SỞ GIÁO D C Ụ VÀ ĐÀO T O Ạ KỲ THI TUY N Ể SINH L P Ớ 10 THPT L N Ạ G SƠN
NĂM HỌC 2020 – 2021 Môn thi : TOÁN Đ C Ề HÍNH TH C Ứ Th i
ờ gian làm bài: 120 phút Câu 1. (3,0 đi m ể ) a) Tính giá tr các ị bi u ể th c s ứ au : A B 2 8 32 98 25 9 2 1 2 C 2 x 2 1 P : b) Cho bi u t ể h c ứ x 1 x x x 1 , v i ớ x 0, x 1 Rút g n bi ọ u t ể h c ứ . P Tính giá tr c ị a ủ P khi x 4 Câu 2. (1,5 đi m ể ) 3
x 2 y 4 a) Gi i ả h ph ệ ư ng t ơ rình: x y 7 2 b) Tìm t a đ ọ gi ộ ao đi m ể c a ủ đ t ồ h hai ị hàm s
ố y x và y x 2 Câu 3. (1,5 đi m ể ) a) M t ộ m nh v ả ư n ờ hình ch nh ữ t
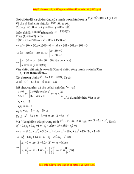
ậ có chu vi là 160m và diện tích là 2 1500m . Tính chi u dài ề và chi u r ề ng c ộ a ủ m nh v ả ư n ờ đó b) Tìm tham s ố m đ ph ể ư ng t ơ rình 2
x 5x m 3 0 có hai nghiệm phân 2 biệt x , x
x 2x x 3x 1 1 2 th a m ỏ ãn 1 1 2 2 Câu 4. (3,5 đi m ể ) Cho n a đ ử ư ng t ờ
ròn O đư ng kí ờ nh A . B Trên n a đ ử ư ng t ờ ròn O lấy đi m ể C sao cho CA . CB Trên đo n ạ th ng ẳ OB lấy đi m
ể M sao cho M n m ằ gi a ữ O và . B Đư ng ờ th ng đi ẳ qua M vuông góc v i ớ AB c t ắ tia AC t i ạ N, c t ắ BC t i ạ E. a) Ch ng ứ minh t gi ứ ác ACEM n i ộ ti p t ế rong m t ộ đư ng t ờ ròn b) Ti p t ế uy n c ế a ủ n a đ ử ư ng t ờ ròn O t i ạ C c t ắ đư ng ờ th ng ẳ MN t i ạ F. Ch ng ứ minh CE F cân c) G i ọ H là giao đi m ể c a ủ NB v i ớ n a ử đư ng t ờ ròn O .Ch ng m ứ inh HF là ti p t ế uy n c ế a ủ n a đ ử ư ng ờ tròn O Câu 5. (0,5 đi m ể )
Cho các số th c
ự a,b,c không âm th a m ỏ
ãn a b c 3 .Tìm giá tr nh ị ỏ 2 2 2 2 2 2 nhất c a bi ủ u ể th c
ứ P 3a 2ab 3b 3b 2bc 3c 3c 2ca 3a ĐÁP ÁN Câu 1. a) Tính giá tr bi ị u t ề h c ứ A 25 9 5 3 2 B 2 2 1 2 2 1 2 1 8 32 98 2 2 4 2 7 2 C 2 4 7 1 2 2 b) Rút g n và t ọ ính P Ta có: x 2 1 x. x 2 P : . x 1 x 1 x x x 1 x x 1 x 2 x 4 2 x 4(tmdk) P 3 Thay 4 V y ậ P 3 x 4 Câu 2. a) Giải h p ệ hư ng t ơ rình 3
x 2 y 4 3
x 2 y 4 5 x 10 x 2 x y 7 2x 2y 14 y x 7 y 5 V y ậ h ph ệ ư ng t ơ rình có nghi m ệ duy nh t ấ ; x y 2; 5 b) Tìm t a đ ọ gi ộ ao đi m ể …. Ta có phư ng
ơ trình hoành độ giao đi m ể c a hai ủ hàm số là: 2 2
x x 2 x 2x x 2 0
x x 2 x 2 0 x 1 y 1 x 1 x 2 0
x 2 y 4 V y ậ t a đ ọ gi ộ ao đi m ể c n t ầ ìm là 1; 1 ; 2; 4 Câu 3. a) Tính chi u dài ề và chi u r ề ng ộ
G i ọ chi u dài ề và chi u r ề ng c ộ a ủ m nh v ả ư n l ờ n l ầ ư t ợ là ;
x y m 80 x y 0 Vì chu vi hình chữ nh t
ậ là 160m nên ta có:
2 x y 1
60 x y 8 0 y 8 0 x 1 Di n t ệ ích là 2
1500m nên ta có: xy 1 500(2) Thay (1) vào (2) ta có: x 80 x 2 1
500 x 80x 1500 0 2
x 30x 50x 1500 0
x x 30 50 x 30 0 x 30 0
x 30 x 50 0 x 50 0 x 30 y 80 30 50 (ktm do x y) x 50 y 30( tm) V y ậ chi u dài ề m nh ả vư n l ờ à 50m và chi u r ề ng m ộ nh ả vư n l ờ à 30m b) Tìm tham s m ố … Xét phư ng ơ trình : 2
x 5x m 3 0 . Ta có: 2
5 4.1. m 3 3 7 4m Để phư ng t ơ rình đã cho có hai nghi m ệ x , x 1 2 thì a 0 1 0 (luon dung) 37 m 0 37 4m 0 4 . Áp d ng ụ h t ệ h c ứ Viet ta có: x x 5 1 2 x x m 3 1 2 Vì x x 5 x 5 x 1 2 2 Ta có: 2 2
x 5x m 3 0 m 3 5 x x 2 Mà x 2 m 3 5 x x 1 là nghi m ệ c a ph ủ ư ng t ơ
rình x 5x m 3 0 nên 1 1 . Ta có: 2 2
x 2x x 3x 1
x 2 m 3 3 5 x 1 1 1 2 2 1 1 2 x 2 2
5x x 3 5 x 2 2 1
x 10x 2x 15 3x 1 0 1 1 1 1 1 1 1 1 2
3x 13x 14 0
x 2 3x 7 0 1 1 1 1 2 x 2 m 3 5.2 2 m 9( tm) 1 2 7 7 7 83
x m 1 5. m (tm) 1 3 3 3 9
83 m 9 , m V y ậ
9 là các giá trị cần tìm . Câu 4. a) Chứng minh t gi
ứ ác ACEM n i ộ ti p đ ế ư ng ờ tròn Ta có: 0 A CB 9 0 (góc n i ộ ti p ch ế n ắ n a đ ử ư ng ờ tròn); 0 AME 9
0 (do EM AB) T gi ứ ác ACEM có 0 0 0 ACE A ME 9 0 90 1 80 nên là t gi ứ ác n i ộ ti p ( ế t ứ 0 giác có tổng hai góc đ i ố b ng ằ 180 )(dfcm)
b) Chứng minh CE F cân 0 0 CF là ti p t ế uy n c ế a
ủ O nên OC CF OCF 9
0 C C 9 0 1 1 2 0
Tam giác EMB vuông t i
ạ M nên B E 90 E E 1 1 mà 1 2 (đ i ố đ nh) ỉ
Đề thi vào 10 môn Toán tỉnh Lạng Sơn (Hệ không chuyên) năm 2021
613
307 lượt tải
MUA NGAY ĐỂ XEM TOÀN BỘ TÀI LIỆU
CÁCH MUA:
- B1: Gửi phí vào TK:
1133836868- CT TNHH DAU TU VA DV GD VIETJACK - Ngân hàng MB (QR) - B2: Nhắn tin tới Zalo VietJack Official ( nhấn vào đây ) để xác nhận thanh toán và tải tài liệu - giáo án
Liên hệ ngay Hotline hỗ trợ: 084 283 45 85
Đề thi được cập nhật liên tục trong gói này từ nay đến hết tháng 6/2023. Chúng tôi đảm bảo đủ số lượng đề đã cam kết hoặc có thể nhiều hơn, tất cả có BẢN WORD, LỜI GIẢI CHI TIẾT và tải về dễ dàng.
Để tải tài liệu gốc về máy bạn click vào nút Tải Xuống ở trên!
Thuộc bộ (mua theo bộ để tiết kiệm hơn):
- Tailieugiaovien.com.vn giới thiệu bộ 69 đề thi vào 10 môn Toán hệ không chuyên mới nhất năm 2021 nhằm giúp Giáo viên có thêm tài liệu tham khảo đề luyện thi Toán ôn luyện vào 1
- File word có lời giải chi tiết 100%.
- Mua trọn bộ sẽ tiết kiệm hơn tải lẻ 50%.
Đánh giá
4.6 / 5(613 )5
4
3
2
1
Trọng Bình
Tài liệu hay
Giúp ích cho tôi rất nhiều
Duy Trần
Tài liệu chuẩn
Rất thích tài liệu bên VJ soạn (bám sát chương trình dạy)
TÀI LIỆU BỘ BÁN CHẠY MÔN Toán Học
Xem thêmTÀI LIỆU BỘ BÁN CHẠY Ôn vào 10
Xem thêmTài liệu bộ mới nhất

Đây là bản xem thử, vui lòng mua tài liệu để xem chi ết (có lời giải)
S GIÁO D C VÀ ĐÀO T OỞ Ụ Ạ
L NG S NẠ Ơ
Đ CHÍNH TH C Ề Ứ
KỲ THI TUY N SINH L P 10 THPTỂ Ớ
NĂM H C 2020 – 2021 Ọ
Môn thi : TOÁN
Th i gian làm bài: 120 phút ờ
Câu 1. (3,0 đi m)ể
a) Tính giá tr các bi u th c sau :ị ể ứ
2
8 32 98
25 9 2 1 2
2
A B C
b) Cho bi u th c ể ứ
2 1
:
1 1
x
P
x x x x
, v i ớ
0, 1x x
Rút g n bi u th c ọ ể ứ
.P
Tính giá tr c a ị ủ
P
khi
4x
Câu 2. (1,5 đi m)ể
a) Gi i h ph ng trình: ả ệ ươ
3 2 4
7
x y
x y
b) Tìm t a đ giao đi m c a đ th hai hàm s ọ ộ ể ủ ồ ị ố
2
y x
và
2y x
Câu 3. (1,5 đi m) ể
a) M t m nh v n hình ch nh t có chu vi là ộ ả ườ ữ ậ
160m
và di n tích là ệ
2
1500 .m
Tính chi u dài và chi u r ng c a m nh v n đóề ề ộ ủ ả ườ
b) Tìm tham s ố
m
đ ph ng trình ể ươ
2
5 3 0x x m
có hai nghi m phân ệ
bi t ệ
1 2
,x x
th a mãn ỏ
2
1 1 2 2
2 3 1x x x x
Câu 4. (3,5 đi m)ể
Cho n a đ ng tròn ử ườ
O
đ ng kính ườ
.AB
Trên n a đ ng tròn ử ườ
O
l y ấ
đi m C sao cho ể
.CA CB
Trên đo n th ng ạ ẳ
OB
l y đi m ấ ể
M
sao cho
M
n m gi aằ ữ
O
và
.B
Đ ng th ng đi qua ườ ẳ
M
vuông góc v i ớ
AB
c t tia ắ
AC
t i N, c t ạ ắ
BC
t iạ
.E
a) Ch ng minh t giác ứ ứ
ACEM
n i ti p trong m t đ ng tròn ộ ế ộ ườ
b) Ti p tuy n c a n a đ ng tròn ế ế ủ ử ườ
O
t i C c t đ ng th ng ạ ắ ườ ẳ
MN
t i ạ
.F
Ch ng minh ứ
CEF
cân
c) G i ọ
H
là giao đi m c a ể ủ
NB
v i n a đ ng tròn ớ ử ườ
.O
Ch ng minh ứ
HF
là
ti p tuy n c a n a đ ng tròn ế ế ủ ử ườ
O
Câu 5. (0,5 đi m)ể
Mọi thắc mắc vui lòng xin liên hệ hotline: 084 283 45 85

Đây là bản xem thử, vui lòng mua tài liệu để xem chi ết (có lời giải)
Cho các s th c ố ự
, ,a b c
không âm th a mãn ỏ
3.a b c
Tìm giá tr nh ị ỏ
nh t c a bi u th c ấ ủ ể ứ
2 2 2 2 2 2
3 2 3 3 2 3 3 2 3P a ab b b bc c c ca a
ĐÁP ÁN
Câu 1.
a) Tính giá tr bi u th c ị ề ứ
2
25 9 5 3 2
2 1 2 2 1 2 1
8 32 98 2 2 4 2 7 2
2 4 7 1
2 2
A
B
C
b) Rút g n và tính Pọ
Ta có:
2 1 . 2
: . 1
1 1
1
2
x x x
P x
x x x x
x x
x
x
Thay
4 2
4( ) 3
4
x tmdk P
V y ậ
3 4P x
Câu 2.
a) Gi i h ph ng trìnhả ệ ươ
3 2 4 3 2 4 5 10 2
7 2 2 14 7 5
x y x y x x
x y x y y x y
V y h ph ng trình có nghi m duy nh t ậ ệ ươ ệ ấ
; 2; 5x y
b) Tìm t a đ giao đi m….ọ ộ ể
Ta có ph ng trình hoành đ giao đi m c a hai hàm s là:ươ ộ ể ủ ố
2 2
2 2 2 0 2 2 0
1 1
1 2 0
2 4
x x x x x x x x
x y
x x
x y
V y t a đ giao đi m c n tìm là ậ ọ ộ ể ầ
1; 1 ; 2; 4
Câu 3.
a) Tính chi u dài và chi u r ngề ề ộ
Mọi thắc mắc vui lòng xin liên hệ hotline: 084 283 45 85

Đây là bản xem thử, vui lòng mua tài liệu để xem chi ết (có lời giải)
G i chi u dài và chi u r ng c a m nh v n l n l t là ọ ề ề ộ ủ ả ườ ầ ượ
; 80 0x y m x y
Vì chu vi hình ch nh t là ữ ậ
160m
nên ta có:
2 160 80 80 1x y x y y x
Di n tích là ệ
2
1500m
nên ta có:
1500(2)xy
Thay (1) vào (2) ta có:
2
2
80 1500 80 1500 0
30 50 1500 0 30 50 30 0
30 0
30 50 0
50 0
30 80 30 50 ( )
50 30( )
x x x x
x x x x x x
x
x x
x
x y ktm do x y
x y tm
V y chi u dài m nh v n là 50m và chi u r ng m nh v n là 30mậ ề ả ườ ề ộ ả ườ
b) Tìm tham s m…ố
Xét ph ng trình :ươ
2
5 3 0x x m
. Ta có:
2
5 4.1. 3 37 4m m
Đ ph ng trình đã cho có hai nghi m ể ươ ệ
1 2
,x x
thì
0 1 0( )
37
0 37 4 0
4
a luon dung
m
m
. Áp d ng h th c Viet ta có:ụ ệ ứ
1 2
1 2
5
3
x x
x x m
Vì
1 2 2
5 5x x x x
Ta có:
2 2
5 3 0 3 5x x m m x x
Mà
1
x
là nghi m c a ph ng trình ệ ủ ươ
2
5 3 0x x m
nên
2
1 1
3 5m x x
. Ta có:
2 2
1 1 2 2 1 1
2 2 2 2
1 1 1 1 1 1 1 1
2
1 1 1 1
2
1
2
1
2 3 1 2 3 3 5 1
2 5 3 5 1 10 2 15 3 1 0
3 13 14 0 2 3 7 0
2 3 5.2 2 9( )
7 7 7 83
1 5. ( )
3 3 3 9
x x x x x m x
x x x x x x x x
x x x x
x m m tm
x m m tm
Mọi thắc mắc vui lòng xin liên hệ hotline: 084 283 45 85

Đây là bản xem thử, vui lòng mua tài liệu để xem chi ết (có lời giải)
V y ậ
83
9,
9
m m
là các giá tr c n tìm .ị ầ
Câu 4.
a) Ch ng minh t giác ứ ứ
ACEM
n i ti p đ ng trònộ ế ườ
Ta có:
0
90ACB
(góc n i ti p ch n n a đ ng tròn);ộ ế ắ ử ườ
0
90 ( )AME do EM AB
T giác ứ
ACEM
có
0 0 0
90 90 180ACE AME
nên là t giác n i ti p (t ứ ộ ế ứ
giác có t ng hai góc đ i b ng ổ ố ằ
0
180 )( )dfcm
b) Ch ng minh ứ
CEF
cân
CF
là ti p tuy n c a ế ế ủ
O
nên
0 0
1 2
90 90 1OC CF OCF C C
Tam giác
EMB
vuông t i M nên ạ
0
1 1
90B E
mà
1 2
E E
(đ i đ nh)ố ỉ
Mọi thắc mắc vui lòng xin liên hệ hotline: 084 283 45 85

Đây là bản xem thử, vui lòng mua tài liệu để xem chi ết (có lời giải)
Nên
0
1 2
90 2B E
Tam giác
OBC
cân t i O nên ạ
1 1
3B C
T (1), (2), (3) suy ra ừ
2 2
C E CEF
cân t i ạ
( )F dfcm
c) Ch ng minh ứ
HF
là ti p tuy nế ế
T giác ứ
ABHC
n i ti p nên ộ ế
NHC CAB
T giác ứ
ACEM
n i ti p nên ộ ế
2
E CAM CAB
(tính ch t)ấ
Nên
2
NHC E NEC
T giác ứ
CNHE
có
( )NHC NEC cmt
nên là t giác n i ti p (hai đ nh liên ti p ứ ộ ế ỉ ế
cùng nhìn c nh đ i di n d i các góc b ng nhau)ạ ố ệ ướ ằ
0 0 0 0 0
180 180 180 90 90NHE NCE NHE NCE
NHE
vuông t i Hạ
Theo câu b,
CEF
cân t i F nên ạ
(4)FE FC
Ta có:
0 0
2 2
90 , 90CNF E NCF C
Mà
2 2
( )E C cmt CNF NCF NCF
cân t i Fạ
5FC FN
T (4) và (5) suy ra ừ
FC FN FE
hay F là trung đi m ể
EN
Tam giác
HNE
vuông t i H có ạ
HF
là trung tuy n nên ế
1
2
HF EN CF
Xét
OCF
và
OHF
có:
;OC OH R OF
chung;
( )FC FH cmt
. .OCF OHF c c c OHF OCF
mà
0
90OCF
nên
0
90OHF
OH HF FH
là ti p tuy n c a Oế ế ủ
dfcm
Câu 5. Tìm giá tr nh nh t c a Pị ỏ ấ ủ
Ta có:
2
2 2 2 2 2 2 2 2
2
2 2 2 2
2 3 2 3 2 2 2
3 2 3 3 2 3
ab a b a ab b a b a b a b
a ab b a b a b a ab b a b
T ng t : ươ ự
2 2 2 2
3 2 3 ; 3 2 3b bc c b c c ca a c a
Do đó:
2P a b b c c a P a b c
L i có: ạ
Mọi thắc mắc vui lòng xin liên hệ hotline: 084 283 45 85
