ệ xem ể chi ti t ế (có l i ờ gi i ả ) SỞ GIÁO D C Ụ VÀ ĐÀO T O Ạ KỲ THI TUY N Ể SINH L P Ớ 10 THPT L N Ạ G S N Ơ NĂM H C Ọ 2019-2020 Môn thi: Toán Đ C Ề HÍNH TH C Ứ Th i
ờ gian làm bài: 120 phút (không k gi ể ao đ ) ề Đề thi g m
ồ có 01 trang, 05 câu Câu 1. (3,5 đi m ể ) a) Tính giá tr các ị bi u ể th c s ứ au: A B C 2 16 4 5 5 3 3 5 2 5 2 b) Gi i ả các phư ng ơ trình, h ph ệ ư ng t ơ rình sau:
2x y 7 2 4 2
1)x 7x 10 0
2)x 5x 36 0 3) 2x 7y 1 1 1 P 1 a 1 a 1 a 0 , a 1 Câu 2. (1,0 đi m ể ) Cho bi u t ể h c ứ v i ớ a) Rút g n ọ P b) Tính giá tr c ị a ủ P khi a 3 Câu 3. (1,5 đi m ể ) 1 2 y x a) Vẽ đồ th ị P c a hàm ủ số 2 b) Tìm giao đi m ể c a đ ủ t ồ h hàm ị s ố P v i ớ đư ng t ờ h ng
ẳ d : y x 2 c) Cho phư ng t ơ
rình : x m 2 x m 1 0 (m là tham số) Ch ng ứ minh r ng ph ằ ư ng t ơ rình (1) luôn có nghi m ệ v i ớ m i ọ . m Khi đó tìm m 2 2 đ bi ể u ể th c
ứ A x x 3x x 1 2 1 2 đ t ạ giá tr nh ị nh ỏ t ấ . Câu 4. (3,5 đi m
ể ) Cho tam giác ABC có ba góc nh n
ọ AB AC và n i ộ ti p ế đư ng ờ tròn (O). V đ ẽ ư ng cao ờ
AH H BC ,t
ừ H kẻ HM vuông góc v i ớ AB
M AB và kẻ HN vuông góc v i
ớ AC N AC .Vẽ đư ng kí ờ nh AE c a ủ đư ng ờ tròn (O) c t ắ MN t i ạ I, tia MN c t ắ đư ng t ờ ròn (O) t i ạ K a) Ch ng ứ minh t gi ứ ác AMHN n i ộ ti p ế b) Ch ng
ứ minh AM.AB AN.AC c) Ch ng ứ minh t gi ứ ác CEIN n i ộ ti p và ế tam giác AHK cân. Câu 5. (0,5 đi m ể ) Cho ba số th c không âm ự
a,b,c và th a
ỏ mãn a b c 1 .Ch ng m ứ inh r ng: ằ
a 2b c 4
1 a 1 b 1 c M i
ọ thắc mắc vui lòng xin liên hệ hotline: 084 283 45 85
ệ xem ể chi ti t ế (có l i ờ gi i ả ) M i
ọ thắc mắc vui lòng xin liên hệ hotline: 084 283 45 85
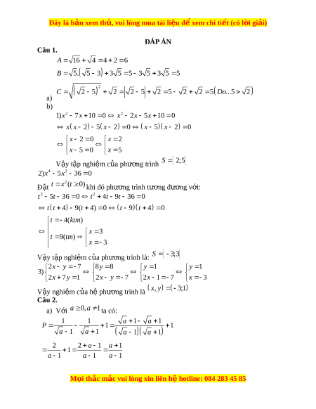
ệ xem ể chi ti t ế (có l i ờ gi i ả ) ĐÁP ÁN Câu 1. A 16 4 4 2 6
B 5. 5 3 3 5 5 3 5 3 5 5
C 2 52 2 2 5 2 5 2 2 5 D ...5 o 2 a) b) 2 2
1)x 7x 10 0
x 2x 5x 10 0
x x 2 5 x 2 0
x 5 x 2 0 x 2 0 x 2 x 5 0 x 5 V y ậ t p nghi ậ m ệ c a ph ủ ư ng ơ trình S 2; 5 4 2
2)x 5x 36 0 2 Đ t
ặ t x (t 0 ) khi đó phư ng t ơ rình tư ng đ ơ ư ng v ơ i ớ : 2 2
t 5t 36 0
t 4t 9t 36 0
t t 4 9(t 4) 0
t 9 t 4 0
t 4(ktm) x 3 t 9( tm) x 3 V y ậ t p nghi ậ m ệ c a ph ủ ư ng ơ trình là: S 3; 3
2x y 7 8 y 8 y 1 y 1 3) 2x 7 y 1 2x y 7 2x 1 7 x 3 V y ậ nghi m ệ c a h ủ ph ệ ư ng t ơ
rình là x, y 3; 1 Câu 2. a) V i ớ a 0 , a 1 ta có: 1 1 a 1 a 1 P 1 1 a 1 a 1
a 1 a 1 2
2 a 1 a 1 1 a 1 a 1 a 1 M i
ọ thắc mắc vui lòng xin liên hệ hotline: 084 283 45 85
ệ xem ể chi ti t ế (có l i ờ gi i ả ) a 1 P V y ậ a 1 3 1 4 P 2 b) Thay a 3 (tm) vào bi u t ể h c ứ P ta có: 3 1 2 V y ậ khi a 3 thì P 2 Câu 3. a) H c ọ sinh t v ự ( ẽ P) b) Ta có phư ng
ơ trìn hoành độ giao đi m ể c a ( ủ P) và (d) là: 1 x 0 y 0 2 2
x x x 2x 0
x x 2 0 2 x 2 y 2 V y ậ giao đi m ể c a đ ủ t ồ h hàm ị s ( ố P) v i ớ đư ng ờ th ng ( ẳ d) là O(0;0) và ( A 2;2) 2
c) Ta có x m 2 x m 1 0 (1)
m 2 m 2 2 2 4 1 m
4m 4 4m 4 m 8 0 m (1) luôn có hai nghi m ệ phân bi t ệ x ; x 1 2
x x m 2 1 2 Khi đó theo đ nh l ị ý Vi-et ta có: x x m 1 1 2 Theo đ bài ề ta có:
A x x 3x x
x x 2 2 2 5x x 1 2 1 2 1 2 1 2
m 2 2 5 m 2 1 m
4m 4 5m 5 1 1 1 2 2 m m 9 m 2. . m 9 2 4 4 2 1 35 35 35 m A 2 4 4 4 35 1 1 m 0 m A đ t ạ giá tr nh ị ỏ nh t ấ b ng ằ 4 2 2 1 m V y ậ 2 là giá tr c ị n t ầ ìm M i
ọ thắc mắc vui lòng xin liên hệ hotline: 084 283 45 85
Đề thi vào 10 môn Toán tỉnh Lạng Sơn năm 2020
536
268 lượt tải
MUA NGAY ĐỂ XEM TOÀN BỘ TÀI LIỆU
CÁCH MUA:
- B1: Gửi phí vào TK:
1133836868- CT TNHH DAU TU VA DV GD VIETJACK - Ngân hàng MB (QR) - B2: Nhắn tin tới Zalo VietJack Official ( nhấn vào đây ) để xác nhận thanh toán và tải tài liệu - giáo án
Liên hệ ngay Hotline hỗ trợ: 084 283 45 85
Đề thi được cập nhật liên tục trong gói này từ nay đến hết tháng 6/2023. Chúng tôi đảm bảo đủ số lượng đề đã cam kết hoặc có thể nhiều hơn, tất cả có BẢN WORD, LỜI GIẢI CHI TIẾT và tải về dễ dàng.
Để tải tài liệu gốc về máy bạn click vào nút Tải Xuống ở trên!
Thuộc bộ (mua theo bộ để tiết kiệm hơn):
- Tailieugiaovien.com.vn giới thiệu bộ 63 đề thi vào 10 môn Toán hệ không chuyên năm 2020 nhằm giúp Giáo viên có thêm tài liệu tham khảo đề luyện thi Toán ôn luyện
- File word có lời giải chi tiết 100%.
- Mua trọn bộ sẽ tiết kiệm hơn tải lẻ 50%.
Đánh giá
4.6 / 5(536 )5
4
3
2
1
Trọng Bình
Tài liệu hay
Giúp ích cho tôi rất nhiều
Duy Trần
Tài liệu chuẩn
Rất thích tài liệu bên VJ soạn (bám sát chương trình dạy)
TÀI LIỆU BỘ BÁN CHẠY MÔN Toán Học
Xem thêmTÀI LIỆU BỘ BÁN CHẠY Ôn vào 10
Xem thêmTài liệu bộ mới nhất

Đây là b nả xem thử, vui lòng mua tài li u đ xem chi ti t (có l i gi i)ệ ể ế ờ ả
S GIÁO D C VÀ ĐÀO T OỞ Ụ Ạ
L NG S NẠ Ơ
Đ CHÍNH TH C Ề Ứ
KỲ THI TUY N SINH L P 10 THPT Ể Ớ
NĂM H C 2019-2020Ọ
Môn thi: Toán
Th i gian làm bài: 120 phút (không k giao đ )ờ ể ề
Đ thi g m có 01 trang, 05 câuề ồ
Câu 1. (3,5 đi m)ể
a) Tính giá tr các bi u th c sau:ị ể ứ
2
16 4 5 5 3 3 5 2 5 2A B C
b) Gi i các ph ng trình, h ph ng trình sau:ả ươ ệ ươ
2 4 2
2 7
1) 7 10 0 2) 5 36 0 3)
2 7 1
x y
x x x x
x y
Câu
2. (1,0 đi m) ể Cho bi u th c ể ứ
1 1
1
1 1
P
a a
v i ớ
0, 1a a
a) Rút g n ọ
P
b) Tính giá tr c a ị ủ
P
khi
3a
Câu 3. (1,5 đi m)ể
a) V đ th ẽ ồ ị
P
c a hàm s ủ ố
2
1
2
y x
b) Tìm giao đi m c a đ th hàm s ể ủ ồ ị ố
P
v i đ ng th ng ớ ườ ẳ
:d y x
c) Cho ph ng trình : ươ
2
2 1 0x m x m
(
m
là tham s )ố
Ch ng minh r ng ph ng trình (1) luôn có nghi m v i m i ứ ằ ươ ệ ớ ọ
.m
Khi đó tìm
m
đ bi u th c ể ể ứ
2 2
1 2 1 2
3A x x x x
đ t giá tr nh nh t.ạ ị ỏ ấ
Câu 4. (3,5 đi m) ể Cho tam giác
ABC
có ba góc nh n ọ
AB AC
và n i ti p ộ ế
đ ng tròn (O). V đ ng cao ườ ẽ ườ
,AH H BC
t ừ
H
k ẻ
HM
vuông góc v i ABớ
M AB
và k ẻ
HN
vuông góc v i ớ
AC
.N AC
V đ ng kính ẽ ườ
AE
c a ủ
đ ng tròn (O) c t MN t i I, tia MN c t đ ng tròn (O) t i Kườ ắ ạ ắ ườ ạ
a) Ch ng minh t giác ứ ứ
AMHN
n i ti pộ ế
b) Ch ng minh ứ
. .AM AB AN AC
c) Ch ng minh t giác ứ ứ
CEIN
n i ti p và tam giác ộ ế
AHK
cân.
Câu 5. (0,5 đi m)ể
Cho ba s th c không âm ố ự
, ,a b c
và th a mãn ỏ
1.a b c
Ch ng minh r ng:ứ ằ
2 4 1 1 1a b c a b c
M iọ th c m c vui lòng xin liên hắ ắ ệ hotline: 084 283 45 85

Đây là b nả xem thử, vui lòng mua tài li u đ xem chi ti t (có l i gi i)ệ ể ế ờ ả
M iọ th c m c vui lòng xin liên hắ ắ ệ hotline: 084 283 45 85

Đây là b nả xem thử, vui lòng mua tài li u đ xem chi ti t (có l i gi i)ệ ể ế ờ ả
ĐÁP ÁN
Câu 1.
a)
2
16 4 4 2 6
5. 5 3 3 5 5 3 5 3 5 5
2 5 2 2 5 2 5 2 2 5 ...5 2
A
B
C Do
b)
2 2
1) 7 10 0 2 5 10 0
2 5 2 0 5 2 0
2 0 2
5 0 5
x x x x x
x x x x x
x x
x x
V y t p nghi m c a ph ng trình ậ ậ ệ ủ ươ
2;5S
4 2
2) 5 36 0x x
Đ t ặ
2
( 0)t x t
khi đó ph ng trình t ng đ ng v i:ươ ươ ươ ớ
2 2
5 36 0 4 9 36 0
4 9( 4) 0 9 4 0
4( )
3
9( )
3
t t t t t
t t t t t
t ktm
x
t tm
x
V y t p nghi m c a ph ng trình là: ậ ậ ệ ủ ươ
3;3S
2 7 8 8 1 1
3)
2 7 1 2 7 2 1 7 3
x y y y y
x y x y x x
V y nghi m c a h ph ng trình là ậ ệ ủ ệ ươ
, 3;1x y
Câu 2.
a) V i ớ
0, 1a a
ta có:
1 1 1 1
1 1
1 1
1 1
2 2 1 1
1
1 1 1
a a
P
a a
a a
a a
a a a
M iọ th c m c vui lòng xin liên hắ ắ ệ hotline: 084 283 45 85

Đây là b nả xem thử, vui lòng mua tài li u đ xem chi ti t (có l i gi i)ệ ể ế ờ ả
V y ậ
1
1
a
P
a
b) Thay
3( )a tm
vào bi u th c ể ứ
P
ta có:
3 1 4
2
3 1 2
P
V y khi ậ
3a
thì
2P
Câu 3.
a) H c sinh t v (P)ọ ự ẽ
b) Ta có ph ng trìn hoành đ giao đi m c a (P) và (d) là:ươ ộ ể ủ
2 2
0 0
1
2 0 2 0
2 2
2
x y
x x x x x x
x y
V y giao đi m c a đ th hàm s (P) v i đ ng th ng (d) là ậ ể ủ ồ ị ố ớ ườ ẳ
(0;0)O
và
(2;2)A
c) Ta có
2
2 1 0 (1)x m x m
2
2 2
2 4 1 4 4 4 4 8 0m m m m m m m
(1)
luôn có hai nghi m phân bi t ệ ệ
1 2
;x x
Khi đó theo đ nh lý Vi-et ta có:ị
1 2
1 2
2
1
x x m
x x m
Theo đ bài ta có:ề
2
2 2
1 2 1 2 1 2 1 2
2
2
2 2
2
3 5
2 5 1 4 4 5 5
1 1 1
9 2. . 9
2 4 4
1 35 35 35
2 4 4 4
A x x x x x x x x
m m m m m
m m m m
m A
A đ t giá tr nh nh t b ng ạ ị ỏ ấ ằ
35 1 1
0
4 2 2
m m
V y ậ
1
2
m
là giá tr c n tìm ị ầ
M iọ th c m c vui lòng xin liên hắ ắ ệ hotline: 084 283 45 85

Đây là b nả xem thử, vui lòng mua tài li u đ xem chi ti t (có l i gi i)ệ ể ế ờ ả
Câu 4.
a) Do
0
, ( ) 90HM AB HN AC gt AMH ANH
Xét t giác ư
AMHN
có
0 0 0
90 90 180AMH ANH
T giác ứ
AMHN
là
t giác n i ti pứ ộ ế
b) Do
AMHN
là t giác n i ti p (cmt)ứ ộ ế
HMN HAN
(hai góc n i ti p cùng ộ ế
ch n cung AN)ắ
Mà
0
90HAN ACB
(
AHC
vuông t i H)ạ
0 0
90 90HMN ACB HMN NCB
0 0
90 90HMN ACB HMN NCB
Xét t giác ứ
BMNC
có:
0 0 0
90 90 180BMN NCB BMH HMN NCB
Suy ra t giác ứ
BMNC
là t giác n i ti p (t giác có t ng hai góc đ i b ng 180ứ ộ ế ứ ổ ố ằ
0
)
M iọ th c m c vui lòng xin liên hắ ắ ệ hotline: 084 283 45 85
