ệ xem ể chi ti t ế (có l i ờ gi i ả ) SỞ GIÁO D C Ụ VÀ ĐÀO T O Ạ KỲ THI TUY N Ể SINH VÀO L P Ớ 10 THPT CHUYÊN HƯNG YÊN NĂM H C Ọ 2019-2020 Môn thi: TOÁN Đ C Ề HÍNH TH C Ứ (Dành cho m i ọ thí sinh) Th i
ờ gian làm bài: 120 phút (không k t ể h i ờ gian giao đ ) ề Câu 1. (2,0 đi m ể ) A 2 1 2 2 5 20 20 1) Rút g n bi ọ u t ể h c ứ 5 2) Cho hai đư ng t ờ h ng
ẳ d : y
m 2 x m và : y 4x 1 a) Tìm m đ
ể d song song v i ớ b) Ch ng ứ minh đư ng t ờ h ng
ẳ d luôn đi qua đi m ể A 1;2 v i ớ m i ọ m c) Tìm t a đ ọ đi ộ m ể B thu c
ộ sao cho AB vuông góc v i ớ Câu 2. (2,0 đi m ể ) 4 2 2 1) Gi i ả phư ng t ơ
rình : x 2x x 2x 4 4
x y2 xy 3y 1 2 x y 1 x y 2 2) Gi i ả h ph ệ ư ng t ơ rình: 1 x Câu 3. (2,0 đi m ể ) 2 2 Cho phư ng t ơ
rình : x 2 m
1 x m 4 0 1 (mlà tham số) 1) Gi i ả phư ng t ơ rình khi m 2 2) Tìm m đ ph ể ư ng t ơ rình
1 có hai nghiệm x ,x 1 2 th a m ỏ ãn 2
x 2 m 2 1 x 3 m 16 1 2 Câu 4. (3,0 đi m ể )
Cho tam giác ABC vuông t i ạ A. V các n ẽ a ử đư ng t ờ ròn đư ng kí ờ nh AB và AC sao cho các n a đ ử ư ng t ờ ròn này không có đi m ể nào n m
ằ trong tam giác ABC. Đư ng ờ th ng ẳ d đi qua A c t ắ các n a ử đư ng t ờ ròn đư ng kí ờ
nh AB và AC theo th t ứ ự
ở M và N (khác đi m ể ). A G i ọ I là trung đi m ể c a đo ủ n ạ th ng ẳ BC. 1) Ch ng ứ minh t gi
ứ ác BMNC là hình thang vuông 2) Ch ng ứ minh IM IN 3) Giả s đ ử ư ng ờ th ng ẳ d thay đổi nh ng v ư n t ẫ h a m ỏ ãn đi u ki ề n đ ệ bài ề . Hãy xác định vị trí c a ủ đư ng t ờ h ng ẳ d đ chu vi ể t gi ứ ác BMNC l n nh ớ ất. Câu 5. (1,0 đi m ể ) 2 2 2 Cho các số th c
ự không âm x, y, z th a m ỏ
ãn: x y z 3 y M i
ọ thắc mắc vui lòng xin liên hệ hotline: 084 283 45 85
ệ xem ể chi ti t ế (có l i ờ gi i ả ) 1 4 8 P 2 2 2 Tìm giá tr nh ị nh ỏ t ấ c a bi ủ u t ể h c ứ x 1 y 2 z 3 ĐÁP ÁN Câu 1. 1) A 2 1 2 2 5 20 20 5 2
5 2 2 5 4 5 4 2) a) Để đư ng t ờ h ng ẳ
d : y
m 2 x m và : y 4x 1song song thì: m 2 4 m 2 m 1 b) Thay t a đ ọ ộ đi m
ể A 1;2 vào phư ng t ơ rình đư ng t ờ h ng ẳ
d : y
m 2 x m
Ta có: m 2 . 1 m 2 (th a m ỏ ãn)
d luôn đi qua đi m ể A 1;2 v i ớ m i ọ m c) Phư ng ơ trình đư ng t ờ h ng ẳ AB vuông góc v i
ớ có hệ số góc là k là: y k x 1 2 k 0 y k
x 2 k 1
k. 4 1 k Vì AB vuông góc v i ớ nên 4 1 9 y x phư ng ơ trình đư ng ờ th ng ẳ AB là: 4 4 Do đó, t a ọ đ đi ộ m ể B là nghi m ệ c a h ủ ệ phư ng t ơ rình: 5 1 9 x y x 17 4 4 37 y 4x 1 x 17 5 37 B ; V y ậ 17 17 M i
ọ thắc mắc vui lòng xin liên hệ hotline: 084 283 45 85
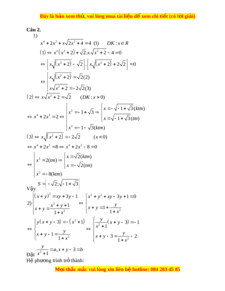
ệ xem ể chi ti t ế (có l i ờ gi i ả ) Câu 2. 1) 4 2 2
x 2x x 2x 4 4 (1)
DK : x R 2 1 x 2 x 2 2 2. . x x 2 4 0 x 2 x 2 2 . x 2 x 2 2 2 0 x 2 x 2 2(2) 2 x x 2 2 2(3) 2 2 x x 2 2 (DK : x 0)
x 1 3(ktm) 2
x 1 3 4 2 x 2x 2
x 1 3 (tm) 2
x 1 3(ktm) 3 x 2 x 2 2 2 (x 0) 4 2 4 2 x 2x 8
x 2x 8 0 x 2(ktm) 2 x 2( tm) x 2(tm) 2
x 8(ktm) S 2; 1 3 V y ậ x y2 2 2
xy 3y 1
x y xy 3y 1 0 2) 2 x y 1 y x y x y 1 2 2 1 x 1 x y
y x y 3 2 x 1
x y 3 1 2 x 1 y 1 y x y 2
x y 3 2 1 x 2 1 x y a
, x y 3 b Đ t ặ 2 x 1 Hệ phư ng ơ trình tr t ở hành: M i
ọ thắc mắc vui lòng xin liên hệ hotline: 084 283 45 85
ệ xem ể chi ti t ế (có l i ờ gi i ả ) ab 1 b
b b 2 2 1 1 0 b 1 a b 2 a b 2 a 2 b a 1 Thay vào ta có: y 2 2 1 x 1 y
x x 1 0 2 x 1 2 2
x x 1 3 1 y x 1
x y 3 1 1 5 x 2 5 5 y 2 1 5 x 2 5 5 y 2 1 5 5
5 1 5 5 5 ; x y ; ; ; 2 2 2 2 V y ậ nghi m ệ c a h ủ ph ệ ư ng t ơ rình là Câu 3. 2 2 Phư ng
ơ trình x 2 m
1 x m 4 0 1 1) Thay m 2 x 4 2
1 x 6x 8 0 x 2
m 2 2 ' 1 m 4 2 m 3 2) 3 ' 0 2m 3 0 m Để phư ng t ơ rình có nghi m ệ 2 x x 2 m 1 1 2 2 Khi đó áp d ng ụ Viet ta có: x x m 4 1 2 M i
ọ thắc mắc vui lòng xin liên hệ hotline: 084 283 45 85
Đề thi vào 10 môn Toán tỉnh Hưng Yên năm 2020
529
265 lượt tải
MUA NGAY ĐỂ XEM TOÀN BỘ TÀI LIỆU
CÁCH MUA:
- B1: Gửi phí vào TK:
1133836868- CT TNHH DAU TU VA DV GD VIETJACK - Ngân hàng MB (QR) - B2: Nhắn tin tới Zalo VietJack Official ( nhấn vào đây ) để xác nhận thanh toán và tải tài liệu - giáo án
Liên hệ ngay Hotline hỗ trợ: 084 283 45 85
Đề thi được cập nhật liên tục trong gói này từ nay đến hết tháng 6/2023. Chúng tôi đảm bảo đủ số lượng đề đã cam kết hoặc có thể nhiều hơn, tất cả có BẢN WORD, LỜI GIẢI CHI TIẾT và tải về dễ dàng.
Để tải tài liệu gốc về máy bạn click vào nút Tải Xuống ở trên!
Thuộc bộ (mua theo bộ để tiết kiệm hơn):
- Tailieugiaovien.com.vn giới thiệu bộ 63 đề thi vào 10 môn Toán hệ không chuyên năm 2020 nhằm giúp Giáo viên có thêm tài liệu tham khảo đề luyện thi Toán ôn luyện
- File word có lời giải chi tiết 100%.
- Mua trọn bộ sẽ tiết kiệm hơn tải lẻ 50%.
Đánh giá
4.6 / 5(529 )5
4
3
2
1
Trọng Bình
Tài liệu hay
Giúp ích cho tôi rất nhiều
Duy Trần
Tài liệu chuẩn
Rất thích tài liệu bên VJ soạn (bám sát chương trình dạy)
TÀI LIỆU BỘ BÁN CHẠY MÔN Toán Học
Xem thêmTÀI LIỆU BỘ BÁN CHẠY Ôn vào 10
Xem thêmTài liệu bộ mới nhất

Đây là b nả xem thử, vui lòng mua tài li u đ xem chi ti t (có l i gi i)ệ ể ế ờ ả
S GIÁO D C VÀ ĐÀO T OỞ Ụ Ạ
H NG YÊNƯ
Đ CHÍNH TH C Ề Ứ
KỲ THI TUY N SINH VÀO L P 10 THPT CHUYÊNỂ Ớ
NĂM H C 2019-2020Ọ
Môn thi: TOÁN
(Dành cho m i thí sinh)ọ
Th i gian làm bài: 120 phút (không k th i gian giao đ )ờ ể ờ ề
Câu 1. (2,0 đi m)ể
1) Rút g n bi u th c ọ ể ứ
2
1
2 2 5 20 20
5
A
2) Cho hai đ ng th ng ườ ẳ
: 2d y m x m
và
: 4 1y x
a) Tìm
m
đ ể
d
song song v i ớ
b) Ch ng minh đ ng th ng ứ ườ ẳ
d
luôn đi qua đi m ể
1;2A
v i m i ớ ọ
m
c) Tìm t a đ đi m ọ ộ ể
B
thu c ộ
sao cho
AB
vuông góc v i ớ
Câu 2. (2,0 đi m)ể
1) Gi i ph ng trình : ả ươ
4 2 2
2 2 4 4x x x x
2) Gi i h ph ng trình: ả ệ ươ
2
2
2
3 1
1
1
x y xy y
x y
x y
x
Câu 3. (2,0 đi m)ể
Cho ph ng trình : ươ
2 2
2 1 4 0 1x m x m
(
m
là tham s )ố
1) Gi i ph ng trình khi ả ươ
2m
2) Tìm
m
đ ph ng trình ể ươ
1
có hai nghi m ệ
1 2
,x x
th a mãnỏ
2 2
1 2
2 1 3 16x m x m
Câu 4. (3,0 đi m)ể
Cho tam giác
ABC
vuông t i A. V các n a đ ng tròn đ ng kính ạ ẽ ử ườ ườ
AB
và
AC
sao cho các n a đ ng tròn này không có đi m nào n m trong tam giác ử ườ ể ằ
.ABC
Đ ng th ng ườ ẳ
d
đi qua
A
c t các n a đ ng tròn đ ng kính ắ ử ườ ườ
AB
và
AC
theo th t ứ ự
ở
M
và
N
(khác đi m ể
).A
G i ọ
I
là trung đi m c a đo n th ng ể ủ ạ ẳ
.BC
1) Ch ng minh t giác ứ ứ
BMNC
là hình thang vuông
2) Ch ng minh ứ
IM IN
3) Gi s đ ng th ng ả ử ườ ẳ
d
thay đ i nh ng v n th a mãn đi u ki n đ bài. Hãy xácổ ư ẫ ỏ ề ệ ề
đ nh v trí c a đ ng th ng ị ị ủ ườ ẳ
d
đ chu vi t giác ể ứ
BMNC
l n nh t.ớ ấ
Câu 5. (1,0 đi m)ể
Cho các s th c không âm ố ự
, ,x y z
th a mãn: ỏ
2 2 2
3x y z y
M iọ th c m c vui lòng xin liên hắ ắ ệ hotline: 084 283 45 85

Đây là b nả xem thử, vui lòng mua tài li u đ xem chi ti t (có l i gi i)ệ ể ế ờ ả
Tìm giá tr nh nh t c a bi u th c ị ỏ ấ ủ ể ứ
2 2 2
1 4 8
1 2 3
P
x y z
ĐÁP ÁN
Câu 1.
1)
2
1
2 2 5 20 20
5
2 5 2 2 5 4 5 4
A
2)
a) Đ đ ng th ng ể ườ ẳ
: 2d y m x m
và
: 4 1y x
song song thì:
2 4
2
1
m
m
m
b) Thay t a đ đi m ọ ộ ể
1;2A
vào ph ng trình đ ng th ngươ ườ ẳ
: 2d y m x m
Ta có:
2 . 1 2m m
(th a mãn)ỏ
d
luôn đi qua đi m ể
1;2A
v i m i ớ ọ
m
c) Ph ng trình đ ng th ng ươ ườ ẳ
AB
vuông góc v i ớ
có h s góc là ệ ố
k
là:
1 2 0 2y k x k y kx k
Vì
AB
vuông góc v i ớ
nên
1
. 4 1
4
k k
ph ng trình đ ng th ng ươ ườ ẳ
AB
là:
1 9
4 4
y x
Do đó, t a đ đi m ọ ộ ể
B
là nghi m c a h ph ng trình:ệ ủ ệ ươ
5
1 9
17
4 4
37
4 1
17
x
y x
y x
x
V y ậ
5 37
;
17 17
B
M iọ th c m c vui lòng xin liên hắ ắ ệ hotline: 084 283 45 85

Đây là b nả xem thử, vui lòng mua tài li u đ xem chi ti t (có l i gi i)ệ ể ế ờ ả
Câu 2.
1)
4 2 2
2 2 2
2 2
2
2
2 2 4 4 (1) :
1 2 2. . 2 4 0
2 2 . 2 2 2 0
2 2(2)
2 2 2(3)
x x x x DK x R
x x x x
x x x x
x x
x x
2
2
4 2
2
2 2 2 ( : 0)
1 3 ( )
1 3
2 2
1 3 ( )
1 3( )
x x DK x
x ktm
x
x x
x tm
x ktm
2
4 2 4 2
2
2
3 2 2 2 ( 0)
2 8 2 8 0
2( )
2( )
2( )
8( )
x x x
x x x x
x ktm
x tm
x tm
x ktm
V y ậ
2; 1 3S
2
2 2
2
2
2
3 1
3 1 0
2)
1
1
1
1
x y xy y
x y xy y
y
x y
x y
x y
x
x
2
2
2
2
3 1
3 1
1
1
3 2
1
1
y
y x y x
x y
x
y
y
x y
x y
x
x
Đ t ặ
2
, 3
1
y
a x y b
x
H ph ng trình tr thành:ệ ươ ở
M iọ th c m c vui lòng xin liên hắ ắ ệ hotline: 084 283 45 85

Đây là b nả xem thử, vui lòng mua tài li u đ xem chi ti t (có l i gi i)ệ ể ế ờ ả
2
2 1
1 1
1 0
2 1
2
2
b b
ab b
b
a b a
a b
a b
Thay vào ta có:
2 2
2
2 2
1 1 0
1
1
1 3 1 1
3 1
1 5
2
5 5
2
1 5
2
5 5
2
y
x y x x
x
x x y x
x y
x
y
x
y
V y nghi m c a h ph ng trình là ậ ệ ủ ệ ươ
1 5 5 5 1 5 5 5
; ; ; ;
2 2 2 2
x y
Câu 3.
Ph ng trình ươ
2 2
2 1 4 0 1x m x m
1) Thay
2m
2
4
1 6 8 0
2
x
x x
x
2)
2
2
' 1 4 2 3m m m
Đ ph ng trình có nghi m ể ươ ệ
3
' 0 2 3 0
2
m m
Khi đó áp d ng Viet ta có: ụ
1 2
2
1 2
2 1
4
x x m
x x m
M iọ th c m c vui lòng xin liên hắ ắ ệ hotline: 084 283 45 85

Đây là b nả xem thử, vui lòng mua tài li u đ xem chi ti t (có l i gi i)ệ ể ế ờ ả
2 2
1 2
2 2
1 1 2 2
2
2
1 2 1 2
2
2 2
2 1 3 16
3 16
3 16
4 1 4 3 16
8 16 0 2( )
x m x m
x x x x m
x x x x m
m m m
m m tm
Câu 4.
a) Xét t giác ứ
BCNM
có:
BM
vuông góc
,MN
CN
vuông góc
MN BCNM
là hình thang vuông
b) T ừ
I
k ẻ
IO MN
IO
là đ ng trung bình hình thang ườ
BCNM
O
là trung đi m ể
MN
IO
v a là đ ng cao, v a là đ ng trung tuy nừ ườ ừ ườ ế
IMN
cân t i ạ
I IM IN
c) Chu vi
P BC CN NM MB
2 2 2 2
BC AC AN AB AM AN AM
Xét BĐT sau:
2 2
2.a b a b
v i m i ớ ọ
, 0a b
M iọ th c m c vui lòng xin liên hắ ắ ệ hotline: 084 283 45 85
