ệ xem ể chi ti t ế (có l i ờ gi i ả ) SỞ GIÁO D C Ụ VÀ ĐÀO T O Ạ KỲ THI TUY N Ể SINH VÀO 10 THPT KHÁNH HÒA Năm h c ọ : 2019-2020 Môn thi: TOÁN Đ Ề THI CHÍNH TH C Ứ Ngày thi: 04/6/2019
Thời gian làm bài: 120 phút, khong k phá ể t đề Bài 1. (2,0 đi m ể ) Gi i ả phư ng t ơ rình và h ph ệ ư ng t ơ
rình sau (không dùng máy tính cầm tay) a) 4 2 x 3x 4 0 x 2 y 5 b)
x 5y 9 Bài 2. (1,0 đi m ể ) Trên m t ặ ph ng t ẳ a ọ đ ộ Oxy, cho đi m
ể T 2; 2 , parabol (P) có 2 phư ng
ơ trình y 8x và đư ng ờ th ng ẳ d có phư ng
ơ trình y 2x 6 a) Đi m ể T có thu c ộ đư ng t ờ h ng ẳ d không ? b) Xác đ nh t ị a ọ đ gi ộ ao đi m ể c a ủ đư ng t ờ h ng ẳ
d và parabol P x
P 4x 9x 2 x 0 Bài 3. (2,0 đi m ể ) Cho bi u t ể h c ứ x a) Rút g n P ọ b) Tính giá tr c ị a ủ P bi t ế x 6
2 5 (không dùng máy tính c m ầ tay) Bài 4. (3,0 đi m
ể ) Cho tam giác ABC vuông t i ạ A, đư ng ờ cao AH.Vẽ đư ng ờ tròn
A bán kính AH. T đ ừ nh B ỉ k t ẻ i p t ế uy n ế BI v i ớ A c t ắ đư ng t ờ h ng ẳ AC t i ạ D (đi m ể I là ti p ế đi m
ể , I và H không trùng nhau). a) Ch ng ứ minh AHBI là t gi ứ ác n i ộ ti p ế b) Cho AB 4 c , m AC 3 c . m Tính AI c) G i ọ HK là đư ng kí ờ nh c a ủ A .Ch ng m ứ inh r ng: ằ BC BI DK Bài 5. (2,0 đi m ể ) a) Cho phư ng t ơ rình 2
2x 6x 3m 1 0 (v i
ớ m là tham số). Tìm các giá tr ị 3 3 c a ủ m đ ph ể ư ng t ơ rình đã cho có hai nghi m ệ x , x x x 9 1 2 th a ỏ mãn 1 2 b) Trung tâm thư ng ơ mai VC t i ạ thành ph N
ố C có 100 gian hàng. N u m ế ỗi gian hàng c a ủ Trung tâm thư ng m ơ i ạ VC cho thuê v i ớ giá 100.000.000 đồng (m t ộ trăm tri u đ ệ ng) ồ m t ộ năm thì t t ấ c các ả gian hàng đ u đ ề ư c ợ thuê h t ế . Bi t ế r ng, c ằ m
ứ ỗi lần tăng giá 5% ti n t ề huê mỗi gian hàng m t ộ năm thì Trung tâm thư ng ơ m i
ạ VC có thêm 2 gian hàng tr ng. H ố i ỏ ngư i ờ qu n ả lý M i
ọ thắc mắc vui lòng xin liên hệ hotline: 084 283 45 85
ệ xem ể chi ti t ế (có l i ờ gi i ả ) ph i ả quy t ế đ nh g ị iá thuê m i
ỗ gian hàng là bao nhiêu đ ng m ồ t ộ năm đ ể doanh thu c a ủ Trung tâm thư ng ơ m i ạ VC t t ừ i n cho t ề huê gian hàng trong năm là l n ớ nh t ấ ? M i
ọ thắc mắc vui lòng xin liên hệ hotline: 084 283 45 85
ệ xem ể chi ti t ế (có l i ờ gi i ả ) ĐÁP ÁN Bài 1. 2 a) Đ t ặ x t t 0 , phư ng t ơ rình tr t ở hành: 2 t 3t 4 0 Phư ng ơ trình có d ng
ạ a b c 1 3 4 0 t 1 (tm) 1 Do đó phư ng ơ trình có 2 nghi m ệ phân bi t
ệ t 4(ktm) 2 2 V i ớ t 1 x 1 x 1 1 V y ậ t p nghi ậ m ệ c a ph ủ ư ng ơ trình là S 1 x 2 y 5 7 y 14 y 2 y 2 b)
x 5y 9 x 5 2 y x 5 2.2 x 1 V y ậ nghi m ệ c a h ủ ph ệ ư ng t ơ
rình là x, y 1, 2 Bài 2.
a) Thay x 2, y 2 vào phư ng t ơ rình đư ng t ờ h ng
ẳ d : y 2x 6 ta đư c ợ
2 2. 2 6 2 2 (luôn đúng) nên đi m ể T thu c đ ộ ư ng ờ th ng ẳ d b) Xét phư ng
ơ trình hoành độ giao đi m ể c a đ ủ ư ng ờ th ng ẳ d và parabol (P) ta có: 2 2
8x 2x 6 8x 2x 6 0 2 x 1
y 8.1 8 2 3 3 9 x y 8. 4 4 2 V y ậ t a đ ọ gi ộ ao đi m ể c a đ ủ ư ng t ờ h ng
ẳ d và parabol P là 3 9 1; 8 ; ; 4 2 Bài 3. a) V i ớ x 0 thì x
P 4x 9x 2. x 2
x 3 x 2 x x M i
ọ thắc mắc vui lòng xin liên hệ hotline: 084 283 45 85
ệ xem ể chi ti t ế (có l i ờ gi i ả ) V y ậ P x v i ớ x 0 b) Ta có: x 2 6 2 5 5 2 5 1 5 1 x 2 5 1 (tm) P 2 5 1 5 1 1 5 Thay
vào P x ta đư c: ợ V y ậ P 1 5 Bài 4. a) Do BI là ti p t ế uy n c ế a ủ A 0
BI AI AIB 9 0
Xét tứ giác AHBI có 0 0 0 AHB AIB 9 0 90 1 80 T gi ứ ác AHBI là t gi ứ ác n i ộ 0 ti p ( ế t gi ứ ác có t ng hai ổ góc đ i ố b ng ằ 180 ) b) Áp d ng ụ h t ệ h c ứ lư ng t ợ
rong tam giác vuông ABC, đư ng cao ờ AH ta có: M i
ọ thắc mắc vui lòng xin liên hệ hotline: 084 283 45 85
Đề thi vào 10 môn Toán tỉnh Khánh Hòa năm 2020
541
271 lượt tải
MUA NGAY ĐỂ XEM TOÀN BỘ TÀI LIỆU
CÁCH MUA:
- B1: Gửi phí vào TK:
1133836868- CT TNHH DAU TU VA DV GD VIETJACK - Ngân hàng MB (QR) - B2: Nhắn tin tới Zalo VietJack Official ( nhấn vào đây ) để xác nhận thanh toán và tải tài liệu - giáo án
Liên hệ ngay Hotline hỗ trợ: 084 283 45 85
Đề thi được cập nhật liên tục trong gói này từ nay đến hết tháng 6/2023. Chúng tôi đảm bảo đủ số lượng đề đã cam kết hoặc có thể nhiều hơn, tất cả có BẢN WORD, LỜI GIẢI CHI TIẾT và tải về dễ dàng.
Để tải tài liệu gốc về máy bạn click vào nút Tải Xuống ở trên!
Thuộc bộ (mua theo bộ để tiết kiệm hơn):
- Tailieugiaovien.com.vn giới thiệu bộ 63 đề thi vào 10 môn Toán hệ không chuyên năm 2020 nhằm giúp Giáo viên có thêm tài liệu tham khảo đề luyện thi Toán ôn luyện
- File word có lời giải chi tiết 100%.
- Mua trọn bộ sẽ tiết kiệm hơn tải lẻ 50%.
Đánh giá
4.6 / 5(541 )5
4
3
2
1
Trọng Bình
Tài liệu hay
Giúp ích cho tôi rất nhiều
Duy Trần
Tài liệu chuẩn
Rất thích tài liệu bên VJ soạn (bám sát chương trình dạy)
TÀI LIỆU BỘ BÁN CHẠY MÔN Toán Học
Xem thêmTÀI LIỆU BỘ BÁN CHẠY Ôn vào 10
Xem thêmTài liệu bộ mới nhất

Đây là b nả xem thử, vui lòng mua tài li u đ xem chi ti t (có l i gi i)ệ ể ế ờ ả
S GIÁO D C VÀ ĐÀO T O Ở Ụ Ạ
KHÁNH HÒA
Đ THI CHÍNH TH C Ề Ứ
KỲ THI TUY N SINH VÀO 10 THPT Ể
Năm h c: 2019-2020ọ
Môn thi: TOÁN
Ngày thi: 04/6/2019
Th i gian làm bài: 120 phút, khong k phát đờ ể ề
Bài 1. (2,0 đi m) ể Gi i ph ng trình và h ph ng trình sau (không dùng máy tínhả ươ ệ ươ
c m tay)ầ
a)
4 2
3 4 0x x
b)
2 5
5 9
x y
x y
Bài 2. (1,0 đi m) ể Trên m t ph ng t a đ ặ ẳ ọ ộ
,Oxy
cho đi m ể
2; 2T
, parabol (P) có
ph ng trình ươ
2
8y x
và đ ng th ng ườ ẳ
d
có ph ng trình ươ
2 6y x
a) Đi m ể
T
có thu c đ ng th ng ộ ườ ẳ
d
không ?
b) Xác đ nh t a đ giao đi m c a đ ng th ng ị ọ ộ ể ủ ườ ẳ
d
và parabol
P
Bài 3. (2,0 đi m) ể Cho bi u th c ể ứ
4 9 2 0
x
P x x x
x
a) Rút g n Pọ
b) Tính giá tr c a P bi t ị ủ ế
6 2 5x
(không dùng máy tính c m tay)ầ
Bài 4. (3,0 đi m) ể Cho tam giác
ABC
vuông t i A, đ ng cao ạ ườ
.AH
V đ ng trònẽ ườ
A
bán kính AH. T đ nh B k ti p tuy n ừ ỉ ẻ ế ế
BI
v i ớ
A
c t đ ng th ng ắ ườ ẳ
AC
t i D ạ
(đi m I là ti p đi m, ể ế ể
I
và H không trùng nhau).
a) Ch ng minh ứ
AHBI
là t giác n i ti pứ ộ ế
b) Cho
4 , 3 .AB cm AC cm
Tính
AI
c) G i ọ
HK
là đ ng kính c a ườ ủ
.A
Ch ng minh r ng: ứ ằ
BC BI DK
Bài 5. (2,0 đi m)ể
a) Cho ph ng trình ươ
2
2 6 3 1 0x x m
(v i ớ
m
là tham s ). Tìm các giá tr ố ị
c a ủ
m
đ ph ng trình đã cho có hai nghi m ể ươ ệ
1 2
,x x
th a mãn ỏ
3 3
1 2
9x x
b) Trung tâm th ng mai VC t i thành ph NC có ươ ạ ố
100
gian hàng. N u m i ế ỗ
gian hàng c a Trung tâm th ng m i VC cho thuê v i giá ủ ươ ạ ớ
100.000.000
đ ngồ
(m t trăm tri u đ ng) m t năm thì t t c các gian hàng đ u đ c thuê h t. ộ ệ ồ ộ ấ ả ề ượ ế
Bi t r ng, c m i l n tăng giá ế ằ ứ ỗ ầ
5%
ti n thuê m i gian hàng m t năm thì ề ỗ ộ
Trung tâm th ng m i VC có thêm 2 gian hàng tr ng. H i ng i qu n lý ươ ạ ố ỏ ườ ả
M iọ th c m c vui lòng xin liên hắ ắ ệ hotline: 084 283 45 85

Đây là b nả xem thử, vui lòng mua tài li u đ xem chi ti t (có l i gi i)ệ ể ế ờ ả
ph i quy t đ nh giá thuê m i gian hàng là bao nhiêu đ ng m t năm đ ả ế ị ỗ ồ ộ ể
doanh thu c a Trung tâm th ng m i VC t ti n cho thuê gian hàng trong ủ ươ ạ ừ ề
năm là l n nh t ?ớ ấ
M iọ th c m c vui lòng xin liên hắ ắ ệ hotline: 084 283 45 85

Đây là b nả xem thử, vui lòng mua tài li u đ xem chi ti t (có l i gi i)ệ ể ế ờ ả
ĐÁP ÁN
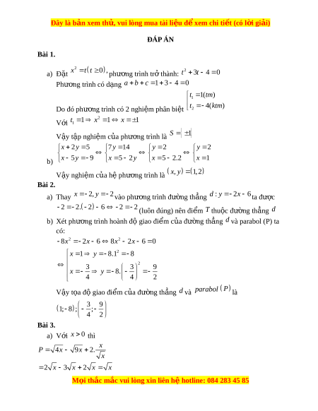
Bài 1.
a) Đ t ặ
2
0 ,x t t
ph ng trình tr thành: ươ ở
2
3 4 0t t
Ph ng trình có d ng ươ ạ
1 3 4 0a b c
Do đó ph ng trình có 2 nghi m phân bi t ươ ệ ệ
1
2
1( )
4( )
t tm
t ktm
V i ớ
2
1
1 1 1t x x
V y t p nghi m c a ph ng trình là ậ ậ ệ ủ ươ
1S
b)
2 5 7 14 2 2
5 9 5 2 5 2.2 1
x y y y y
x y x y x x
V y nghi m c a h ph ng trình là ậ ệ ủ ệ ươ
, 1,2x y
Bài 2.
a) Thay
2, 2x y
vào ph ng trình đ ng th ng ươ ườ ẳ
: 2 6d y x
ta đ cượ
2 2. 2 6 2 2
(luôn đúng) nên đi m ể
T
thu c đ ng th ng ộ ườ ẳ
d
b) Xét ph ng trình hoành đ giao đi m c a đ ng th ng ươ ộ ể ủ ườ ẳ
d
và parabol (P) ta
có:
2 2
2
2
8 2 6 8 2 6 0
1 8.1 8
3 3 9
8.
4 4 2
x x x x
x y
x y
V y t a đ giao đi m c a đ ng th ng ậ ọ ộ ể ủ ườ ẳ
d
và
parabol
P
là
3 9
1; 8 ; ;
4 2
Bài 3.
a) V i ớ
0x
thì
4 9 2.
2 3 2
x
P x x
x
x x x x
M iọ th c m c vui lòng xin liên hắ ắ ệ hotline: 084 283 45 85

Đây là b nả xem thử, vui lòng mua tài li u đ xem chi ti t (có l i gi i)ệ ể ế ờ ả
V y ậ
P x
v i ớ
0x
b) Ta có:
2
6 2 5 5 2 5 1 5 1x
Thay
2
5 1 ( )x tm
vào
P x
ta đ c: ượ
2
5 1 5 1 1 5P
V y ậ
1 5P
Bài 4.
a) Do
BI
là ti p tuy n c a ế ế ủ
0
90A BI AI AIB
Xét t giác ứ
AHBI
có
0 0 0
90 90 180AHB AIB
T giác ứ
AHBI
là t giác n iứ ộ
ti p (t giác có t ng hai góc đ i b ng ế ứ ổ ố ằ
0
180 )
b) Áp d ng h th c l ng trong tam giác vuông ụ ệ ứ ượ
,ABC
đ ng cao ườ
AH
ta có:
M iọ th c m c vui lòng xin liên hắ ắ ệ hotline: 084 283 45 85

Đây là b nả xem thử, vui lòng mua tài li u đ xem chi ti t (có l i gi i)ệ ể ế ờ ả
2 2 2 2 2
2
1 1 1 1 1 1 1 25
4 3 16 9 144
144 144 12
25 25 5
AH AB AC
AH AH
V y ậ
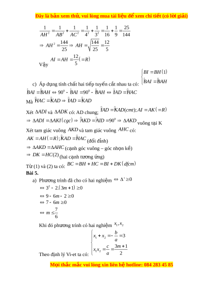
12
5
AI AH R
c) Áp d ng tính ch t hai ti p tuy n c t nhau ta có: ụ ấ ế ế ắ
1BI BH
BAI BAH
0 0
90 90BAI BAH BAI BAH IAD HAC
Mà
HAC KAD IAD KAD
Xét
ADI
và
ADK
có: AD chung;
( );IAD KAD cmt AI AK R
0
90ADI AKI cgc AKD AID AKD
vuông t i Kạ
Xét tam giác vuông
AKD
và tam giác vuông
AHC
có:
;AK AH R KAD HAC
(đ i đ nh)ố ỉ
AKD AHC
(c nh góc vuông – góc nh n k )ạ ọ ề
(2)DK HC
(hai c nh t ng ng)ạ ươ ứ
T (1) và (2) ta có: ừ
BC BH HC BI DK dfcm
Bài 5.
a) Ph ng trình đã cho có hai nghi m ươ ệ
' 0
2
3 2. 3 1 0
9 6 2 0
m
m
7 6 0m
7
6
m
Khi đó ph ng trình có hai nghi m ươ ệ
1 2
,x x
Theo đ nh lý Vi-et ta có: ị
1 2
1 2
3
3 1
2
b
x x
a
c m
x x
a
M iọ th c m c vui lòng xin liên hắ ắ ệ hotline: 084 283 45 85
