111Equation Chapter 1 Section KỲ THI TUY N Ể SINH VÀO L P Ớ 10
1SỞ GD&T HÒA BÌNH
TRƯỜNG THPT CHUYÊN HOÀNG VĂN THỤ NĂM H C Ọ 2021 -2022 Đ C Ề HÍNH TH C Ứ Đ Ề THI MÔN TOÁN DÀNH CHO T T Ấ C
Ả THÍ SINH – 120 PHÚT Câu I. (3,0 đi m ể ) 1) Rút g n các bi ọ u t ể h c ứ sau : a A b B 2 ) 4 3 27 ) 5 1 5 2) Gi i ả các phư ng ơ trình sau : 2
a)x 6x 0
b) x 2 3 0 3) Tìm m đ hàm ể số y
3m 10 x m 2 đông bi n t ế rên Câu II. (2,0 đi m ể ) 1) Cho đư ng t ờ h ng ẳ có phư ng t ơ rình y a
x b , tìm a và bđ đ ể ư ng t ờ h ng ẳ đi qua hai đi m
ể M 1;4 và N 2;19 2) Hai ngư i ờ th cùng l ợ àm 1 công vi c, n ệ u h ế
ọ cùng làm trong 4 ngày thì xong công việc đó. Hai ngư i
ờ làm cùng nhau trong 2 ngày thì ngư i ờ th nh ứ t ấ đư c chuy ợ n ể đi làm vi c khác, ng ệ ư i ờ th hai ứ làm m t ộ mình trong 6 ngày n a t ữ hì hoàn thành công việc. H i ỏ n u l ế àm riêng thì m i ỗ ngư i
ờ hoàn thành công vi c đó t ệ rong bao lâu ? (giả thi t ế năng su t ấ làm vi c c ệ a m ủ i ỗ ngư i
ờ trong các ngày là không đ i ổ ). Câu III. (4,0 đi m ể ) Cho đư ng t ờ ròn ; O R kẻ hai ti p t ế uy n ế AM , AN v i ớ đư ng t ờ
ròn M , N là các ti p đi ế m ể ). Trên n a m ử t ặ ph ng ẳ b l ờ à đư ng ờ th ng ẳ AO ch a ứ đi m ể M vẽ đư ng ờ th ng ẳ đi qua A và c t ắ đư ng t ờ ròn t i ạ hai đi m
ể P,Q sao cho AP A . Q PQ không đi qua O . G i ọ H là trung đi m ể c a
ủ PQ, E là giao đi m ể c a ủ AO và MN 1) Ch ng ứ minh r ng : ằ t gi ứ ác AHON là t gi ứ ác n i ộ ti p ế 2 2) Ch ng ứ minh r ng : ằ . AP AQ AM 3) Ch ng ứ minh r ng : ằ t gi ứ ác PQOE là t gi ứ ác n i ộ ti p ế Câu IV. (1,0 đi m ể ) 1) Trên m t ặ ph ng t ẳ a ọ đ ộ Oxy, cho đư ng ờ th ng có ph ẳ ư ng ơ trình y
m 2 x 2m 3 m là tham số). Tìm m đ kho ể ng cách ả t g ừ ốc t a đ ọ ộ O 0;0 đ n đ ế ư ng ờ th ng đã cho ẳ là l n nh ớ t ấ . a b ab
2) Cho a,b là hai số dư ng ơ phân bi t ệ th a ỏ mãn a b
a b P ab ab Tìm giá trị nh nh ỏ ất c a bi ủ u t ể h c ứ ĐÁP ÁN Đ Ề THI VÀO L P Ớ 10 TOÁN CHUNG 2021 T N Ỉ H HÒA BÌNH Câu I. 1) Rút g n bi ọ u t ể h c s ứ au : a)A 4 3 27 4 3 3 3 3
b)B 5 2
1 5 5 1 5 1
2) Giải các phư ng t ơ rình sau x 0 x 0 2
a)x 6x 0
x x 6 0 x 6 0 x 6 V y ậ phư ng t ơ rình có t p nghi ậ m ệ S 0; 6
b) x 2 3 0
x 2 x 2 9 x 7 (tm) V y ậ phư ng t ơ rình có t p nghi ậ m ệ S 7
3) Tìm m đ hàm ể số y
3m 10 x m 2 đông bi n t ế rên Hàm số y
3m 10 x m 2 đồng bi n ế trên R khi và ch khi ỉ 10 3m 10 0 m 3 10 m V y ậ hàm số đồng bi n khi ế 3 Câu II. 1) Cho đư ng t ờ h ng có ph ẳ ư ng t ơ rình y a x ,
b tìm a và b đ đ ể ư ng t ờ hẳng đi qua 2 đi m
ể M 1;4 và N 2;19 Đư ng ờ th ng đi ẳ qua hai đi m
ể M , N nên t a ọ đ c ộ a ủ hai đi m ể này ph i ả th a ỏ mãn phư ng ơ trình y a
x b . Khi đó ta có h ph ệ ư ng ơ trình
. a 1 b 4 a b 4 3 a 15 a 5 .2 a b 19 2a b 19 b 4 a b 9 V y ậ đư ng t ờ h ng ẳ c n t ầ ìm là y 5 x 9 2) Hai ngư i ờ th cùng l ợ àm 1 công vi c, n ệ u h ế cùng l ọ
àm trong 4 ngày thì xong công vi c đó. H ệ ai ngư i
ờ làm cùng nhau trong 2 ngày thì ngư i ờ th nh ứ t ấ đư c chuy ợ n đi ể làm vi c ệ khác, ngư i ờ th h ứ ai làm m t
ộ mình trong 6 ngày
nữa thì hoàn thành công vi c. H ệ i ỏ n u l ế àm riêng thì m i ỗ ngư i ờ hoàn thành công vi c đó t ệ rong bao lâu ? (gi t ả hi t ế năng su t ấ làm vi c c ệ a m ủ i ỗ ngư i ờ
trong các ngày là không đ i ổ ). G i ọ số ngày mà ngư i ờ th nh ứ t ấ , ngư i ờ th hai ứ làm m t
ộ mình thì hoàn thành công vi c ệ lần lư t
ợ là x, y (ngày) x, y * 1 1 ; Trong m t ộ ngày, ngư i ờ th nh ứ ất, ngư i ờ th hai ứ làm đư c ợ l n l ầ ư t ợ x y (công việc)
Họ cùng làm trong 4 ngày thì hoàn thành công vi c ệ nên ta có phư ng t ơ rình : 1 1 4 1 1 x y
Sau khi làm chung 2 ngày, ngư i ờ th hai ứ ph i ả làm ti p 6 ngày ế n a t ữ hì m i ớ xong công 1 1 6 2 1 2 việc nên ta có phư ng t ơ rình x y y T ( ừ 1) và (2) ta có h ph ệ ư ng t ơ rình : 1 1 1 1 1 1 1 4 1 x y x y 4 x 6 x 6 (tm) 1 1 6 2 8 1 1 y 1 2(t ) m 2 1 1 x y y x y y 12 V y ậ mỗi ngư i ờ làm riêng thì ngư i ờ th nh ứ t ấ hoàn thành công vi c ệ trong 6 ngày và ngư i ờ th hai ứ trong 12 ngày
Câu III. 1) Chứng minh r ng : ằ t gi
ứ ác AHON là t gi ứ ác n i ộ ti p ế
Xét O ta có H là trung đi m ể c a ủ dây PQ
OH PQ A HO 9 0 (quan hệ gi a đ ữ ư ng ờ kính và dây cung)
Xét tứ giác AHON có : A HO A NO 9 0 90 1 80 T gi ứ ác AHON là t gi ứ ác n i ộ ti p ( ế tứ giác có t ng hai ổ góc đ i ố di n b ệ ng ằ 180 ) 2 2) Chứng minh r ng : ằ . AP AQ AM
Xét APM và AM Q có : A chung A
MP MQP (góc t o b ạ i ở ti p ế tuy n dây cung và góc n ế i ộ ti p ế cùng ch n cung ắ MP) AM AP 2 A PM ∽ A
MQ(g.g) A .
P AQ AM (dfcm) AQ AM 1 3) Chứng minh r ng : ằ t gi
ứ ác PQOE là t gi ứ ác n i ộ ti p ế Ta có : OM O
N R O thu c ộ đư ng t ờ rung tr c c ự a ủ MN
AM AN (tính ch t ấ hai ti p ế tuy n c ế t ắ nhau) A thu c ộ đư ng t ờ rung tr c c ự a
ủ MN OA là đư ng t ờ rung tr c ự c a ủ MN
Đề thi vào 10 môn Toán tỉnh Hòa Bình năm 2022
561
281 lượt tải
MUA NGAY ĐỂ XEM TOÀN BỘ TÀI LIỆU
CÁCH MUA:
- B1: Gửi phí vào TK:
1133836868- CT TNHH DAU TU VA DV GD VIETJACK - Ngân hàng MB (QR) - B2: Nhắn tin tới Zalo VietJack Official ( nhấn vào đây ) để xác nhận thanh toán và tải tài liệu - giáo án
Liên hệ ngay Hotline hỗ trợ: 084 283 45 85
Đề thi được cập nhật liên tục trong gói này từ nay đến hết tháng 6/2023. Chúng tôi đảm bảo đủ số lượng đề đã cam kết hoặc có thể nhiều hơn, tất cả có BẢN WORD, LỜI GIẢI CHI TIẾT và tải về dễ dàng.
Để tải tài liệu gốc về máy bạn click vào nút Tải Xuống ở trên!
Thuộc bộ (mua theo bộ để tiết kiệm hơn):
- Tailieugiaovien.com.vn giới thiệu bộ 63 đề thi chính thức vào 10 môn Toán năm 2022 nhằm giúp Giáo viên có thêm tài liệu tham khảo đề luyện thi Toán vào 10.
- File word có lời giải chi tiết 100%.
- Mua trọn bộ sẽ tiết kiệm hơn tải lẻ 50%.
Đánh giá
4.6 / 5(561 )5
4
3
2
1
Trọng Bình
Tài liệu hay
Giúp ích cho tôi rất nhiều
Duy Trần
Tài liệu chuẩn
Rất thích tài liệu bên VJ soạn (bám sát chương trình dạy)
TÀI LIỆU BỘ BÁN CHẠY MÔN Toán Học
Xem thêmTÀI LIỆU BỘ BÁN CHẠY Ôn vào 10
Xem thêmTài liệu bộ mới nhất

Đây là bản xem thử, vui lòng mua tài liệu để xem chi ết (có lời giải)
111Equation Chapter 1 Section
1S GD&T HÒA BÌNHỞ
Đ CHÍNH TH C Ề Ứ
KỲ THI TUY N SINH VÀO L P 10 Ể Ớ
TR NG THPT CHUYÊN HOÀNG VĂN THƯỜ Ụ
NĂM H C 2021 -2022Ọ
Đ THI MÔN TOÁN Ề
DÀNH CHO T T C THÍ SINH – 120 PHÚTẤ Ả
Câu I. (3,0 đi m)ể
1) Rút g n các bi u th c sau : ọ ể ứ
2
) 4 3 27 ) 5 1 5a A b B
2) Gi i các ph ng trình sau :ả ươ
2
) 6 0 ) 2 3 0a x x b x
3) Tìm
m
đ hàm s ể ố
3 10 2y m x m
đông bi n trên ế
Câu II. (2,0 đi m)ể
1) Cho đ ng th ng có ph ng trình ườ ẳ ươ
y ax b
, tìm
a
và
b
đ đ ng th ng đi qua ể ườ ẳ
hai đi m ể
1;4M
và
2;19N
2) Hai ng i th cùng làm 1 công vi c, n u h cùng làm trong 4 ngày thì xong côngườ ợ ệ ế ọ
vi c đó. Hai ng i làm cùng nhau trong 2 ngày thì ng i th nh t đ c chuy n ệ ườ ườ ứ ấ ượ ể
đi làm vi c khác, ng i th hai làm m t mình trong 6 ngày n a thì hoàn thành ệ ườ ứ ộ ữ
công vi c. H i n u làm riêng thì m i ng i hoàn thành công vi c đó trong bao ệ ỏ ế ỗ ườ ệ
lâu ? (gi thi t năng su t làm vi c c a m i ng i trong các ngày là không đ i).ả ế ấ ệ ủ ỗ ườ ổ
Câu III. (4,0 đi m)ể
Cho đ ng tròn ườ
;O R
k hai ti p tuy n ẻ ế ế
,AM AN
v i đ ng tròn ớ ườ
,M N
là các
ti p đi m). Trên n a m t ph ng b là đ ng th ng ế ể ử ặ ẳ ờ ườ ẳ
AO
ch a đi m ứ ể
M
v đ ng ẽ ườ
th ng đi qua ẳ
A
và c t đ ng tròn t i hai đi m ắ ườ ạ ể
,P Q
sao cho
.AP AQ PQ
không đi qua
O
. G i ọ
H
là trung đi m c a ể ủ
,PQ E
là giao đi m c a ể ủ
AO
và
MN
1) Ch ng minh r ng : t giác ứ ằ ứ
AHON
là t giác n i ti pứ ộ ế
2) Ch ng minh r ng : ứ ằ
2
.AP AQ AM
3) Ch ng minh r ng : t giác ứ ằ ứ
PQOE
là t giác n i ti p ứ ộ ế
Câu IV. (1,0 đi m)ể
1) Trên m t ph ng t a đ ặ ẳ ọ ộ
,Oxy
cho đ ng th ng có ph ng trìnhườ ẳ ươ
2 2 3y m x m m
là tham s ). Tìm ố
m
đ kho ng cách t g c t a để ả ừ ố ọ ộ
0;0O
đ n đ ng th ng đã cho là l n nh t. ế ườ ẳ ớ ấ
2) Cho
,a b
là hai s d ng phân bi t th a mãn ố ươ ệ ỏ
a b
ab
a b

Đây là bản xem thử, vui lòng mua tài liệu để xem chi ết (có lời giải)
Tìm giá tr nh nh t c a bi u th c ị ỏ ấ ủ ể ứ
a b
P ab
ab
ĐÁP ÁN Đ THI VÀO L P 10 TOÁN CHUNG 2021Ề Ớ
T NH HÒA BÌNHỈ
Câu I.
1) Rút g n bi u th c sau :ọ ể ứ
2
) 4 3 27 4 3 3 3 3
) 5 1 5 5 1 5 1
a A
b B
2) Gi i các ph ng trình sau ả ươ
2
0 0
) 6 0 6 0
6 0 6
x x
a x x x x
x x
V y ph ng trình có t p nghi m ậ ươ ậ ệ
0;6S
) 2 3 0 2 2 9 7( )b x x x x tm
V y ph ng trình có t p nghi m ậ ươ ậ ệ
7S
3) Tìm
m
đ hàm s ể ố
3 10 2y m x m
đông bi n trên ế
Hàm s ố
3 10 2y m x m
đ ng bi n trên R khi và ch khiồ ế ỉ
10
3 10 0
3
m m
V y hàm s đ ng bi n khi ậ ố ồ ế
10
3
m
Câu II.
1) Cho đ ng th ng có ph ng trình ườ ẳ ươ
,y ax b
tìm
a
và
b
đ đ ng th ng điể ườ ẳ
qua
2
đi m ể
1;4M
và
2;19N
Đ ng th ng đi qua hai đi m ườ ẳ ể
,M N
nên t a đ c a hai đi m này ph i th a mãn ọ ộ ủ ể ả ỏ
ph ng trình ươ
y ax b
. Khi đó ta có h ph ng trìnhệ ươ

Đây là bản xem thử, vui lòng mua tài liệu để xem chi ết (có lời giải)
. 1 4
4 3 15 5
2 19 4 9
.2 19
a b
a b a a
a b b a b
a b
V y đ ng th ng c n tìm là ậ ườ ẳ ầ
5 9y x
2) Hai ng i th cùng làm 1 công vi c, n u h cùng làm trong 4 ngày thì xong ườ ợ ệ ế ọ
công vi c đó. Hai ng i làm cùng nhau trong 2 ngày thì ng i th nh t ệ ườ ườ ứ ấ
đ c chuy n đi làm vi c khác, ng i th hai làm m t mình trong 6 ngày ượ ể ệ ườ ứ ộ
n a thì hoàn thành công vi c. H i n u làm riêng thì m i ng i hoàn thành ữ ệ ỏ ế ỗ ườ
công vi c đó trong bao lâu ? (gi thi t năng su t làm vi c c a m i ng i ệ ả ế ấ ệ ủ ỗ ườ
trong các ngày là không đ i).ổ
G i s ngày mà ng i th nh t, ng i th hai làm m t mình thì hoàn thành công vi c ọ ố ườ ứ ấ ườ ứ ộ ệ
l n l t là ầ ượ
,x y
(ngày)
, *x y
Trong m t ngày, ng i th nh t, ng i th hai làm đ c l n l t ộ ườ ứ ấ ườ ứ ượ ầ ượ
1 1
;
x y
(công vi c)ệ
H cùng làm trong 4 ngày thì hoàn thành công vi c nên ta có ph ng trình :ọ ệ ươ
1 1
4 1 1
x y
Sau khi làm chung 2 ngày, ng i th hai ph i làm ti p 6 ngày n a thì m i xong công ườ ứ ả ế ữ ớ
vi c nên ta có ph ng trình ệ ươ
1 1 6
2 1 2
x y y
T (1) và (2) ta có h ph ng trình :ừ ệ ươ
1 1
1 1 1
1 1
4 1
6( )
4
6
1 1
2 8 12( )
1 1 6
1
2 1
12
x y
x tm
x y
x
y tm
y
x y
x y y
V y m i ng i làm riêng thì ng i th nh t hoàn thành công vi c trong 6 ngày và ậ ỗ ườ ườ ứ ấ ệ
ng i th hai trong 12 ngày ườ ứ

Đây là bản xem thử, vui lòng mua tài liệu để xem chi ết (có lời giải)
Câu III.
1) Ch ng minh r ng : t giác ứ ằ ứ
AHON
là t giác n i ti p ứ ộ ế
Xét
O
ta có
H
là trung đi m c a dây ể ủ
PQ
90OH PQ AHO
(quan h gi a đ ng kính và dây cung)ệ ữ ườ
Xét t giác ứ
AHON
có :
90 90 180AHO ANO
T giác ứ
AHON
là t giác n i ti p (t giác có t ng hai góc đ i di n b ng ứ ộ ế ứ ổ ố ệ ằ
180 )
2) Ch ng minh r ng : ứ ằ
2
.AP AQ AM
Xét
APM
và
AMQ
có :
A
chung
AMP MQP
(góc t o b i ti p tuy n dây cung và góc n i ti p cùng ch n cungạ ở ế ế ộ ế ắ
)MP
2
( . ) . ( )
AM AP
APM AMQ g g AP AQ AM dfcm
AQ AM
∽
1
3) Ch ng minh r ng : t giác ứ ằ ứ
PQOE
là t giác n i ti p ứ ộ ế
Ta có :
OM ON R O
thu c đ ng trung tr c c a ộ ườ ự ủ
MN
AM AN
(tính ch t hai ti p tuy n c t nhau)ấ ế ế ắ
A
thu c đ ng trung tr c c a ộ ườ ự ủ
MN OA
là đ ng trung tr c c a ườ ự ủ
MN

Đây là bản xem thử, vui lòng mua tài liệu để xem chi ết (có lời giải)
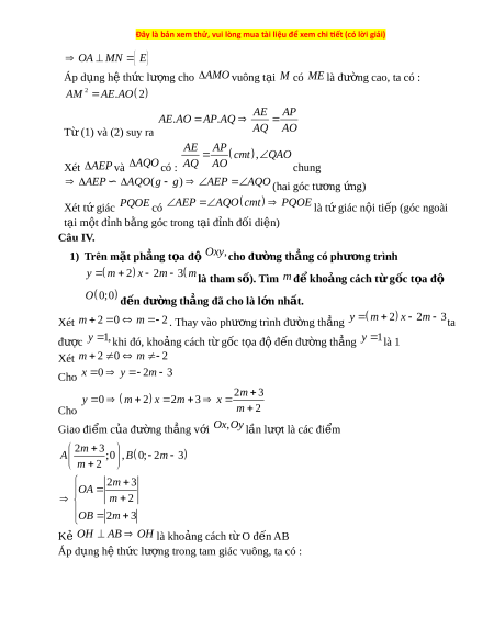
OA MN E
Áp d ng h th c l ng cho ụ ệ ứ ượ
AMO
vuông t i ạ
M
có
ME
là đ ng cao, ta có :ườ
2
. 2AM AE AO
T (1) và (2) suy ra ừ
. .
AE AP
AE AO AP AQ
AQ AO
Xét
AEP
và
AQO
có :
,
AE AP
cmt QAO
AQ AO
chung
( )AEP AQO g g AEP AQO ∽
(hai góc t ng ng)ươ ứ
Xét t giác ứ
PQOE
có
AEP AQO cmt PQOE
là t giác n i ti p (góc ngoài ứ ộ ế
t i m t đ nh b ng góc trong t i đ nh đ i di n)ạ ộ ỉ ằ ạ ỉ ố ệ
Câu IV.
1) Trên m t ph ng t a đ ặ ẳ ọ ộ
,Oxy
cho đ ng th ng có ph ng trìnhườ ẳ ươ
2 2 3y m x m m
là tham s ). Tìm ố
m
đ kho ng cách t g c t a để ả ừ ố ọ ộ
0;0O
đ n đ ng th ng đã cho là l n nh t. ế ườ ẳ ớ ấ
Xét
2 0 2m m
. Thay vào ph ng trình đ ng th ng ươ ườ ẳ
2 2 3y m x m
ta
đ c ượ
1,y
khi đó, kho ng cách t g c t a đ đ n đ ng th ng ả ừ ố ọ ộ ế ườ ẳ
1y
là 1
Xét
2 0 2m m
Cho
0 2 3x y m
Cho
2 3
0 2 2 3
2
m
y m x m x
m
Giao đi m c a đ ng th ng v i ể ủ ườ ẳ ớ
,Ox Oy
l n l t là các đi mầ ượ ể
2 3
;0 , 0; 2 3
2
m
A B m
m
2 3
2
2 3
m
OA
m
OB m
K ẻ
OH AB OH
là kho ng cách t O đ n ABả ừ ế
Áp d ng h th c l ng trong tam giác vuông, ta có :ụ ệ ứ ượ
