SỞ GD&ĐT HÒA BÌNH KỲ THI TUY N Ể SINH VÀO L P Ớ 10
TRƯỜNG THPT CHUYÊN HOÀNG VĂN THỤ Đ C Ề HÍNH TH C Ứ NĂM H C Ọ 2020-2021 ĐỀ THI MÔN TOÁN (Dành cho chuyên Tin)
Ngày thi: 12 tháng 7 năm 2020 Th i
ờ gian làm bài : 150 phút (không k ể giao đ ) ề Câu I (2,0 đi m ể ) 1) Phân tích đa th c ứ thành nhân t : ử 2 A 2
x 5x 2 2) Gi i ả phư ng t ơ rình: 4x 1 3 3) Rút g n bi ọ u t ể h c:
ứ B 6 2 5 6 2 5 4) Tìm t a đ ọ gi ộ ao đi m ể c a ủ đư ng t ờ h ng
ẳ : d : y 4 x 3 và Parabol P 2 : y x Câu II. (2,0 đi m ể ) 1 1 10 1) Gi i ả phư ng t ơ rình: x 5 x 5 2 2 2) Cho phư ng t ơ
rình: x 2 m 1 x m 0
(m là tham số). Tìm giá tr c ị a ủ m đ ph ể ư ng
ơ trình đã cho có hai nghi m ệ x , x 1 2 th a m ỏ ãn:
2x 1 2x 1 1 3 1 2 Câu III. (2,0 đi m ể )
x 2 2 y 1 4 1) Gi i ả h ph ệ ư ng t ơ rình : 3 x 2 y 16 2) M t
ộ tam giác vuông có c nh huy ạ n dài ề 10c .
m Hai c nh góc vuông h ạ n ơ kém nhau 2c . m Tính đ dài ộ hai c nh ạ góc vuông. Câu IV. (2,0 đi m ể ) Cho đư ng t ờ ròn ;
O R và dây cung BC 2 . R G i ọ A là đi m ể chính gi a c ữ a ủ
cung nhỏ BC,M là đi m ể tùy ý trên cung l n ớ BC CM BM
0 .Qua C kẻ ti p ế tuy n ế d t i ớ O .Đư ng ờ th ng ẳ AM c t
ắ d và BC lần lư t ợ t i
ạ Q và N.Các đư ng ờ th ng
ẳ MB và AC c t ắ nhau t i ạ . P 1) Ch ng
ứ minh : PQCM là t gi ứ ác n i ộ ti p ế 2) Ch ng ứ minh r ng: ằ PQ song song v i ớ BC 1 1 1 3) Ti p t ế uy n t ế i ạ A c a ủ O c t ắ d t i ạ E.Ch ng m ứ inh r ng : ằ CN CQ CE
4) Xác đ nh v ị t ị rí c a
ủ M sao cho bán kính đư ng ờ tròn ngo i ạ ti p ế MBN l n ớ nhất Câu V. (2,0 đi m ể ) 2
2x y 2y x 3 2 x 3 0 1) Tìm các số th c ự x, y th a m ỏ ãn 2 x x 2
2020 y y 2020 202 0
2) Cho hai số x, y th a m ỏ ãn
S x y Tính giá trị c a ủ ĐÁP ÁN Câu I. 2 2 1)A 2
x 5x 2 2
x 4x x 2 2
x x 2 x 2
x 2 2x 1 2) 4x 1 3 1 1 *) 4x 1 4
x 1 khi x
*) 4x 1 4x 1khi x 4 4 1 1 ) x 4x 1 3
x (tm) 4 2 1 ) x 4x 1 3
x 1(tm) 4 1 S ; 1 V y ậ 2
3)B 6 2 5 6 2 5 52 2. 5.11 52 2 2 2. 5.1 1 5 2 1 5 2
1 5 1 5 1 5 1 5 1 2 5 4) Ta có phư ng
ơ trình hoành độ giao đi m ể : 2 x 4 x 3 2
x 4x 3 0 x 1 y 1 1
a b c 1 4 3 0 x 3 y 9 Vì 2 2 V y ậ t a đ ọ gi ộ ao đi m ể là 1; 1 ; 3;9 Câu II. 1 1 x 5 x 5 x 0 1) 10 10 x 5 x 5
x 5 x 5 x 25 10 10 x 25 1 x 26( tm) x 25
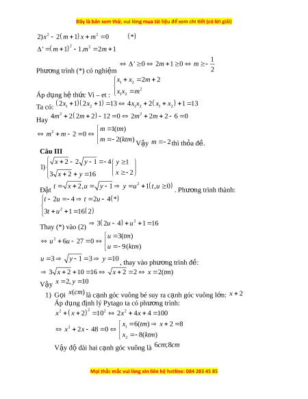
2
x m 2 2) 2 1 x m 0 * m 2 2 ' 1 1.m 2 m 1 1 ' 0 2m 1 0 m Phư ng ơ trình (*) có nghi m ệ 2 x x 2 m 2 1 2 2 Áp d ng ụ h t ệ h c ứ Vi – et : x x m 1 2
Ta có: 2x 1 2x 1 13
4x x 2 x x 1 13 1 2 1 2 1 2 2 2
Hay 4m 2 2m 2 12 0
2m 2m 2 6 0 m 1 (tm) 2
m m 2 0
m 2(ktm) V y
ậ m 2 thì th a đ ỏ . ề Câu III
x 2 2 y 1 4 y 1 1) x 2 3 x 2 y 16 2
t x 2,u y 1 y u 1 t,u 0 Đ t ặ . Phư ng t ơ rình thành: t
2u 4 t 2 u 4 * 2 3t u 1 1 6 2
Thay (*) vào (2) u 2 3 2 4 u 1 1 6 u 3 (tm) 2
u 6u 27 0
u 9(ktm) u 3 y 1 3 y 10 , thay vào phư ng t ơ rình đ : ề 3 x 2 10 1 6 x 2 2 x 2 (tm) V y ậ x 2 , y 1 0 1) G i
ọ x(cm) là c nh góc vuông bé s ạ uy ra c nh góc vuông l ạ n: ớ x 2 Áp d ng ụ đ nh l ị ý Pytago ta có phư ng ơ trình:
x x 2 2 2 2 2 1
0 2x 4x 4 10 0 x 6
(tm) x 2 8 2 1
x 2x 48 0
x 8(ktm) 2 V y ậ đ dài ộ hai c nh
ạ góc vuông là 6c ; m 8cm
Câu IV. Ý 1. PQCM là t gi ứ ác n i ộ ti p ế Ta có A là đi m ể chính gi a ữ cung BC sd BA s d AC
PMQ PCQ (hai góc n i ộ ti p ch ế n ắ hai cung b ng ằ nhau)
Mà 2 góc này cùng nhìn PQ PMCQ là t gi ứ ác n i ộ ti p ế Ý 2. PQ song song v i ớ BC Ta có: QPC Q
MC (MPQC là t gi ứ ác n i ộ ti p ) ế (1) QMC B CP (góc n i ộ ti p cùng ch ế n hai ắ cung b ng ằ nhau ) 2 T (
ừ 1) và (2) suy ra QPC BCP
Đề thi vào 10 môn Toán tỉnh Hòa Bình (Hệ không chuyên) năm 2021
559
280 lượt tải
MUA NGAY ĐỂ XEM TOÀN BỘ TÀI LIỆU
CÁCH MUA:
- B1: Gửi phí vào TK:
1133836868- CT TNHH DAU TU VA DV GD VIETJACK - Ngân hàng MB (QR) - B2: Nhắn tin tới Zalo VietJack Official ( nhấn vào đây ) để xác nhận thanh toán và tải tài liệu - giáo án
Liên hệ ngay Hotline hỗ trợ: 084 283 45 85
Đề thi được cập nhật liên tục trong gói này từ nay đến hết tháng 6/2023. Chúng tôi đảm bảo đủ số lượng đề đã cam kết hoặc có thể nhiều hơn, tất cả có BẢN WORD, LỜI GIẢI CHI TIẾT và tải về dễ dàng.
Để tải tài liệu gốc về máy bạn click vào nút Tải Xuống ở trên!
Thuộc bộ (mua theo bộ để tiết kiệm hơn):
- Tailieugiaovien.com.vn giới thiệu bộ 69 đề thi vào 10 môn Toán hệ không chuyên mới nhất năm 2021 nhằm giúp Giáo viên có thêm tài liệu tham khảo đề luyện thi Toán ôn luyện vào 1
- File word có lời giải chi tiết 100%.
- Mua trọn bộ sẽ tiết kiệm hơn tải lẻ 50%.
Đánh giá
4.6 / 5(559 )5
4
3
2
1
Trọng Bình
Tài liệu hay
Giúp ích cho tôi rất nhiều
Duy Trần
Tài liệu chuẩn
Rất thích tài liệu bên VJ soạn (bám sát chương trình dạy)
TÀI LIỆU BỘ BÁN CHẠY MÔN Toán Học
Xem thêmTÀI LIỆU BỘ BÁN CHẠY Ôn vào 10
Xem thêmTài liệu bộ mới nhất

Đây là bản xem thử, vui lòng mua tài liệu để xem chi ết (có lời giải)
S GD&ĐT HÒA BÌNHỞ
Đ CHÍNH TH CỀ Ứ
KỲ THI TUY N SINH VÀO L P 10 Ể Ớ
TR NG THPT CHUYÊN HOÀNG VĂN THƯỜ Ụ
NĂM H C 2020-2021Ọ
Đ THI MÔN TOÁN Ề
(Dành cho chuyên Tin)
Ngày thi: 12 tháng 7 năm 2020
Th i gian làm bài : 150 phút (không k giao đ )ờ ể ề
Câu I (2,0 đi m)ể
1) Phân tích đa th c thành nhân t : ứ ử
2
2 5 2A x x
2) Gi i ph ng trình: ả ươ
4 1 3x
3) Rút g n bi u th c: ọ ể ứ
6 2 5 6 2 5B
4) Tìm t a đ giao đi m c a đ ng th ng : ọ ộ ể ủ ườ ẳ
: 4 3d y x
và
2
:Parabol P y x
Câu II. (2,0 đi m)ể
1) Gi i ph ng trình: ả ươ
1 1
10
5 5x x
2) Cho ph ng trình: ươ
2 2
2 1 0x m x m
(
m
là tham s ). Tìm giá tr c aố ị ủ
m
đ ph ng trình đã cho có hai nghi m ể ươ ệ
1 2
,x x
th a mãn:ỏ
1 2
2 1 2 1 13x x
Câu III. (2,0 đi m)ể
1) Gi i h ph ng trình : ả ệ ươ
2 2 1 4
3 2 16
x y
x y
2) M t tam giác vuông có c nh huy n dài ộ ạ ề
10 .cm
Hai c nh góc vuông h n kémạ ơ
nhau
2 .cm
Tính đ dài hai c nh góc vuông.ộ ạ
Câu IV. (2,0 đi m)ể
Cho đ ng tròn ườ
;O R
và dây cung
2 .BC R
G i ọ
A
là đi m chính gi a c aể ữ ủ
cung nh ỏ
,BC M
là đi m tùy ý trên cung l n ể ớ
0 .BC CM BM
Qua
C
k ti p ẻ ế
tuy n ế
d
t i ớ
.O
Đ ng th ng ườ ẳ
AM
c t ắ
d
và
BC
l n l t t i ầ ượ ạ
Q
và
.N
Các đ ng ườ
th ng ẳ
MB
và
AC
c t nhau t i ắ ạ
.P
1) Ch ng minh : ứ
PQCM
là t giác n i ti p ứ ộ ế
2) Ch ng minh r ng: ứ ằ
PQ
song song v i ớ
BC
3) Ti p tuy n t i ế ế ạ
A
c a ủ
O
c t ắ
d
t i ạ
.E
Ch ng minh r ng : ứ ằ
1 1 1
CN CQ CE
Mọi thắc mắc vui lòng xin liên hệ hotline: 084 283 45 85

Đây là bản xem thử, vui lòng mua tài liệu để xem chi ết (có lời giải)
4) Xác đ nh v trí c a ị ị ủ
M
sao cho bán kính đ ng tròn ngo i ti p ườ ạ ế
MBN
l n ớ
nh t ấ
Câu V. (2,0 đi m)ể
1) Tìm các s th c ố ự
,x y
th a mãn ỏ
2
2 2 3 2 3 0x y y x x
2) Cho hai s ố
,x y
th a mãn ỏ
2 2
2020 2020 2020x x y y
Tính
giá tr c a ị ủ
S x y
ĐÁP ÁN
Câu I.
2 2
1) 2 5 2 2 4 2 2 2 2 2 2 1A x x x x x x x x x x
2) 4 1 3
1 1
*) 4 1 4 1 *) 4 1 4 1
4 4
1 1
) 4 1 3 ( )
4 2
1
) 4 1 3 1( )
4
x
x x khi x x x khi x
x x x tm
x x x tm
V y ậ
1
; 1
2
S
2 2
2 2
2 2
3) 6 2 5 6 2 5 5 2. 5.1 1 5 2. 5.1 1
5 1 5 1 5 1 5 1 5 1 5 1 2 5
B
4) Ta có ph ng trình hoành đ giao đi m: ươ ộ ể
2
4 3x x
2
4 3 0x x
Vì
1
2 2
1 1
1 4 3 0
3 9
x y
a b c
x y
V y t a đ giao đi m là ậ ọ ộ ể
1;1 ; 3;9
Câu II.
0
1 1 5 5
1) 10 10
25
5 5
5 5
10
10 25 1 26( )
25
x
x x
x
x x
x x
x x tm
x
Mọi thắc mắc vui lòng xin liên hệ hotline: 084 283 45 85

Đây là bản xem thử, vui lòng mua tài liệu để xem chi ết (có lời giải)
2 2
2) 2 1 0 *x m x m
2
2
' 1 1. 2 1m m m
Ph ng trình (*) có nghi m ươ ệ
1
' 0 2 1 0
2
m m
Áp d ng h th c Vi – et : ụ ệ ứ
1 2
2
1 2
2 2x x m
x x m
Ta có:
1 2 1 2 1 2
2 1 2 1 13 4 2 1 13x x x x x x
Hay
2 2
4 2 2 2 12 0 2 2 2 6 0m m m m
2
1( )
2 0
2( )
m tm
m m
m ktm
V y ậ
2m
thì th a đ .ỏ ề
Câu III
2 2 1 4
1
1)
2
3 2 16
x y
y
x
x y
Đ t ặ
2
2, 1 1 , 0t x u y y u t u
. Ph ng trình thành:ươ
2
2 4 2 4 *
3 1 16 2
t u t u
t u
Thay (*) vào (2)
2
3 2 4 1 16u u
2
3( )
6 27 0
9( )
u tm
u u
u ktm
3 1 3 10u y y
, thay vào ph ng trình đ :ươ ề
3 2 10 16 2 2 2( )x x x tm
V y ậ
2, 10x y
1) G i ọ
( )x cm
là c nh góc vuông bé suy ra c nh góc vuông l n: ạ ạ ớ
2x
Áp d ng đ nh lý Pytago ta có ph ng trình:ụ ị ươ
2
2 2 2
2 10 2 4 4 100x x x x
1
2
2
6( ) 2 8
2 48 0
8( )
x tm x
x x
x ktm
V y đ dài hai c nh góc vuông là ậ ộ ạ
6 ;8cm cm
Mọi thắc mắc vui lòng xin liên hệ hotline: 084 283 45 85

Đây là bản xem thử, vui lòng mua tài liệu để xem chi ết (có lời giải)
Câu IV.
Ý 1.
PQCM
là t giác n i ti pứ ộ ế
Ta có
A
là đi m chính gi a cung ể ữ
BC sd BA sd AC
PMQ PCQ
(hai góc n i ti p ch n hai cung b ng nhau)ộ ế ắ ằ
Mà 2 góc này cùng nhìn
PQ PMCQ
là t giác n i ti p ứ ộ ế
Ý 2.
PQ
song song v i ớ
BC
Ta có:
QPC QMC
(MPQC
là t giác n i ti p ) (1)ứ ộ ế
QMC BCP
(góc n i ti p cùng ch n hai cung b ng nhau ) ộ ế ắ ằ
2
T (1) và (2) suy ra ừ
QPC BCP
Mọi thắc mắc vui lòng xin liên hệ hotline: 084 283 45 85

Đây là bản xem thử, vui lòng mua tài liệu để xem chi ết (có lời giải)
Mà hai góc này v trí so le trong nên ở ị
/ /BC PQ
Ý 3.
D ch ng minh : ễ ứ
/ /AE BC
và
AE CE
Ta có:
CE AE QE
CN CN QC
(h qu Ta let)ệ ả
CE CE QE CE
CN CQ QC CQ
1 1
. 1CE
CN CQ
1 1 1
CN CQ CE
Ý 4.
Ta có :
ABN BMN
(góc n i ti p ch n 2 cung b ng nhau)ộ ế ắ ằ
AB
là ti p tuy n c a đ ng tròn ế ế ủ ườ
BMN
K đ ng kính ẻ ườ
AL
c a ủ
O
. G i ọ
K
là giao đi m đ ng trung tr c c a đo nể ườ ự ủ ạ
BN
và
BL
E
là tâm đ ng tròn ườ
BMN
T ng t d ng ươ ự ự
F
là tâm
CMN
D dàng ch ng minh đ c ễ ứ ượ
, ,BLC B EN CFN
cân
LENF
là hình bình hành
MBN MCN
R R LC
(không đ i)ổ
Ta có:
MC MB NC N B
mà
( . ) 1
EB NB
EBN FCN g g
FC NC
2 2
2
ABN
MBN
EB FC EB EB FC R LC
LC
R
D u ấ
" "
x y ra khi ả
M L
là đi m chính gi a c a cung l n ể ữ ủ ớ
BC
Câu V.
1)
Mọi thắc mắc vui lòng xin liên hệ hotline: 084 283 45 85
