SỞ GIÁO D C Ụ VÀ ĐÀO T O Ạ KỲ THI TUY N Ể SINH L P Ớ 10 THPT HÀ N I Ộ NĂM H C Ọ 2020-2021 Khóa ngày 17/7/2020 Đ C Ề HÍNH TH C Ứ Đ th ề i môn: TOÁN Ngày thi: 18/07/2020 Th i
ờ gian làm bài: 120 phút Bài I. (2,0 đi m) ể x 1 3 x 5 A B Cho hai bi u ể th c ứ x 2 và x 1 x 1 v i ớ x 0 , x 1 1) Tính giá trị c a ủ bi u ể th c ứ A khi x 4 2 B 2) Ch ng ứ minh x 1 3) Tìm tất cả giá tr ị c a ủ x đ ể bi u ể th c ứ P 2
AB x đạt giá trị nh ỏ nh t ấ Bài II. (2,0 đi m ể )
1) Giải bài toán sau b ng ằ cách l p ậ phư ng ơ trình ho c ặ h ệ phư ng ơ trình Quãng đư ng ờ t ừ nhà An đ n
ế nhà Bình dài 3k .
m Buổi sáng, An đi b ộ t ừ nhà An đ n ế nhà Bình. Buổi chi u
ề cùng ngày, An đi xe đ p ạ t ừ nhà Bình v
ề nhà An trên cùng quãng đư ng ờ đó v i ớ v n ậ tốc l n ớ h n ơ v n ậ t c ố đi b ộ c a
ủ An là 9km / .
h Tính vận tốc đi b ộ c a ủ An, bi t ế th i ờ gian đi buổi chi u ề ít h n ơ th i ờ gian đi bu i
ổ sáng là 45phút. (Giả định rằng An đi b ộ v i ớ vận tốc không đổi trên toàn b ộ quãng đư ng ờ đó). 2) M t ộ quả bóng bàn có d ng ạ m t ộ hình c u ầ có bán kính b ng ằ 2c . m Tính di n ệ tích b ề mặt c a
ủ quả bóng bàn đó (l y ấ 3 ,14). Bài III. (2,5 đi m ể ) 3 2x 5 y 1 1 4x 3 1) Giải h ệ phư ng ơ trình: y 1 d y m x 2) Trong mặt phẳng t a ọ đ ộ Oxy, xét đư ng ờ thẳng : 4 v i ớ m 0 d a) G i ọ A là giao đi m ể c a ủ đư ng ờ th ng ẳ và tr c ụ O . y Tìm t a ọ đ ộ đi m ể A d b) Tìm tất cả giá tr ị c a ủ m đ ể đư ng ờ thẳng cắt tr c ụ Ox tại đi m ể B sao cho O
AB là tam giác cân Bài IV. (3,0 đi m ể )
Cho tam giác ABC có ba góc nh n ọ và đư ng ờ cao BE.G i
ọ H và K lần lư t ợ là chân các đư ng ờ vuông góc k ẻ t ừ đi m ể E đ n ế đư ng ờ thẳng AB, BC 1) Ch ng ứ minh t ứ giác BHEK là t ứ giác n i ộ ti p ế 2) Ch ng ứ
minh BH.BA BK.BC
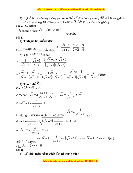
3) G i
ọ F là chân đư ng ờ vuông góc k ẻ t ừ đi m ể C đ n ế đư ng ờ
thẳng AB và I là trung đi m ể c a ủ đoạn th ng ẳ EF.Ch ng ứ minh ba đi m ể
H , I, K là ba đi m ể th ng ẳ hàng Bài V. (0,5 đi m ể ) 2 Giải phư ng ơ
trình: x 3x 2 x 1 ĐÁP ÁN Bài I. 1) Tính giá tr bi ị u t ể h c…. ứ 4 1 2 1 3 A Thay x 4 (tmdk) vào bi u t ể h c ứ 4 2 2 2 4 2) V i ớ x 0 , x 1 ta có: 3 x
x 1 x 5 3 5 B x 1 x 1
x 1 x 1 2 x x x x 1 3 3 5 2 2 2 )(dfcm)
x 1 x 1 x 1 x 1 x 1 x 1 x 1
3) Tìm x đ ể Pmin V i ớ x 0 ; x 1 ta có: x 1 2 4 P 2 AB x 2. . x x x 2 x 1 x 2 4
P x 2 2 x 2 4 x 2; Áp d ng
ụ BĐT Cô – si cho hai s d ố ư ng ơ x 2 , ta có: 4 x x 4 2 2 2 . 2 4 4 x 2 x 2 4 x 2 2 2 x 2 x x 2 4 2 2 4 x 2 2 x 0( tm) Dấu " " x y ả ra x 2 V y ậ P 2 x 0 min Bài II.
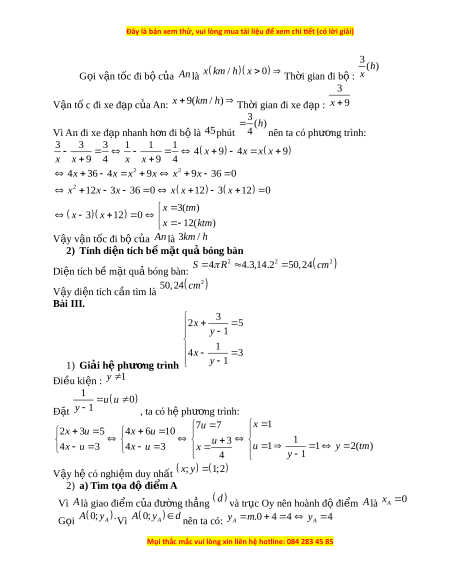
1) Giải bài toán b ng cách ằ l p ph ậ ư ng ơ trình
3 (h) G i ọ v n t ậ ốc đi b c ộ a
ủ An là x km / h x 0 Th i ờ gian đi b : ộ x 3 V n ậ tố c đi xe đ p c ạ a
ủ An: x 9(km / h) Th i ờ gian đi xe đ p : ạ x 9 3 (h) Vì An đi xe đ p nhanh h ạ n ơ đi b l ộ à 45phút 4 nên ta có phư ng ơ trình: 3 3 3 1 1 1
4 x 9 4x x x 9 x x 9 4 x x 9 4 2 2
4x 36 4x x 9x x 9x 36 0 2
x 12x 3x 36 0
x x 12 3 x 12 0 x 3 (tm)
x 3 x 12 0
x 12(ktm) V y ậ v n t ậ ốc đi b c ộ a
ủ An là 3km / h 2) Tính di n t ệ ích b m ề t ặ qu bó ả ng bàn 2 2 2 S 4 R 4.3 ,14.2 50 ,24 cm Di n t ệ ích b m ề t ặ qu bóng bàn: ả 2 50,24 cm V y ậ di n t ệ ích c n t ầ ìm là Bài III. 3 2x 5 y 1 1 4x 3 1) Giải h p ệ hư ng t ơ rình y 1 Đi u ki ề n : ệ y 1 1 u u 0 Đ t ặ y 1 , ta có hệ phư ng t ơ rình: 7u 7 x 1 2x 3u 5 4x 6u 10 u 3 1 4x u 3 4x u 3 x u 1 1 y 2( tm) 4 y 1 V y ậ h có nghi ệ m ệ duy nh t ấ ; x y 1;2 2) a) Tìm t a đ ọ ộ đi m ể A Vì A là giao đi m ể c a ủ đư ng t ờ h ng ẳ d và tr c ụ Oy nên hoành đ đi ộ m ể A là x 0 A G i
ọ A 0; y .
A 0; y d y m y A Vì A nên ta có: .0 4 4 4 A A
V y
ậ A 0;4 là giao đi m ể c a đ ủ ư ng ờ th ng ẳ d và tr c O ụ y b) Tìm tât c các ả giá tr c ị a m ủ …. Vì B là giao đi m ể c a ủ d c t ắ tr c
ụ Ox nên tung độ đi m ể B là y y 0 B 4 0 .
m x 4 x m 0 B B G i
ọ B x ;0 ; B x ;0 d B
vì B nên ta có: m 4 4 B ;0 AB Suy ra m m
Theo câu a) ta có: A 0;4 nên OA 4 4 4 OA O B 4 Vì O AB cân t i ạ O nên m 4 4 4m 4
m 1(tm) m 4 4m 4 m 1 (tm) 4 m V y
ậ m 1;m 1 th a m ỏ ãn bài toán Bài IV.
Đề thi vào 10 môn Toán tỉnh Hà Nội (Hệ không chuyên) năm 2021
541
271 lượt tải
MUA NGAY ĐỂ XEM TOÀN BỘ TÀI LIỆU
CÁCH MUA:
- B1: Gửi phí vào TK:
1133836868- CT TNHH DAU TU VA DV GD VIETJACK - Ngân hàng MB (QR) - B2: Nhắn tin tới Zalo VietJack Official ( nhấn vào đây ) để xác nhận thanh toán và tải tài liệu - giáo án
Liên hệ ngay Hotline hỗ trợ: 084 283 45 85
Đề thi được cập nhật liên tục trong gói này từ nay đến hết tháng 6/2023. Chúng tôi đảm bảo đủ số lượng đề đã cam kết hoặc có thể nhiều hơn, tất cả có BẢN WORD, LỜI GIẢI CHI TIẾT và tải về dễ dàng.
Để tải tài liệu gốc về máy bạn click vào nút Tải Xuống ở trên!
Thuộc bộ (mua theo bộ để tiết kiệm hơn):
- Tailieugiaovien.com.vn giới thiệu bộ 69 đề thi vào 10 môn Toán hệ không chuyên mới nhất năm 2021 nhằm giúp Giáo viên có thêm tài liệu tham khảo đề luyện thi Toán ôn luyện vào 1
- File word có lời giải chi tiết 100%.
- Mua trọn bộ sẽ tiết kiệm hơn tải lẻ 50%.
Đánh giá
4.6 / 5(541 )5
4
3
2
1
Trọng Bình
Tài liệu hay
Giúp ích cho tôi rất nhiều
Duy Trần
Tài liệu chuẩn
Rất thích tài liệu bên VJ soạn (bám sát chương trình dạy)
TÀI LIỆU BỘ BÁN CHẠY MÔN Toán Học
Xem thêmTÀI LIỆU BỘ BÁN CHẠY Ôn vào 10
Xem thêmTài liệu bộ mới nhất

Đây là bản xem thử, vui lòng mua tài liệu để xem chi ết (có lời giải)
S GIÁO D C VÀ ĐÀO T OỞ Ụ Ạ
HÀ N IỘ
Đ CHÍNH TH C Ề Ứ
KỲ THI TUY N SINH L P 10 THPTỂ Ớ
NĂM H C 2020-2021Ọ
Khóa ngày 17/7/2020
Đ thi môn: TOÁNề
Ngày thi: 18/07/2020
Th i gian làm bài: 120 phút ờ
Bài I. (2,0 đi m)ể
Cho hai bi u th c ể ứ
1
2
x
A
x
và
3 5
1
1
x
B
x
x
v i ớ
0, 1x x
1) Tính giá tr c a bi u th c ị ủ ể ứ
A
khi
4x
2) Ch ng minh ứ
2
1
B
x
3) Tìm t t c giá tr c a ấ ả ị ủ
x
đ bi u th c ể ể ứ
2P AB x
đ t giá tr nh nh t ạ ị ỏ ấ
Bài II. (2,0 đi m)ể
1) Gi i bài toán sau b ng cách l p ph ng trình ho c h ph ng trìnhả ằ ậ ươ ặ ệ ươ
Quãng đ ng t nhà ườ ừ
An
đ n nhà Bình dài ế
3 .km
Bu i sáng, An đi b t nhà An đ n nhà Bình. ổ ộ ừ ế
Bu i chi u cùng ngày, An đi xe đ p t nhà Bình v nhà An trên cùng quãng đ ng đó v i v n ổ ề ạ ừ ề ườ ớ ậ
t c l n h n v n t c đi b c a ố ớ ơ ậ ố ộ ủ
An
là
9 / .km h
Tính v n t c đi b c a ậ ố ộ ủ
,An
bi t th i ế ờ
gian
đi
bu i chi u ít h n th i gian đi bu i sáng là ổ ề ơ ờ ổ
45
phút. (Gi đ nh r ng ả ị ằ
An
đi b v i v n t c khôngộ ớ ậ ố
đ i trên toàn b quãng đ ng đó).ổ ộ ườ
2) M t qu bóng bàn có d ng m t hình c u có bán kính b ng ộ ả ạ ộ ầ ằ
2 .cm
Tính di n tích b m t ệ ề ặ
c a qu bóng bàn đó (l y ủ ả ấ
3,14).
Bài III. (2,5 đi m)ể
1) Gi i h ph ng trình: ả ệ ươ
3
2 5
1
1
4 3
1
x
y
x
y
2) Trong m t ph ng t a đ ặ ẳ ọ ộ
,Oxy
xét đ ng th ng ườ ẳ
: 4d y mx
v i ớ
0m
a) G i ọ
A
là giao đi m c a đ ng th ng ể ủ ườ ẳ
d
và tr c ụ
.Oy
Tìm t a đ đi m ọ ộ ể
A
b) Tìm t t c giá tr c a ấ ả ị ủ
m
đ đ ng th ng ể ườ ẳ
d
c t tr c ắ ụ
Ox
t i đi m B sao choạ ể
OAB
là tam giác cân
Bài IV. (3,0 đi m)ể
Cho tam giác
ABC
có ba góc nh n và đ ng cao ọ ườ
.BE
G i ọ
H
và
K
l n l t là chân các ầ ượ
đ ng vuông góc k t đi m ườ ẻ ừ ể
E
đ n đ ng th ng ế ườ ẳ
,AB BC
1) Ch ng minh t giác ứ ứ
BHEK
là t giác n i ti pứ ộ ế
2) Ch ng minh ứ
. .BH BA BK BC
Mọi thắc mắc vui lòng xin liên hệ hotline: 084 283 45 85

Đây là bản xem thử, vui lòng mua tài liệu để xem chi ết (có lời giải)
3) G i ọ
F
là chân đ ng vuông góc k t đi m ườ ẻ ừ ể
C
đ n đ ng th ng ế ườ ẳ
AB
và
I
là trung đi m ể
c a đo n th ng ủ ạ ẳ
.EF
Ch ng minh ba đi m ứ ể
, ,H I K
là ba đi m th ng hàngể ẳ
Bài V. (0,5 đi m) ể
Gi i ph ng trình: ả ươ
2
3 2 1x x x
ĐÁP ÁN
Bài I.
1) Tính giá tr bi u th c….ị ể ứ
Thay
4( )x tmdk
vào bi u th c ể ứ
4 1 2 1 3
2 2 4
4 2
A
2) V i ớ
0, 1x x
ta có:
3 1 5
3 5
1
1
1 1
2 1
3 3 5 2 2 2
)( )
1
1 1 1 1 1 1
x x
x
B
x
x
x x
x
x x x
dfcm
x
x x x x x x
3) Tìm
x
đ ể
min
P
V i ớ
0; 1x x
ta có:
1 2 4
2 2. .
2 1 2
4
2 2
2
x
P AB x x x
x x x
P x
x
Áp d ng BĐT Cô – si cho hai s d ng ụ ố ươ
4
2;
2
x
x
, ta có:
4 4
2 2 2 . 2 4 4
2 2
4
2 2 2
2
x x
x x
x
x
D u ấ
" "
x y ra ả
2
4
2 2 4 2 2 0( )
2
x x x x tm
x
V y ậ
min
2 0P x
Bài II.
1) Gi i bài toán b ng cách l p ph ng trìnhả ằ ậ ươ
Mọi thắc mắc vui lòng xin liên hệ hotline: 084 283 45 85

Đây là bản xem thử, vui lòng mua tài liệu để xem chi ết (có lời giải)
G i v n t c đi b c a ọ ậ ố ộ ủ
An
là
/ 0x km h x
Th i gian đi b : ờ ộ
3
( )h
x
V n t c đi xe đ p c a An: ậ ố ạ ủ
9( / )x km h
Th i gian đi xe đ p : ờ ạ
3
9x
Vì An đi xe đ p nhanh h n đi b là ạ ơ ộ
45
phút
3
( )
4
h
nên ta có ph ng trình:ươ
2 2
2
3 3 3 1 1 1
4 9 4 9
9 4 9 4
4 36 4 9 9 36 0
12 3 36 0 12 3 12 0
3( )
3 12 0
12( )
x x x x
x x x x
x x x x x x
x x x x x x
x tm
x x
x ktm
V y v n t c đi b c a ậ ậ ố ộ ủ
An
là
3 /km h
2) Tính di n tích b m t qu bóng bànệ ề ặ ả
Di n tích b m t qu bóng bàn: ệ ề ặ ả
2 2 2
4 4.3,14.2 50,24S R cm
V y di n tích c n tìm là ậ ệ ầ
2
50,24 cm
Bài III.
1) Gi i h ph ng trình ả ệ ươ
3
2 5
1
1
4 3
1
x
y
x
y
Đi u ki n : ề ệ
1y
Đ t ặ
1
0
1
u u
y
, ta có h ph ng trình:ệ ươ
1
7 7
2 3 5 4 6 10
1
3
1 1 2( )
4 3 4 3
1
4
x
u
x u x u
u
u y tm
x u x u
x
y
V y h có nghi m duy nh t ậ ệ ệ ấ
; 1;2x y
2) a) Tìm t a đ đi m Aọ ộ ể
Vì
A
là giao đi m c a đ ng th ng ể ủ ườ ẳ
d
và tr c Oy nên hoành đ đi m ụ ộ ể
A
là
0
A
x
G i ọ
0; .
A
A y
Vì
0;
A
A y d
nên ta có:
.0 4 4 4
A A
y m y
Mọi thắc mắc vui lòng xin liên hệ hotline: 084 283 45 85

Đây là bản xem thử, vui lòng mua tài liệu để xem chi ết (có lời giải)
V y ậ
0;4A
là giao đi m c a đ ng th ng ể ủ ườ ẳ
d
và tr c Oyụ
b) Tìm tât c các giá tr c a m….ả ị ủ
Vì
B
là giao đi m c a ể ủ
d
c t tr c ắ ụ
Ox
nên tung đ đi m ộ ể
B
là y
0
B
y
G i ọ
;0 ;
B
B x
vì
;0
B
B x d
nên ta có:
4
0 . 4 0
B B
m x x m
m
Suy ra
4 4
;0B AB
m m
Theo câu a) ta có:
0;4A
nên
4 4OA
Vì
OAB
cân t i O nên ạ
4
4OA OB
m
4
4
4 4 1( )
4 4 4 1( )
4
m m tm
m
m m tm
m
V y ậ
1; 1m m
th a mãn bài toán ỏ
Bài IV.
Mọi thắc mắc vui lòng xin liên hệ hotline: 084 283 45 85

Đây là bản xem thử, vui lòng mua tài liệu để xem chi ết (có lời giải)
1) Ch ng minh ứ
BHEK
là t giác n i ti p ứ ộ ế
Ta có :
0 0
90 , 90BHE do EH AB BKE do EK BC
T giác ứ
BHEK
có
0 0 0
90 90 180BHE BKE
nên là t giác n i ti p (t giác có t ng ứ ộ ế ứ ổ
hai góc đ i b ng ố ằ
0
180 ) dfcm
2) Ch ng minh ứ
. .BH BA BK BC
Theo câu a) t giác ứ
BHEK
n i ti p nên ộ ế
BKH BEH
(cùng ch n cung ắ
)BH
Ta có:
0
90 (BEH EBH do BHE
vuông t i H)ạ
0
90 (BAE EBH do ABE
vuông t i E) nên ạ
BEH BAE
(cùng ph v i ụ ớ
)EBH
Mà
( )BKH BEH cmt
nên
BKH BAE BEH
Xét
BHK
và
BCA
có:
ABC
chung;
( ) ( . )BKH BAE BAC cmt BHK BCA g g
BH BK
BC BA
(hai c p c nh t ng ng t l )ặ ạ ươ ứ ỉ ệ
. .BH BA BC BK
c) Ch ng minh ứ
, ,H I K
th ng hàngẳ
G i ọ
'I
là giao đi m c a ể ủ
HK
và
EF
Xét t giác ứ
BFEC
có :
0
90 ( )BFC BEC gt
nên là t giác n i ti p (t giác có 2 đ nh kứ ộ ế ứ ỉ ề
nhau nhìn 1 c nh d i các góc b ng nhau)ạ ướ ằ
1 1
B F
(cùng ch n ắ
)EC
Ta có:
/ /EH CF
(cùng vuông góc v i ớ
1 1
)AB F E
(so le trong) do đó
1 1
1B E
Theo câu a, t giác ứ
BHEK
n i ti p nên ộ ế
1 1
B H
(cùng ch n ắ
) 2EK
T (1) và (2) ta suy ra ừ
1 1
H E
'I HE
có
1 1
H E
nên là tam giác cân
' ' 3I H I E
L i có: ạ
0
1 2
90H H BHE
;
0
2 1
90 (F E do HFE
vuông t i H)ạ
Nên
2 2
H F
hay tam giác
'I HF
cân t i ạ
' ' ' 4I I H I F
T ừ
3
và
4 ' 'I E I F
hay
I
là trung đi m ể
EF
Do đó
'I I
nên ba đi m ể
, ,H I K
th ng hàng (đpcm)ẳ
Bài V.
Ta có:
Mọi thắc mắc vui lòng xin liên hệ hotline: 084 283 45 85
