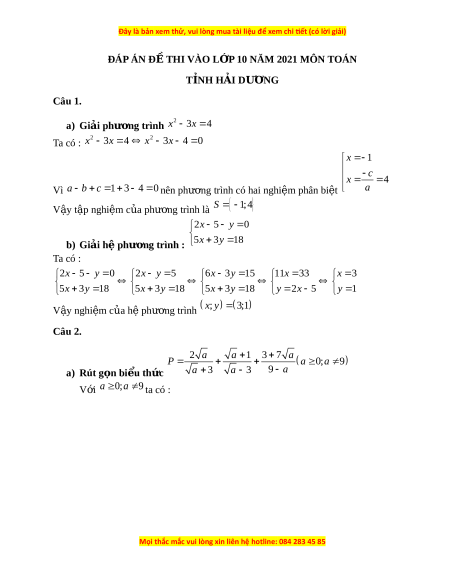
SỞ GIÁO D C Ụ VÀ ĐÀO T O Ạ KỲ THI TUY N Ể SINH L P Ớ 10 THPT H I Ả DƯ N Ơ G NĂM H C Ọ 2021 – 2022 Môn thi: TOÁN Đ C Ề HÍNH TH C Ứ Th i
ờ gian làm bài : 120 phút Câu 1. (2,0 đi m ể a) Gi i ả phư ng t ơ rình : 2 x 3x 4
2x 5 y 0 b) Gi i ả h ph ệ ư ng t ơ
rình : 5x 3y 18 Câu 2. (2,0 đi m ể ) 2 a
a 1 3 7 a a 0 P a) Rút g n bi ọ u t ể h c : ứ a 3 a 3 9 a a 9 b) Cho hàm số b c ậ nh t ấ y a
x 4. Xác đ nh h ị s ệ ố a,bi t ế đồ th hàm ị s đã cho ố c t ắ đư ng t ờ h ng
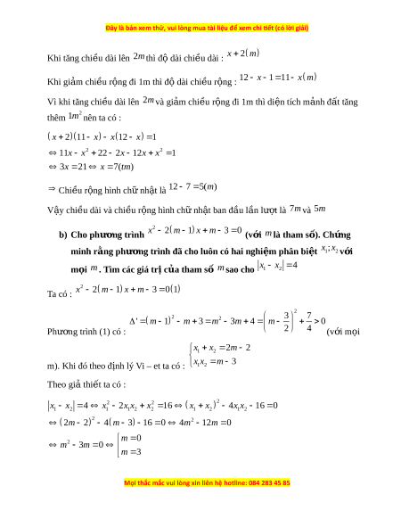
ẳ d : y 3x 2 t i ạ đi m ể có tung đ l ộ à 5 Câu 3. (2,0 đi m ể ) a) M t ộ m nh đ ả ất hình ch nh ữ t ậ có chu vi 24 . m N u t ế ăng chi u dài ề lên 2m và gi m ả chi u r ề ng đi ộ 1m thì di n t ệ ích m nh ả đ t ấ tăng thêm 2 1m .Tìm đ dài ộ các c nh ạ c a m ủ nh ả đ t ấ hình chữ nh t ậ ban đ u ầ 2 b) Cho phư ng t ơ
rình x 2 m
1 x m 3 0 (v i
ớ m là tham số). Ch ng m ứ inh r ng ph ằ ư ng
ơ trình đã cho luôn có hai nghi m ệ phân bi t ệ x ; x 1 2 v i ớ m i ọ m . Tìm các giá tr c ị a ủ tham s
ố m sao cho x x 4 1 2 Câu 4.(3,0 đi m ể )
1. Cho tam giác ABC có ba góc nh n ọ n i ộ ti p t ế rong đư ng ờ tròn ; O R và hai đư ng
ờ cao AE, BF c t ắ nhau t i
ạ H E BC, F AC a) Ch ng ứ minh r ng b ằ n đi ố m ể ,
A B, E, F cùng n m ằ trên m t ộ đư ng t ờ ròn b) Ch ng ứ minh r ng ằ OC EF
2. Cho tam giác ABC có B, C
là các góc nh n và có di ọ n t ệ ích không đ i ổ . Tìm giá trị nh nh ỏ ất c a bi ủ u t ể h c ứ 2 2 2 P 2
BC AC AB Câu 5. (1,0 đi m ể )
Cho các số th c ự dư ng ơ x, y th a
ỏ mãn y. y 1 6x 9
2x 4 2x 3 3y 2 Tìm giá tr l ị n nh ớ t ấ c a bi ủ u t ể h c
ứ M xy 3y 4x 3
ĐÁP ÁN Đ Ề THI VÀO L P
Ớ 10 NĂM 2021 MÔN TOÁN T N Ỉ H HẢI DƯ N Ơ G Câu 1. a) Giải phư ng t ơ rình 2 x 3x 4 Ta có : 2 2 x 3x 4
x 3x 4 0 x 1 c x 4
Vì a b c 1 3 4 0 nên phư ng ơ trình có hai nghi m ệ phân bi t ệ a V y ậ t p nghi ậ m ệ c a ph ủ ư ng ơ trình là S 1; 4
2x 5 y 0 b) Giải h p ệ hư ng t ơ
rình : 5x 3y 18 Ta có :
2x 5 y 0 2x y 5 6x 3y 15 11 x 3 3 x 3 5x 3y 18 5x 3y 18 5x 3y 18 y 2x 5 y 1 V y ậ nghi m ệ c a h ủ ph ệ ư ng t ơ rình ; x y 3; 1 Câu 2. 2 a a 1 3 7 a P a 0 ; a 9 a) Rút g n bi ọ u t ể h c ứ a 3 a 3 9 a V i ớ a 0 ;a 9 ta có :
2 a a 1 3 7 a P a 3 a 3 9 a
2 a. a 3 a 1 a 3 3 7 a
a 3 a 3
2a 6 a a 4 a 3 3 7 a 3a 9 a
a 3 a 3
a 3 a 3
3 a a 3 3 a
a 3 a 3 a 3 3 a B V y ậ v i ớ a 0 ;a 9 thì a 3 b) Cho hàm số b c nh ậ t ấ y a
x 4. Xác đ nh h ị s ệ
ố a,bi t ế đ t
ồ hị hàm số đã cho cắt đư ng ờ th ng ẳ
d : y 3x 2 tại đi m ể có tung đ l ộ à 5 Thay y 5 vào phư ng t ơ rình đư ng t ờ h ng
ẳ d : y 3x 2 ta có :
5 3x 2 3x 3 x 1 Do đó đồ th hàm ị s ố y a x 4 c t ắ đư ng ờ th ng ẳ
d : y 3x 2 t i ạ đi m ể A 1;5
Thay x 1; y 5 vào hàm số y a
x 4 ta có 5 a 4 a 9 V y ậ a 9 Câu 3. a) M t
ộ mảnh đất hình ch n ữ h t ậ có chu vi 24 . m N u t ế ăng chi u dài ề
lên 2m và giảm chi u r ề ng
ộ đi 1m thì di n t ệ ích m nh đ ả t ấ tăng thêm 2 1m .Tìm đ dài ộ các c nh c ạ a m ủ nh đ ả t ấ hình ch nh ữ t ậ ban đ u ầ G i ọ đ dài ộ chi u r ề ng m ộ nh đ ả t ấ hình ch nh ữ t ậ ban đ u :
ầ x m , x 0 N a ử chu vi m nh đ ả t ấ hình ch nh ữ t ậ là : 24 : 2 1 2 m Chi u ề r ng m ộ nh đ ả t ấ hình ch nh ữ t ậ ban đ u l
ầ à : 12 x m
Đề thi vào 10 môn Toán tỉnh Hải Dương năm 2022
535
268 lượt tải
MUA NGAY ĐỂ XEM TOÀN BỘ TÀI LIỆU
CÁCH MUA:
- B1: Gửi phí vào TK:
1133836868- CT TNHH DAU TU VA DV GD VIETJACK - Ngân hàng MB (QR) - B2: Nhắn tin tới Zalo VietJack Official ( nhấn vào đây ) để xác nhận thanh toán và tải tài liệu - giáo án
Liên hệ ngay Hotline hỗ trợ: 084 283 45 85
Đề thi được cập nhật liên tục trong gói này từ nay đến hết tháng 6/2023. Chúng tôi đảm bảo đủ số lượng đề đã cam kết hoặc có thể nhiều hơn, tất cả có BẢN WORD, LỜI GIẢI CHI TIẾT và tải về dễ dàng.
Để tải tài liệu gốc về máy bạn click vào nút Tải Xuống ở trên!
Thuộc bộ (mua theo bộ để tiết kiệm hơn):
- Tailieugiaovien.com.vn giới thiệu bộ 63 đề thi chính thức vào 10 môn Toán năm 2022 nhằm giúp Giáo viên có thêm tài liệu tham khảo đề luyện thi Toán vào 10.
- File word có lời giải chi tiết 100%.
- Mua trọn bộ sẽ tiết kiệm hơn tải lẻ 50%.
Đánh giá
4.6 / 5(535 )5
4
3
2
1
Trọng Bình
Tài liệu hay
Giúp ích cho tôi rất nhiều
Duy Trần
Tài liệu chuẩn
Rất thích tài liệu bên VJ soạn (bám sát chương trình dạy)
TÀI LIỆU BỘ BÁN CHẠY MÔN Toán Học
Xem thêmTÀI LIỆU BỘ BÁN CHẠY Ôn vào 10
Xem thêmTài liệu bộ mới nhất

Đây là bản xem thử, vui lòng mua tài liệu để xem chi ết (có lời giải)
S GIÁO D C VÀ ĐÀO T OỞ Ụ Ạ
H I D NG Ả ƯƠ
Đ CHÍNH TH C Ề Ứ
KỲ THI TUY N SINH L P 10 THPTỂ Ớ
NĂM H C 2021 – 2022Ọ
Môn thi: TOÁN
Th i gian làm bài : 120 phút ờ
Câu 1. (2,0 đi mể
a) Gi i ph ng trình : ả ươ
2
3 4x x
b) Gi i h ph ng trình : ả ệ ươ
2 5 0
5 3 18
x y
x y
Câu 2. (2,0 đi m)ể
a) Rút g n bi u th c : ọ ể ứ
0
2 1 3 7
9
9
3 3
a
a a a
P
a
a
a a
b) Cho hàm s b c nh t ố ậ ấ
4.y ax
Xác đ nh h s ị ệ ố
,a
bi t đ th hàm s đã cho ế ồ ị ố
c t đ ng th ng ắ ườ ẳ
: 3 2d y x
t i đi m có tung đ là ạ ể ộ
5
Câu 3. (2,0 đi m)ể
a) M t m nh đ t hình ch nh t có chu vi ộ ả ấ ữ ậ
24 .m
N u tăng chi u dài lên ế ề
2m
và
gi m chi u r ng đi ả ề ộ
1m
thì di n tích m nh đ t tăng thêm ệ ả ấ
2
1 .m
Tìm đ dài các ộ
c nh c a m nh đ t hình ch nh t ban đ u ạ ủ ả ấ ữ ậ ầ
b) Cho ph ng trình ươ
2
2 1 3 0x m x m
(v i ớ
m
là tham s ). Ch ng minh ố ứ
r ng ph ng trình đã cho luôn có hai nghi m phân bi t ằ ươ ệ ệ
1 2
;x x
v i m i ớ ọ
m
. Tìm
các giá tr c a tham s ị ủ ố
m
sao cho
1 2
4x x
Câu 4.(3,0 đi m)ể
1. Cho tam giác
ABC
có ba góc nh n n i ti p trong đ ng trònọ ộ ế ườ
;O R
và hai
đ ng cao ườ
,AE BF
c t nhau t i H ắ ạ
,E BC F AC
a) Ch ng minh r ng b n đi m ứ ằ ố ể
, , ,A B E F
cùng n m trên m t đ ng trònằ ộ ườ
b) Ch ng minh r ng ứ ằ
OC EF
2. Cho tam giác
ABC
có
,B C
là các góc nh n và có di n tích không đ i. Tìm ọ ệ ổ
giá tr nh nh t c a bi u th c ị ỏ ấ ủ ể ứ
2 2 2
2P BC AC AB
Câu 5. (1,0 đi m) ể
Mọi thắc mắc vui lòng xin liên hệ hotline: 084 283 45 85

Đây là bản xem thử, vui lòng mua tài liệu để xem chi ết (có lời giải)
Cho các s th c d ng ố ự ươ
,x y
th a mãn ỏ
. 1 6 9 2 4 2 3 3y y x x x y
Tìm giá tr l n nh t c a bi u th c ị ớ ấ ủ ể ứ
2
3 4 3M xy y x
Mọi thắc mắc vui lòng xin liên hệ hotline: 084 283 45 85

Đây là bản xem thử, vui lòng mua tài liệu để xem chi ết (có lời giải)
ĐÁP ÁN Đ THI VÀO L P 10 NĂM 2021 MÔN TOÁNỀ Ớ
T NH H I D NGỈ Ả ƯƠ
Câu 1.
a) Gi i ph ng trình ả ươ
2
3 4x x
Ta có :
2 2
3 4 3 4 0x x x x
Vì
1 3 4 0a b c
nên ph ng trình có hai nghi m phân bi t ươ ệ ệ
1
4
x
c
x
a
V y t p nghi m c a ph ng trình là ậ ậ ệ ủ ươ
1;4S
b) Gi i h ph ng trình : ả ệ ươ
2 5 0
5 3 18
x y
x y
Ta có :
2 5 0 2 5 6 3 15 11 33 3
5 3 18 5 3 18 5 3 18 2 5 1
x y x y x y x x
x y x y x y y x y
V y nghi m c a h ph ng trình ậ ệ ủ ệ ươ
; 3;1x y
Câu 2.
a) Rút g n bi u th c ọ ể ứ
2 1 3 7
0; 9
9
3 3
a a a
P a a
a
a a
V i ớ
0; 9a a
ta có :
Mọi thắc mắc vui lòng xin liên hệ hotline: 084 283 45 85

Đây là bản xem thử, vui lòng mua tài liệu để xem chi ết (có lời giải)
2 1 3 7
9
3 3
2 . 3 1 3 3 7
3 3
2 6 4 3 3 7 3 9
3 3 3 3
3 3
3
3
3 3
a a a
P
a
a a
a a a a a
a a
a a a a a a a
a a a a
a a
a
a
a a
V y v i ậ ớ
0; 9a a
thì
3
3
a
B
a
b) Cho hàm s b c nh t ố ậ ấ
4.y ax
Xác đ nh h s ị ệ ố
,a
bi t đ th hàm s đã ế ồ ị ố
cho c t đ ng th ng ắ ườ ẳ
: 3 2d y x
t i đi m có tung đ là ạ ể ộ
5
Thay
5y
vào ph ng trình đ ng th ng ươ ườ ẳ
: 3 2d y x
ta có :
5 3 2 3 3 1x x x
Do đó đ th hàm s ồ ị ố
4y ax
c t đ ng th ng ắ ườ ẳ
: 3 2d y x
t i đi m ạ ể
1;5A
Thay
1; 5x y
vào hàm s ố
4y ax
ta có
5 4 9a a
V y ậ
9a
Câu 3.
a) M t m nh đ t hình ch nh t có chu vi ộ ả ấ ữ ậ
24 .m
N u tăng chi u dài lên ế ề
2m
và
gi m chi u r ng đi ả ề ộ
1m
thì di n tích m nh đ t tăng thêm ệ ả ấ
2
1 .m
Tìm đ dài ộ
các c nh c a m nh đ t hình ch nh t ban đ u ạ ủ ả ấ ữ ậ ầ
G i đ dài chi u r ng m nh đ t hình ch nh t ban đ u : ọ ộ ề ộ ả ấ ữ ậ ầ
, 0x m x
N a chu vi m nh đ t hình ch nh t là : ử ả ấ ữ ậ
24: 2 12 m
Chi u r ng m nh đ t hình ch nh t ban đ u là : ề ộ ả ấ ữ ậ ầ
12 x m
Mọi thắc mắc vui lòng xin liên hệ hotline: 084 283 45 85

Đây là bản xem thử, vui lòng mua tài liệu để xem chi ết (có lời giải)
Khi tăng chi u dài lên ề
2m
thì đ dài chi u dài : ộ ề
2x m
Khi gi m chi u r ng đi 1m thì đ dài chi u r ng : ả ề ộ ộ ề ộ
12 1 11x x m
Vì khi tăng chi u dài lên ề
2m
và gi m chi u r ng đi 1m thì di n tích m nh đ t tăng ả ề ộ ệ ả ấ
thêm
2
1m
nên ta có :
2 2
2 11 12 1
11 22 2 12 1
3 21 7( )
x x x x
x x x x x
x x tm
Chi u r ng hình ch nh t là ề ộ ữ ậ
12 7 5( )m
V y chi u dài và chi u r ng hình ch nh t ban đ u l n l t là ậ ề ề ộ ữ ậ ầ ầ ượ
7m
và
5m
b) Cho ph ng trình ươ
2
2 1 3 0x m x m
(v i ớ
m
là tham s ). Ch ng ố ứ
minh r ng ph ng trình đã cho luôn có hai nghi m phân bi t ằ ươ ệ ệ
1 2
;x x
v i ớ
m i ọ
m
. Tìm các giá tr c a tham s ị ủ ố
m
sao cho
1 2
4x x
Ta có :
2
2 1 3 0 1x m x m
Ph ng trình (1) có : ươ
2
2
2
3 7
' 1 3 3 4 0
2 4
m m m m m
(v i m i ớ ọ
m). Khi đó theo đ nh lý Vi – et ta có : ị
1 2
1 2
2 2
3
x x m
x x m
Theo gi thi t ta có :ả ế
2
2 2
1 2 1 1 2 2 1 2 1 2
2
2
2
4 2 16 4 16 0
2 2 4 3 16 0 4 12 0
0
3 0
3
x x x x x x x x x x
m m m m
m
m m
m
Mọi thắc mắc vui lòng xin liên hệ hotline: 084 283 45 85
