SỞ GIÁO D C Ụ VÀ ĐÀO T O Ạ KỲ THI TUY N Ể SINH VÀO L P Ớ 10 THPT LÀO CAI Năm h c ọ 2020 – 2021 Môn: TOÁN Đ C Ề HÍNH TH C Ứ Th i
ờ gian làm bài: 120 phút, không k gi ể ao đề Câu 1. (1,0 đi m ể ) Tính : a) 16 1 b) 3. 12 1 1 x 1 P . x 0 ; x 1 Câu 2. (1,5 đi m ể ) Cho bi u t ể h c ứ x 1
x 1 2 x 1 a) Rút g n bi ọ u t ể h c ứ P b) Tìm t t ấ cả các giá tr c ị a ủ x đ ể P 1 Câu 3. (1,0 đi m ể ) 2 a) Xác đ nh hàm ị s ố y a x bi t ế r ng đ ằ ồ th c ị a ủ hàm s đi ố qua đi m ể A 2;5 m 1 d : y x m 1 b) Trong m t ặ ph ng t ẳ a ọ đ ộ Oxy, cho đư ng t ờ h ng ẳ m , v i ớ 3
m 2. Tìm mđ ểd c tắ tr c ụ tung, tr c hoành ụ l n l ầ ư t ợ t i ạ hai đi m ể phân bi t ệ , A B sao cho đ dài ộ đo n ạ AB ng n nh ắ ất. Câu 4. (3,5 đi m ể )
2x 3y 4 4.1 Gi i ả h ph ệ ư ng t ơ
rình: x 3y 5 4.2 Lúc 8 gi ng ờ ư i ờ thứ nh t ấ đi xe máy t ừ A v i ớ v n ậ tốc 40km / . h Sau đó 2 gi , ờ ngư i ờ th hai ứ đi ô tô cũng t ừ A v i ớ v n t
ậ ốc 60km / h đuổi theo ngư i ờ th nh ứ t ấ . H i ỏ hai ngư i ờ y g ấ p ặ nhau vào lúc m y gi ấ ? ờ 4.3 a) Gi i ả phư ng ơ trình: 2 2x 5x 3 2 2 b) Tìm t t ấ c các gi ả á tr c ị a t ủ ham s ố m đ ph ể ư ng
ơ trình x 2 m
1 x m 6 0 có 2 hai nghi m ệ x , x
x 4x 2x 2mx 3 1 2 sao cho 1 1 2 1 Câu 5. (3,0 đi m ể )
Cho tam giác ABC có ba góc nh n
ọ AB AC n i ộ ti p đ ế ư ng t ờ ròn tâm . O Kẻ đư ng ờ th ng ẳ d là ti p t ế uy n t ế i ạ A c a đ ủ ư ng ờ tròn O .G i ọ d 'là đư ng t ờ h ng ẳ qua B và song song v i ớ d;d ' c t ắ các đư ng t ờ h ng
ẳ AO, AC lần lư t ợ t i ạ E, . D Kẻ AF là đư ng ờ cao c a
ủ tam giác ABC F BC a) Ch ng ứ minh r ng t ằ gi ứ ác ABFE n i ộ ti p ế
b) Ch ng ứ minh r ng ằ 2 AB A . D AC c) G i
ọ M , N lần lư t ợ là trung đi m ể c a
ủ AB, BC.Ch ng m ứ inh r ng ằ MN EF
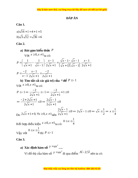
ĐÁP ÁN Câu 1. a) 16 1 4 1 5 b) 3. 12 36 6 Câu 2. a) Rút g n bi ọ u t ể h c ứ P V i ớ x 0 , x 1 ta có: 1 1 x 1 x 1 x 1 x 1 P . . x 1 x 1 2 x 1
x 1 x 1 2 x 1 2 x 1 2 P .
x 1 2 x 1 2 x 1 b) Tìm t t ấ cả các giá tr c ị a ủ x đ ể P 1 V i ớ x 0 , x 1 ta có: 2 2 P 1 1 1 0 2 x 1 2 x 1 2 2 x 1 2 x 1 0 0 2 x 1 2 x 1 2 x 1 1 1 0 2 x 1 0 x x
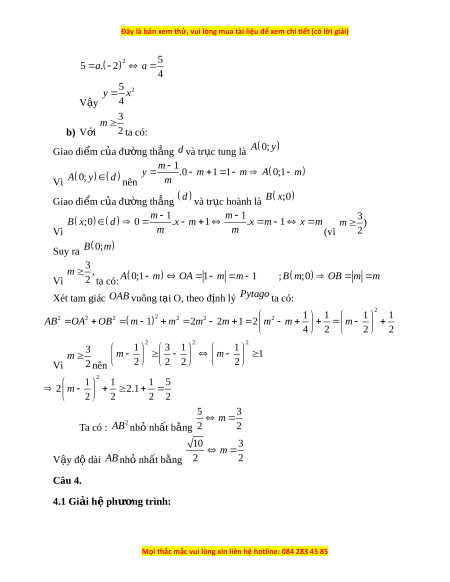
Do 2 x 1 0, x 0 , x 1 nên 2 x 1 2 4 1 0 x K t ế h p ợ đi u ki ề n ệ x 0 , x 1 ta có: 4 1 0 x V y ậ v i ớ 4 thì P 1 Câu 3. 2 a) Xác đ nh hàm ị s ố y a x …. 2 Vì đồ th c ị a hàm ủ s ố y a x đi qua đi m
ể A 2;5 nên ta có:
a 2 5 5 . 2 a 4 5 2 y x V y ậ 4 3 m b) V i ớ 2 ta có: Giao đi m ể c a ủ đư ng t ờ h ng ẳ d và tr c
ụ tung là A 0; y m 1 y .0 m 1 1
m A 0;1 m
Vì A 0; y d nên m Giao đi m ể c a ủ đư ng t ờ h ng ẳ d và tr c ụ hoành là B ; x 0 m 1 m 1 3
B x;0 d 0
.x m 1 .x m 1 x m m ) Vì m m (vì 2
Suy ra B 0;m 3 m , Vì
2 ta có: A 0;1 m OA 1 m m 1 ; B ;
m 0 OB m m
Xét tam giác OAB vuông t i ạ O, theo đ nh l ị ý Pytago ta có: 2 AB O A OB m 2 2 2 2 2 2 2 1 1 1 1 1 m 2
m 2m 1 2 m m m 4 2 2 2 2 2 2 3 1 3 1 1 m m m 1 Vì 2 nên 2 2 2 2 2 1 1 1 5 2 m 2.1 2 2 2 2 5 3 m Ta có : 2 AB nhỏ nhất b ng ằ 2 2 10 3 m V y ậ đ dài ộ AB nhỏ nhất b ng ằ 2 2 Câu 4. 4.1 Giải h p ệ hư ng t ơ rình:
Đề thi vào 10 môn Toán tỉnh Lào Cai (Hệ không chuyên) năm 2021
587
294 lượt tải
MUA NGAY ĐỂ XEM TOÀN BỘ TÀI LIỆU
CÁCH MUA:
- B1: Gửi phí vào TK:
1133836868- CT TNHH DAU TU VA DV GD VIETJACK - Ngân hàng MB (QR) - B2: Nhắn tin tới Zalo VietJack Official ( nhấn vào đây ) để xác nhận thanh toán và tải tài liệu - giáo án
Liên hệ ngay Hotline hỗ trợ: 084 283 45 85
Đề thi được cập nhật liên tục trong gói này từ nay đến hết tháng 6/2023. Chúng tôi đảm bảo đủ số lượng đề đã cam kết hoặc có thể nhiều hơn, tất cả có BẢN WORD, LỜI GIẢI CHI TIẾT và tải về dễ dàng.
Để tải tài liệu gốc về máy bạn click vào nút Tải Xuống ở trên!
Thuộc bộ (mua theo bộ để tiết kiệm hơn):
- Tailieugiaovien.com.vn giới thiệu bộ 69 đề thi vào 10 môn Toán hệ không chuyên mới nhất năm 2021 nhằm giúp Giáo viên có thêm tài liệu tham khảo đề luyện thi Toán ôn luyện vào 1
- File word có lời giải chi tiết 100%.
- Mua trọn bộ sẽ tiết kiệm hơn tải lẻ 50%.
Đánh giá
4.6 / 5(587 )5
4
3
2
1
Trọng Bình
Tài liệu hay
Giúp ích cho tôi rất nhiều
Duy Trần
Tài liệu chuẩn
Rất thích tài liệu bên VJ soạn (bám sát chương trình dạy)
TÀI LIỆU BỘ BÁN CHẠY MÔN Toán Học
Xem thêmTÀI LIỆU BỘ BÁN CHẠY Ôn vào 10
Xem thêmTài liệu bộ mới nhất

Đây là bản xem thử, vui lòng mua tài liệu để xem chi ết (có lời giải)
S GIÁO D C VÀ ĐÀO T OỞ Ụ Ạ
LÀO CAI
Đ CHÍNH TH CỀ Ứ
KỲ THI TUY N SINH VÀO L P 10 THPT Ể Ớ
Năm h c 2020 – 2021 ọ
Môn: TOÁN
Th i gian làm bài: 120 phút, không k giao đờ ể ề
Câu 1. (1,0 đi m) ể Tính :
) 16 1
) 3. 12
a
b
Câu 2. (1,5 đi m) ể Cho bi u th c ể ứ
1 1 1
. 0; 1
1 1 2 1
x
P x x
x x x
a) Rút g n bi u th c ọ ể ứ
P
b) Tìm t t c các giá tr c a ấ ả ị ủ
x
đ ể
1P
Câu 3. (1,0 đi m)ể
a) Xác đ nh hàm s ị ố
2
y ax
bi t r ng đ th c a hàm s đi qua đi m ế ằ ồ ị ủ ố ể
2;5A
b) Trong m t ph ng t a đ ặ ẳ ọ ộ
,Oxy
cho đ ng th ng ườ ẳ
1
: 1
m
d y x m
m
, v iớ
3
2
m
. Tìm
m
đ ể
d
c t tr c tung, tr c hoành l n l t t i hai đi m phân bi tắ ụ ụ ầ ượ ạ ể ệ
,A B
sao cho đ dài đo n ộ ạ
AB
ng n nh t.ắ ấ
Câu 4. (3,5 đi m)ể
4.1 Gi i h ph ng trình: ả ệ ươ
2 3 4
3 5
x y
x y
4.2 Lúc 8 gi ng i th nh t đi xe máy t ờ ườ ứ ấ ừ
A
v i v n t c ớ ậ ố
40 / .km h
Sau đó
2
gi , ờ
ng i th hai đi ô tô cũng t ườ ứ ừ
A
v i v n t c ớ ậ ố
60 /km h
đu i theo ng i th nh t. H i ổ ườ ứ ấ ỏ
hai ng i y g p nhau vào lúc m y gi ?ườ ấ ặ ấ ờ
4.3 a) Gi i ph ng trình: ả ươ
2
2 5 3x x
b) Tìm t t c các giá tr c a tham s ấ ả ị ủ ố
m
đ ph ng trình ể ươ
2 2
2 1 6 0x m x m
có
hai nghi m ệ
1 2
,x x
sao cho
2
1 1 2 1
4 2 2 3x x x mx
Câu 5. (3,0 đi m)ể
Cho tam giác
ABC
có ba góc nh n ọ
AB AC
n i ti p đ ng tròn tâm ộ ế ườ
.O
K ẻ
đ ng th ng ườ ẳ
d
là ti p tuy n t i ế ế ạ
A
c a đ ng tròn ủ ườ
.O
G i ọ
'd
là đ ng th ng qua B ườ ẳ
và song song v i ớ
; 'd d
c t các đ ng th ng ắ ườ ẳ
,AO AC
l n l t t i ầ ượ ạ
, .E D
K ẻ
AF
là
đ ng cao c a tam giác ườ ủ
ABC F BC
a) Ch ng minh r ng t giác ứ ằ ứ
ABFE
n i ti pộ ế
Mọi thắc mắc vui lòng xin liên hệ hotline: 084 283 45 85

Đây là bản xem thử, vui lòng mua tài liệu để xem chi ết (có lời giải)
b) Ch ng minh r ng ứ ằ
2
.AB AD AC
c) G i ọ
,M N
l n l t là trung đi m c a ầ ượ ể ủ
, .AB BC
Ch ng minh r ng ứ ằ
MN EF
Mọi thắc mắc vui lòng xin liên hệ hotline: 084 283 45 85

Đây là bản xem thử, vui lòng mua tài liệu để xem chi ết (có lời giải)
ĐÁP ÁN
Câu 1.
) 16 1 4 1 5
) 3. 12 36 6
a
b
Câu 2.
a) Rút g n bi u th c ọ ể ứ
P
V i ớ
0, 1x x
ta có:
1 1 1 1 1 1
. .
1 1 2 1 2 1
1 1
2 1 2
.
1
2 1 2 1
x x x x
P
x x x x
x x
x
P
x
x x
b) Tìm t t c các giá tr c a ấ ả ị ủ
x
đ ể
1P
V i ớ
0, 1x x
ta có:
2 2
1 1 1 0
2 1 2 1
2 2 1 2 1
0 0
2 1 2 1
P
x x
x x
x x
Do
2 1 0, 0, 1x x x
nên
2 1 1 1
0 2 1 0
2 4
2 1
x
x x x
x
K t h p đi u ki n ế ợ ề ệ
0, 1x x
ta có:
1
0
4
x
V y v i ậ ớ
1
0
4
x
thì
1P
Câu 3.
a) Xác đ nh hàm s ị ố
2
y ax
….
Vì đ th c a hàm s ồ ị ủ ố
2
y ax
đi qua đi m ể
2;5A
nên ta có:
Mọi thắc mắc vui lòng xin liên hệ hotline: 084 283 45 85

Đây là bản xem thử, vui lòng mua tài liệu để xem chi ết (có lời giải)
2
5
5 . 2
4
a a
V y ậ
2
5
4
y x
b) V i ớ
3
2
m
ta có:
Giao đi m c a đ ng th ng ể ủ ườ ẳ
d
và tr c tung là ụ
0;A y
Vì
0;A y d
nên
1
.0 1 1 0;1
m
y m m A m
m
Giao đi m c a đ ng th ng ể ủ ườ ẳ
d
và tr c hoành là ụ
;0B x
Vì
1 1
;0 0 . 1 . 1
m m
B x d x m x m x m
m m
(vì
3
)
2
m
Suy ra
0;B m
Vì
3
,
2
m
ta có:
0;1 1 1 ; ;0A m OA m m B m OB m m
Xét tam giác
OAB
vuông t i O, theo đ nh lý ạ ị
Pytago
ta có:
2
2
2 2 2 2 2 2
1 1 1 1
1 2 2 1 2
4 2 2 2
AB OA OB m m m m m m m
Vì
3
2
m
nên
2 2 2
1 3 1 1
1
2 2 2 2
m m
2
1 1 1 5
2 2.1
2 2 2 2
m
Ta có :
2
AB
nh nh t b ng ỏ ấ ằ
5 3
2 2
m
V y đ dài ậ ộ
AB
nh nh t b ng ỏ ấ ằ
10 3
2 2
m
Câu 4.
4.1 Gi i h ph ng trình:ả ệ ươ
Mọi thắc mắc vui lòng xin liên hệ hotline: 084 283 45 85

Đây là bản xem thử, vui lòng mua tài liệu để xem chi ết (có lời giải)
1 1
2 3 4 1
5 5 1
3 5 2
3 3
x x
x y x
x
x y y
y y
V y h ph ng trình có nghi m duy nh t ậ ệ ươ ệ ấ
; 1;2x y
4.2 H i hai ng i g p nhau lúc m y gi ỏ ườ ặ ấ ờ
G i quãng đ ng c hai ng i đi đ n lúc g p nhau là ọ ườ ả ườ ế ặ
, 0x km x
Khi đó th i gian ng i th nh t đi đ n lúc g p ng i th hai là : ờ ườ ứ ấ ế ặ ườ ứ
40
x
h
Th i gian ng i th hai đi đ n lúc g p ng i th nh t là ờ ườ ứ ế ặ ườ ứ ấ
60
x
h
Ng i th hai di sau ng i th nh t 2 gi nên ta có ph ng trình : ườ ứ ườ ứ ấ ờ ươ
2 3 2 240 240( )
40 60
x x
x x x tm
Th i gian ng i th nh t đi đ n khi g p ng i th hai là : ờ ườ ứ ấ ế ặ ườ ứ
240
6( )
40
h
V y hai ng i g p nhau lúc ậ ườ ặ
8 6 14
gi .ờ
4.3 a)Gi i ph ng trình ả ươ
2
2 5 3 0x x
Ta có:
2
5 4.2.3 1 0
nên ph ng trình có hai nghi m phân bi t:ươ ệ ệ
1
2
5 1 3
2.2 2
5 1
1
2.2
x
x
. V y t p nghi m c a ph ng trình ậ ậ ệ ủ ươ
3
;1
2
S
b) Tìm tham s m …..ố
Đ ph ng trình đã cho có 2 nghi m ể ươ ệ
1 2
,x x
thì :
Mọi thắc mắc vui lòng xin liên hệ hotline: 084 283 45 85
