư ng
ơ trình : y mx 3 m (v i ớ m là tham số) 1) Tìm t a đ ọ đi ộ m ể M thu c ộ parabol (P), bi t ế đi m ể M có hoành đ b ộ ng 4 ằ 2) Ch ng ứ minh đư ng t ờ h ng ẳ d luôn c t ắ parabol (P) t i ạ hai đi m ể phân bi t ệ , A . B G i ọ x , x , A B 1 2 lần lư t ợ là hoành đ c ộ a ủ hai đi m ể . Tìm m để 2 2 x x 2 x x 20 1 2 1 2 Câu IV. (4,0 đi m ể ) 1) Cho n a đ ử ư ng t ờ ròn ; O R đư ng kí ờ nh AB. Trên cùng m t ộ n a m ử t ặ ph ng ẳ bờ AB ch a ứ n a đ ử ư ng ờ tròn ; O R vẽ các ti p ế tuy n ế Ax, By v i ớ n a ử đư ng ờ tròn đó. G i ọ M là m t ộ đi m ể b t ấ kỳ trên n a đ ử ư ng ờ tròn ; O R (v i ớ
M khác A, M khác B), ti p t ế uy n c ế a n ủ a ử đư ng t ờ ròn t i ạ M c t ắ , Ax By lần lư t ợ t i ạ C và D. a) Ch ng ứ minh t gi ứ ác ACMO n i ộ ti p ế b) Ch ng
ứ minh tam giác COD vuông t i ạ O c) Ch ng ứ minh 2 AC.BD R M i
ọ thắc mắc vui lòng xin liên hệ hotline: 084 283 45 85
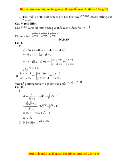
ệ xem ể chi ti t ế (có l i ờ gi i ả ) 2) Tính th t ể ích c a m ủ t
ộ hình nón có bán kính đáy r 4 c , m đ dài ộ đư ng ờ sinh l 5 c . m Câu V. (0,5 đi m ể )
Cho a,b,c là các số th c ự dư ng và t ơ h a ỏ mãn đi u ki ề n ệ abc 1 1 1 1 1 Ch ng
ứ minh : 2 a 2 b 2 c ĐÁP ÁN Câu I. 1) 2 2 x 5x 4 0
x 4x x 4 0
x x 4 x 4 0 x 1 0 x 1 x 1 x 4 0 x 4 0 x 4 V y ậ S 1; 4 3 x y 3 5 x 10 x 2 2) 2x y 7 y 3x 3 y 3 V y ậ h ph ệ ư ng t ơ rình có nghi m ệ duy nh t ấ ; x y 2;3 Câu II. 1) A 2 4 3 45 5 1 5 1 4 5 1 3 9.5 5 1 5 1 5 1 9 5 5 1 7 5 2) Đi u ki ề
ện x 0, x 9 M i
ọ thắc mắc vui lòng xin liên hệ hotline: 084 283 45 85
ệ xem ể chi ti t ế (có l i ờ gi i ả ) 1 1 x 3 B . 3 x 3 x x
3 x 3 x x 3 .
3 x.3 x x 2 x 1 2 . 3 x x 3 x Ta có: 1 2 1 2 1 4 3 x B 0 0 2 3 x 2 3 x 2 23 x x 1 0 3 x 0( ... do x 1 0 x 0) 2 3 x
x 3 x 9 Câu III. 2 x y
1) Ta có M 4; yM thu c ộ (P) : 2 nên thay x 4 vào công th c hàm ứ số 1 1 2 y x 2 y .4 8 M M 4;8 2 ta đư c: ợ 2 V y ậ M 4;8 2) Phư ng ơ trình hoành đ gi ộ ao đi m ể c a ủ hai đ t ồ h hàm ị số là: 2 x 2
mx 3 m x 2mx 2m 6 0( *) 2 Đư ng ờ th ng ẳ d c t ắ (P) t i ạ hai đi m ể phân bi t
ệ * có hai nghiệm phân biệt. m
m m m m 2 2 2 ' 0 2 6 0 2 1 5 0 1 0 m Đư ng ờ th ng ( ẳ d) luôn c t ắ (P) t i ạ hai đi m ể phân bi t
ệ A x ; y ; B x ; y 1 1 2 2
x x 2m 1 2 Áp d ng ụ đ nh l ị ý Vi-et ta có: x x 2 m 6 1 2 2 2
Theo bài ta có: x x 2 x x 20 1 2 1 2 M i
ọ thắc mắc vui lòng xin liên hệ hotline: 084 283 45 85
ệ xem ể chi ti t ế (có l i ờ gi i ả ) 2 2
x x 2x x 4x x 20 0 1 2 1 2 1 2
x x 2 4x x 20 0 1 2 1 2
2m 2 4 2m 6 20 0 2
4m 8m 4 0
m 2m 1 0 m 2 2 1 0 m 1 0 m 1 V y ậ m 1 th a m ỏ ãn bài toán M i
ọ thắc mắc vui lòng xin liên hệ hotline: 084 283 45 85
Đề thi vào 10 môn Toán tỉnh Hà Nam năm 2020
536
268 lượt tải
MUA NGAY ĐỂ XEM TOÀN BỘ TÀI LIỆU
CÁCH MUA:
- B1: Gửi phí vào TK:
1133836868- CT TNHH DAU TU VA DV GD VIETJACK - Ngân hàng MB (QR) - B2: Nhắn tin tới Zalo VietJack Official ( nhấn vào đây ) để xác nhận thanh toán và tải tài liệu - giáo án
Liên hệ ngay Hotline hỗ trợ: 084 283 45 85
Đề thi được cập nhật liên tục trong gói này từ nay đến hết tháng 6/2023. Chúng tôi đảm bảo đủ số lượng đề đã cam kết hoặc có thể nhiều hơn, tất cả có BẢN WORD, LỜI GIẢI CHI TIẾT và tải về dễ dàng.
Để tải tài liệu gốc về máy bạn click vào nút Tải Xuống ở trên!
Thuộc bộ (mua theo bộ để tiết kiệm hơn):
- Tailieugiaovien.com.vn giới thiệu bộ 63 đề thi vào 10 môn Toán hệ không chuyên năm 2020 nhằm giúp Giáo viên có thêm tài liệu tham khảo đề luyện thi Toán ôn luyện
- File word có lời giải chi tiết 100%.
- Mua trọn bộ sẽ tiết kiệm hơn tải lẻ 50%.
Đánh giá
4.6 / 5(536 )5
4
3
2
1
Trọng Bình
Tài liệu hay
Giúp ích cho tôi rất nhiều
Duy Trần
Tài liệu chuẩn
Rất thích tài liệu bên VJ soạn (bám sát chương trình dạy)
TÀI LIỆU BỘ BÁN CHẠY MÔN Toán Học
Xem thêmTÀI LIỆU BỘ BÁN CHẠY Ôn vào 10
Xem thêmTài liệu bộ mới nhất

Đây là b nả xem thử, vui lòng mua tài li u đ xem chi ti t (có l i gi i)ệ ể ế ờ ả
S GIÁO D C VÀ ĐÀO T OỞ Ụ Ạ
HÀ NAM
Đ CHÍNH TH CỀ Ứ
KỲ THI TUY N SINH VÀO L P 10 THPTỂ Ớ
Năm h c 2019-2020ọ
Môn: Toán
Th i gian làm bài: 120 phútờ
(Đ thi có 01 trang)ề
Câu I. (2,0 đi m)ể
1) Gi i ph ng trình : ả ươ
2
5 4 0x x
2) Gi i h ph ng trình: ả ệ ươ
3 3
2 7
x y
x y
Câu II. (2,0 đi m)ể
1) Rút g n bi u th c ọ ể ứ
2
4
3 45 5 1
5 1
A
2) Cho bi u th c: ể ứ
1 1 3
. ( 0, 9)
3 3
x
B x x
x x x
Rút g n bi u th c ọ ể ứ
B
và tìm t t c các giá tr nguyên c a ấ ả ị ủ
x
đ ể
1
2
B
Câu III. (1,5 đi m)ể
Trong m t ph ng t a đ ặ ẳ ọ ộ
Oxy
cho parabol (P) có ph ng trình ươ
2
2
x
y
và
đ ng th ng ườ ẳ
d
có ph ng trình : ươ
3y mx m
(v i ớ
m
là tham s )ố
1) Tìm t a đ đi m ọ ộ ể
M
thu c parabol (P), bi t đi m ộ ế ể
M
có hoành đ b ng 4ộ ằ
2) Ch ng minh đ ng th ng ứ ườ ẳ
d
luôn c t parabol (P) t i hai đi m phân bi tắ ạ ể ệ
, .A B
G i ọ
1 2
,x x
l n l t là hoành đ c a hai đi m ầ ượ ộ ủ ể
,A B
. Tìm
m
để
2 2
1 2 1 2
2 20x x x x
Câu IV. (4,0 đi m)ể
1) Cho n a đ ng tròn ử ườ
;O R
đ ng kính AB. Trên cùng m t n a m t ph ngườ ộ ử ặ ẳ
b AB ch a n a đ ng tròn ờ ứ ử ườ
;O R
v các ti p tuy n ẽ ế ế
,Ax By
v i n a ớ ử
đ ng tròn đó. G i ườ ọ
M
là m t đi m b t kỳ trên n a đ ng tròn ộ ể ấ ử ườ
;O R
(v iớ
M
khác A, M khác B), ti p tuy n c a n a đ ng tròn t i M c t ế ế ủ ử ườ ạ ắ
,Ax By
l nầ
l t t i ượ ạ
C
và D.
a) Ch ng minh t giác ứ ứ
ACMO
n i ti pộ ế
b) Ch ng minh tam giác ứ
COD
vuông t i Oạ
c) Ch ng minh ứ
2
.AC BD R
M iọ th c m c vui lòng xin liên hắ ắ ệ hotline: 084 283 45 85

Đây là b nả xem thử, vui lòng mua tài li u đ xem chi ti t (có l i gi i)ệ ể ế ờ ả
2) Tính th tích c a m t hình nón có bán kính đáy ể ủ ộ
4 ,r cm
đ dài đ ng sinhộ ườ
5 .l cm
Câu V. (0,5 đi m) ể
Cho
, ,a b c
là các s th c d ng và th a mãn đi u ki n ố ự ươ ỏ ề ệ
1abc
Ch ng minh :ứ
1 1 1
1
2 2 2a b c
ĐÁP ÁN
Câu I.
1)
2 2
5 4 0 4 4 0
4 4 0
1 0 1
1 4 0
4 0 4
x x x x x
x x x
x x
x x
x x
V y ậ
1;4S
3 3 5 10 2
2)
2 7 3 3 3
x y x x
x y y x y
V y h ph ng trình có nghi m duy nh t ậ ệ ươ ệ ấ
; 2;3x y
Câu II.
1)
2
4
3 45 5 1
5 1
4 5 1
3 9.5 5 1
5 1
5 1 9 5 5 1
7 5
A
2) Đi u ki n ề ệ
0, 9x x
M iọ th c m c vui lòng xin liên hắ ắ ệ hotline: 084 283 45 85

Đây là b nả xem thử, vui lòng mua tài li u đ xem chi ti t (có l i gi i)ệ ể ế ờ ả
1 1 3
.
3 3
3 3 3
.
3 . 3
2 1 2
.
3 3
x
B
x x x
x x x
x
x x
x
x x x
Ta có:
1 2 1 2 1 4 3
0 0
2 2 2
3 3
2 3
1
0 3 0( ... 1 0 0)
2 3
3 9
x
B
x x
x
x
x do x x
x
x x
Câu III.
1) Ta có
4;
M
M y
thu c (P) : ộ
2
2
x
y
nên thay
4x
vào công th c hàm sứ ố
2
1
2
y x
ta đ c: ượ
2
1
.4 8 4;8
2
M
y M
V y ậ
4;8M
2) Ph ng trình hoành đ giao đi m c a hai đ th hàm s là:ươ ộ ể ủ ồ ị ố
2
2
3 2 2 6 0(*)
2
x
mx m x mx m
Đ ng th ng ườ ẳ
d
c t (P) t i hai đi m phân bi t ắ ạ ể ệ
*
có hai nghi m phânệ
bi t.ệ
2
2 2
' 0 2 6 0 2 1 5 0 1 0m m m m m m
Đ ng th ng (d) luôn c t (P) t i hai đi m phân bi t ườ ẳ ắ ạ ể ệ
1 1 2 2
; ; ;A x y B x y
Áp d ng đ nh lý Vi-et ta có: ụ ị
1 2
1 2
2
2 6
x x m
x x m
Theo bài ta có:
2 2
1 2 1 2
2 20x x x x
M iọ th c m c vui lòng xin liên hắ ắ ệ hotline: 084 283 45 85

Đây là b nả xem thử, vui lòng mua tài li u đ xem chi ti t (có l i gi i)ệ ể ế ờ ả
2 2
1 2 1 2 1 2
2
1 2 1 2
2
2
2
2
2 4 20 0
4 20 0
2 4 2 6 20 0
4 8 4 0
2 1 0 1 0
1 0 1
x x x x x x
x x x x
m m
m m
m m m
m m
V yậ
1m
th a mãn bài toán ỏ
M iọ th c m c vui lòng xin liên hắ ắ ệ hotline: 084 283 45 85

Đây là b nả xem thử, vui lòng mua tài li u đ xem chi ti t (có l i gi i)ệ ể ế ờ ả
Câu IV.
1)
a) Do AC là ti p tuy n c a đ ng tròn (O) t i Aế ế ủ ườ ạ
0
90OAC
MC là ti p tuy n c a đ ng tròn (O) t i M ế ế ủ ườ ạ
0
90OMC
Xét t giác ứ
ACMO
có
0 0 0
90 90 180OAC OMC
T giác ứ
ACMO
là t ứ
giác n i ti p.ộ ế
b) Áp d ng tính ch t hai ti p tuy n c t nhau ta có:ụ ấ ế ế ắ
OC là tia phân giác c a ủ
AOM
OD là tia phân giác c a ủ
BOM
Mà
,AOM BOM
là hai góc k bù ề
OC OD
(hai tia phân giác c a hai góc k ủ ề
bù thì vuông góc v i nhau)ớ
0
90COD
hay
COD
vuông t i O.ạ
c) Áp d ng h th c l ng trong tam giác vuông ụ ệ ứ ượ
ODC
vuông t i O có ạ
đ ng cao OM ta có ườ
2
.OM MC MD
mà
2
. (1)OM R MC MD R
Áp d ng tính ch t 2 ti p tuy n c t nhau ta có: ụ ấ ế ế ắ
. (2)AC MC BD MD
T (1) và (2) suy ra ừ
2
.AC BD R
M iọ th c m c vui lòng xin liên hắ ắ ệ hotline: 084 283 45 85
