SỞ GIÁO D C Ụ VÀ ĐÀO T O Ạ Đ Ề THI TUY N Ể SINH L P Ớ 10 THPT H I Ả DƯ N Ơ G NĂM HỌC 2020-2021 Môn thi: TOÁN Đ C Ề HÍNH TH C Ứ Th i
ờ gian làm bài :120 phút Câu 1. (2,0 đi m ể ) 1) Giải các phư ng ơ trình sau x 1 8 a)
x 2 x 3 0 b) 2) Cho phư ng ơ 2
trình x 3x 1 0 .G i ọ x x 1 và 2 là hai nghi m ệ c a ủ phư ng ơ trình. 2 2 Hãy tính giá tr ị bi u ể th c
ứ A x x 1 2 Câu 2. (2,0 đi m ể ) x 1 2 6 A : 1 x 0 a) Rút g n ọ bi u ể th c ứ : x 3 x x 3 x x 3 x M 1;4 b) Vi t ế phư ng ơ trình đư ng ờ thẳng đi qua đi m ể và song song v i ớ đư ng ờ thẳng y 2 x 1 Câu 3. (2,0 đi m ể ) a) M t ộ đoàn xe nh n ậ ch ở 480 t n ấ hàng. Khi s p ắ kh i
ở hành, đoàn có thêm 3 xe n a ữ nên mỗi xe ch ở ít h n ơ 8 t n ấ so v i ớ d ự đ nh. ị H i ỏ lúc đ u ầ đoàn xe có bao nhiêu chi c ế ? Bi t ế r ng ằ các xe ch ở kh i ố lư ng ợ hàng b ng ằ nhau m 1 x y 3
m : mx y m b) Cho h ệ phư ng ơ trình v i ớ tham s ố x ; y Tìm m đ ể h ệ phư ng ơ trình có nghi m ệ duy nh t ấ x y 0 0 0 th a ỏ mãn 0 0 Câu 4. (3,0 đi m ể ) O; R Cho A BC có ba góc nh n ọ n i ộ ti p ế đư ng ờ tròn . G i
ọ D, E, F là chân các đư ng ờ cao l n ầ lư t ợ thu c ộ các c nh ạ BC,C ,
A AB và H là tr c ự tâm c a ủ A BC. V ẽ đư ng ờ kính AK a) Ch ng ứ minh t
ứ giác BHCK là hình bình hành b) Trong trư ng ờ h p ợ A
BC không cân, g i ọ M là trung đi m ể c a ủ BC. Hãy ch ng ứ
minh FC là phân giác c a ủ DFE và 4 đi m
ể M , D, F, E cùng nằm trên m t ộ đư ng ờ tròn. ; O R c) Khi BC và đư ng ờ tròn c ố định, đi m ể
A thay đổi trên đư ng ờ tròn sao cho A BC luôn nh n, ọ đặt BC . a Tìm vị trí c a ủ đi m ể A đ ể tổng P D
E EF DF l n
ớ nhất và tìm giá tr ịl n ớ nh t
ấ đó theo a và R Câu 5. (1,0 đi m ể )
Cho ba s ố th c ự dư ng ơ a, , b c th a ỏ mãn abc 1 1 1 1 1 2 2 2 2 2 2 Ch ng ứ
minh rằng: a 2b 3 b 2c 3 c 2a 3 2 ĐÁP ÁN Câu 1 x 1 8 x 9 1)a) x 1 8 x 1 8 x 7 V y ậ t p nghi ậ m ệ c a ph ủ ư ng ơ trình là S 9; 7 b x x 2 ) 2 3 0
x 2x 3 0 x 1 x 3 Phư ng ơ trình có d ng
ạ a b c 1 2 3 0 nên có hai nghiệm V y ậ S 1; 3 2) Xét phư ng t ơ rình 2 x 3x 1 0 có 2 3 4.1.1 5 0 nên phư ng t ơ rình luôn có hai nghiệm phân bi t ệ . Áp d ng đ ụ nh l ị ý Vi – et ta có: x x 3 1 2 x x 1 1 2
A x x
x x 2 2 2 2 2x x 3 2.1 7 1 2 1 2 1 2 V y ậ A 7 Câu 2. a) Rút g n bi ọ u t ể h c ứ
x 1 2 6 A : 1 x 3 x x 3 x x 3 x
x 3 x 2 x x x 3 6 : x x 3
x. x 3 x x 3 x. x x x 3 x x . 1
x. x 3 x 3 x 2 x 6 6 x x b) Vi t ế phư ng t ơ rình đư ng ờ th ng đ ẳ i qua đi m
ể M 1;4 và song song v i ớ đư n t ờ h ng ẳ y 2 x 1 G i ọ d là đư ng t ờ h ng ẳ c n t ầ ìm Vì d song song v i ớ đư ng ờ th ng ẳ y 2 x 1nên phư ng ơ trình đư ng ờ th ng ẳ d có d ng ạ y 2
x c c 1
Vì M 1;4 d nên thay t a đ ọ đi ộ m ể M vào phư ng ơ trình đư ng ờ th ng ẳ d ta có: 4 2. 1 c x 6( tm) V y ậ phư ng t ơ rình đư ng t ờ h ng ẳ c n t ầ ìm là y 2 x 6 Câu 3. a) Tính s xe ? ố G i ọ số xe lúc đ u c ầ a đoàn xe ủ là x (chi c) ế , x * 480 Lúc đ u m ầ ỗi xe chở s t ố n hàng l ấ à : x (tấn) Khi kh i
ở hành có thêm 3 xe nên s xe l ố úc sau là x 3(xe) 480 Lúc sau mỗi xe chở s t ố n hàng l ấ à : x 3 (tấn) Vì lúc sau mỗi xe ch í ở t h n 8 t ơ n hàng s ấ o v i ớ d đ ự nh nên t ị a có phư ng t ơ rình:
480 480 60 60 8 1 x x 3 x x 3
60 x 3 60x x x 3 2
60x 180 60x x 3x 2 2
x 3x 180 0
x 15x 12x 180 0
x x 15 12 x 15 x 12 x 15 0 x 12 0 x 12( tm) x 15 0 x 15(ktm) V y
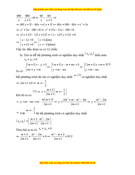
ậ lúc đ u đoàn xe có 12 chi ầ c ế b) Tìm m đ h ể ph ệ ư ng t ơ rình có nghi m ệ duy nh t ấ x ; y 0 0 th a m ỏ ãn x y 0 0 0 m 1 x y 3 m
1 x m mx 3 2m 1 x m 3 *
Ta có : mx y m y m mx y m mx Hệ phư ng ơ trình đã cho có nghi m ệ duy nh t
ấ * có nghiệm duy nhất 1 2m 1 0 m 2 m 3 1 * x m Khi đó ta có: 2m 1 2 m m 2 2 2 3
2m m m 3m m 2m y m mx m y y 2m 1 2m 1 2m 1 1 m V i ớ 2 thì h ph ệ ư ng ơ trình có nghi m ệ duy nh t ấ 2
m 3 m 2m x ; y ; 0 0
2m 1 2m 1
Theo bài ra ta có: x y 0 0 0 2 2 m 3 m 2m m m 3 0 0 1 2m 1 2m 1 2m 1
Đề thi vào 10 môn Toán tỉnh Hải Dương (Hệ không chuyên) năm 2021
573
287 lượt tải
MUA NGAY ĐỂ XEM TOÀN BỘ TÀI LIỆU
CÁCH MUA:
- B1: Gửi phí vào TK:
1133836868- CT TNHH DAU TU VA DV GD VIETJACK - Ngân hàng MB (QR) - B2: Nhắn tin tới Zalo VietJack Official ( nhấn vào đây ) để xác nhận thanh toán và tải tài liệu - giáo án
Liên hệ ngay Hotline hỗ trợ: 084 283 45 85
Đề thi được cập nhật liên tục trong gói này từ nay đến hết tháng 6/2023. Chúng tôi đảm bảo đủ số lượng đề đã cam kết hoặc có thể nhiều hơn, tất cả có BẢN WORD, LỜI GIẢI CHI TIẾT và tải về dễ dàng.
Để tải tài liệu gốc về máy bạn click vào nút Tải Xuống ở trên!
Thuộc bộ (mua theo bộ để tiết kiệm hơn):
- Tailieugiaovien.com.vn giới thiệu bộ 69 đề thi vào 10 môn Toán hệ không chuyên mới nhất năm 2021 nhằm giúp Giáo viên có thêm tài liệu tham khảo đề luyện thi Toán ôn luyện vào 1
- File word có lời giải chi tiết 100%.
- Mua trọn bộ sẽ tiết kiệm hơn tải lẻ 50%.
Đánh giá
4.6 / 5(573 )5
4
3
2
1
Trọng Bình
Tài liệu hay
Giúp ích cho tôi rất nhiều
Duy Trần
Tài liệu chuẩn
Rất thích tài liệu bên VJ soạn (bám sát chương trình dạy)
TÀI LIỆU BỘ BÁN CHẠY MÔN Toán Học
Xem thêmTÀI LIỆU BỘ BÁN CHẠY Ôn vào 10
Xem thêmTài liệu bộ mới nhất

Đây là bản xem thử, vui lòng mua tài liệu để xem chi ết (có lời giải)
S GIÁO D C VÀ ĐÀO T O Ở Ụ Ạ
H I D NGẢ ƯƠ
Đ CHÍNH TH C Ề Ứ
Đ THI TUY N SINH L P 10 THPTỀ Ể Ớ
NĂM H C 2020-2021Ọ
Môn thi: TOÁN
Th i gian làm bài :120 phút ờ
Câu 1. (2,0 đi m)ể
1) Gi i các ph ng trình sau ả ươ
a)
1 8x
b)
2 3 0x x
2) Cho ph ng trình ươ
2
3 1 0x x
.G i ọ
1
x
và
2
x
là hai nghi m c a ph ng trình. ệ ủ ươ
Hãy tính giá tr bi u th c ị ể ứ
2 2
1 2
A x x
Câu 2. (2,0 đi m)ể
a) Rút g n bi u th c: ọ ể ứ
1 2 6
: 1 0
3 3 3
x
A x
x x x x x x
b) Vi t ph ng trình đ ng th ng đi qua đi m ế ươ ườ ẳ ể
1;4M
và song song v i đ ng ớ ườ
th ng ẳ
2 1y x
Câu 3. (2,0 đi m)ể
a) M t đoàn xe nh n ch 480 t n hàng. Khi s p kh i hành, đoàn có thêm 3 xe n a ộ ậ ở ấ ắ ở ữ
nên m i xe ch ít h n 8 t n so v i d đ nh. H i lúc đ u đoàn xe có bao nhiêu ỗ ở ơ ấ ớ ự ị ỏ ầ
chi c ? Bi t r ng các xe ch kh i l ng hàng b ng nhauế ế ằ ở ố ượ ằ
b) Cho h ph ng trình v i tham s ệ ươ ớ ố
1 3
:
m x y
m
mx y m
Tìm
m
đ h ph ng trình có nghi m duy nh t ể ệ ươ ệ ấ
0 0
;x y
th a mãn ỏ
0 0
0x y
Câu 4. (3,0 đi m)ể
Cho
ABC
có ba góc nh n n i ti p đ ng tròn ọ ộ ế ườ
;O R
. G i ọ
, ,D E F
là chân các
đ ng cao l n l t thu c các c nh ườ ầ ượ ộ ạ
, ,BC CA AB
và
H
là tr c tâm c a ự ủ
.ABC
V ẽ
đ ng kính ườ
AK
a) Ch ng minh t giác ứ ứ
BHCK
là hình bình hành
b) Trong tr ng h p ườ ợ
ABC
không cân, g i ọ
M
là trung đi m c a ể ủ
.BC
Hãy ch ng ứ
minh
FC
là phân giác c a ủ
DFE
và 4 đi m ể
, , ,M D F E
cùng n m trên m t ằ ộ
đ ng tròn.ườ
c) Khi
BC
và đ ng tròn ườ
;O R
c đ nh, đi m ố ị ể
A
thay đ i trên đ ng tròn sao choổ ườ
ABC
luôn nh n, đ t ọ ặ
.BC a
Tìm v trí c a đi m ị ủ ể
A
đ t ngể ổ
P DE EF DF
l n nh t và tìm giá tr l n nh t đó theo ớ ấ ị ớ ấ
a
và
R
Câu 5. (1,0 đi m)ể
Mọi thắc mắc vui lòng xin liên hệ hotline: 084 283 45 85

Đây là bản xem thử, vui lòng mua tài liệu để xem chi ết (có lời giải)
Cho ba s th c d ng ố ự ươ
, ,a b c
th a mãn ỏ
1abc
Ch ng minh r ng: ứ ằ
2 2 2 2 2 2
1 1 1 1
2 3 2 3 2 3 2a b b c c a
ĐÁP ÁN
Câu 1
1 8 9
1) ) 1 8
1 8 7
x x
a x
x x
V y t p nghi m c a ph ng trình là ậ ậ ệ ủ ươ
9; 7S
2
) 2 3 0 2 3 0b x x x x
Ph ng trình có d ng ươ ạ
1 2 3 0a b c
nên có hai nghi m ệ
1
3
x
x
V y ậ
1; 3S
2) Xét ph ng trình ươ
2
3 1 0x x
có
2
3 4.1.1 5 0
nên ph ng trình luôn ươ
có hai nghi m phân bi t . Áp d ng đ nh lý Vi – et ta có:ệ ệ ụ ị
1 2
1 2
3
1
x x
x x
2
2 2 2
1 2 1 2 1 2
2 3 2.1 7A x x x x x x
V y ậ
7A
Câu 2.
a) Rút g n bi u th cọ ể ứ
Mọi thắc mắc vui lòng xin liên hệ hotline: 084 283 45 85

Đây là bản xem thử, vui lòng mua tài liệu để xem chi ết (có lời giải)
1 2 6
: 1
3 3 3
3 2 3 6
:
3 . 3 3
. 3
. 1
3 2 6 6
. 3
x
A
x x x x x x
x x x
x x
x x x x x x
x x
x x x x
x x x x x
x x
b) Vi t ph ng trình đ ng th ng đi qua đi m ế ươ ườ ẳ ể
1;4M
và song song
v i đ n th ng ớ ườ ẳ
2 1y x
G i ọ
d
là đ ng th ng c n tìmườ ẳ ầ
Vì
d
song song v i đ ng th ng ớ ườ ẳ
2 1y x
nên ph ng trình đ ng th ng ươ ườ ẳ
d
có
d ng ạ
2 1y x c c
Vì
1;4M d
nên thay t a đ đi m ọ ộ ể
M
vào ph ng trình đ ng th ng ươ ườ ẳ
d
ta có:
4 2. 1 6( )c x tm
V y ph ng trình đ ng th ng c n tìm là ậ ươ ườ ẳ ầ
2 6y x
Câu 3.
a) Tính s xe ?ố
G i s xe lúc đ u c a đoàn xe là ọ ố ầ ủ
x
(chi c), ế
*x
Lúc đ u m i xe ch s t n hàng là : ầ ỗ ở ố ấ
480
x
(t n)ấ
Khi kh i hành có thêm 3 xe nên s xe lúc sau là ở ố
3x
(xe)
Lúc sau m i xe ch s t n hàng là : ỗ ở ố ấ
480
3x
(t n)ấ
Vì lúc sau m i xe ch ít h n 8 t n hàng so v i d đ nh nên ta có ph ng trình:ỗ ở ơ ấ ớ ự ị ươ
Mọi thắc mắc vui lòng xin liên hệ hotline: 084 283 45 85

Đây là bản xem thử, vui lòng mua tài liệu để xem chi ết (có lời giải)
2
2 2
480 480 60 60
8 1
3 3
60 3 60 3 60 180 60 3
3 180 0 15 12 180 0
15 12 15 12 15 0
12 0 12( )
15 0 15( )
x x x x
x x x x x x x x
x x x x x
x x x x x
x x tm
x x ktm
V y lúc đ u đoàn xe có 12 chi cậ ầ ế
b) Tìm m đ h ph ng trình có nghi m duy nh t ể ệ ươ ệ ấ
0 0
;x y
th a mãnỏ
0 0
0x y
Ta có :
1 3 1 3 2 1 3 *m x y m x m mx m x m
mx y m y m mx y m mx
H ph ng trình đã cho có nghi m duy nh t ệ ươ ệ ấ
*
có nghi m duy nh tệ ấ
1
2 1 0
2
m m
Khi đó ta có:
3 1
*
2 1 2
m
x m
m
2 2 2
3
2 3 2
2 1 2 1 2 1
m m
m m m m m m
y m mx m y y
m m m
V i ớ
1
2
m
thì h ph ng trình có nghi m duy nh tệ ươ ệ ấ
2
0 0
3 2
; ;
2 1 2 1
m m m
x y
m m
Theo bài ra ta có:
0 0
0x y
2 2
3 2 3
0 0 1
2 1 2 1 2 1
m m m m m
m m m
Mọi thắc mắc vui lòng xin liên hệ hotline: 084 283 45 85

Đây là bản xem thử, vui lòng mua tài liệu để xem chi ết (có lời giải)
Vì
2
2 2
1 1 11 1 11
3 2. . 0
2 4 4 2 4
1 1
1 2 1 0
2 2
m m m m m m
m m TMDK m
V y ậ
1
2
m
Câu 4.
a) Ch ng minh t giác ứ ứ
BHCK
là hình bình hành
Ta có:
ABK
là góc n i ti p ch n n a đ ng tròn (O)ộ ế ắ ử ườ
0
90ABK
hay
AB BK
Mà
( ) / /CF AB gt CF BK
hay
/ / 1CH BK
Mọi thắc mắc vui lòng xin liên hệ hotline: 084 283 45 85
