ệ xem ể chi ti t ế (có l i ờ gi i ả ) SỞ GIÁO D C Ụ VÀ ĐÀO T O Ạ KỲ THI TUY N Ể SINH L P Ớ 10 THPT CHUYÊN LÀO CAI NĂM H C Ọ 2019-2020 Đ Ề THI CHÍNH TH C Ứ
Môn thi: TOÁN (KHÔNG CHUYÊN) Th i
ờ gian: 120 phút (Không k t ể h i ờ gian giao đ ) ề Câu 1. (1,0 đi m
ể ) Tính giá tr các bi ị u t ể h c s ứ au: a b 2 ) 4 3 ) 5 6 5 2 2x 2x 1 1 H (x 0 ; x 1 ) 2 Câu 2. (1,5 đi m ể ) Cho bi u t ể h c ứ x 1 x 1 x 1 a) Rút g n bi ọ u t ể h c ứ H b) Tìm t t ấ cả các giá tr c ị a ủ x đ
ể x H 0 Câu 3. (2,5 đi m ể ) 1) Cho đư ng t ờ h ng
ẳ d : y x 1và Parabol P 2 : y 3 x a) Tìm t a đ ọ đi ộ m ể A thu c
ộ Parabol(P) , bi t ế đi m ể A có hoành đ ộ x 1 1
d ' : y x b b) Tìm b đ đ ể ư ng t ờ h ng
ẳ d và đư ng t ờ h ng ẳ 2 c t ắ nhau t i ạ m t ộ đi m ể trên tr c hoành ụ x y 5 2) a) Gi i ả h ph ệ ư ng t ơ
rình : 2x y 1 x y a b) Tìm tham s ố a đ h ể ệ phư ng t ơ
rình 7x 2y 5 a 1 có nghiệm duy nhất ; x y th a m ỏ ãn y 2 x Câu 4. (2,0 đi m ể ) a) Gi i ả phư ng ơ trình 2 x 3x 2 0 2 2 b) Tìm các giá tr c ị a t ủ ham s ố m đ ph ể ư ng
ơ trình x 2 m 1 x m 0 có hai nghiệm phân bi t ệ x ; x x x
6m x 2x 1 2 2 1 2 th a m ỏ ãn 1 2 Câu 5 (3,0 đi m ể ) Cho đư ng t ờ ròn (O) và đi m ể M n m ằ ngoài đư ng t ờ ròn (O). K hai ẻ ti p ế tuy n
ế MB,MC (B, C là hai ti p đi ế m ể ) v i ớ đư ng t ờ ròn. Trên cung l n ớ BC lấy đi m
ể A sao cho AB AC.T đi ừ m ể M k đ ẻ ư ng t ờ h ng ẳ song song v i ớ AB,đư ng ờ th ng ẳ này c t ắ đư ng ờ tròn (O) t i
ạ D và E MD ME , c t ắ BC t i ạ F, c t ắ AC t i ạ I a) Ch ng ứ minh MBOC là t gi ứ ác n i ộ ti p ế b) Ch ng ứ minh F . D FE F .
B FC; FI.FM F . D FE M i
ọ thắc mắc vui lòng xin liên hệ hotline: 084 283 45 85
ệ xem ể chi ti t ế (có l i ờ gi i ả ) c) Đư ng ờ th ng ẳ OI c t ắ đư ng t ờ ròn O t i ạ P và Q (P thu c ộ cung nh ỏ AB). Đư ng ờ th ng ẳ QF c t ắ đư ng t ờ ròn O t i ạ K(K khác Q). Ch ng m ứ inh 3 đi m
ể P, K,M th ng ẳ hàng M i
ọ thắc mắc vui lòng xin liên hệ hotline: 084 283 45 85
ệ xem ể chi ti t ế (có l i ờ gi i ả ) ĐÁP ÁN Câu 1. a) 4 3 2 3 5
b) 5 6 52 5 6 5 5 6 5 6 Câu 2. a) x 0 , x 1 2 2x 2x 1 1 2x x 1 x 1 x 1 H 2 x 1 x 1
x 1 x 1 x 1
x 1 x 1 2x 2 2x 2 2 x 1 2 x 1 x 1 x 1 x 1 b) Đi u ki ề ện x 0 , x 1 Theo đ bài ề
ta có: x H 0 x 2 0 x 2 x 4 K t ế h p ợ v i ớ đi u ki ề n t ệ a có: 0 x 4 , x 1 V y ậ v i ớ 0 x 4 , x 1
thì x H 0 Câu 3. 1) a) Đi m ể A có hoành đ
ộ x 1và thu c par ộ abol P 2 : y 3 x nên thay hoành 2
độ x 1vào hàm số ta đư c ợ y 3 . 1 3 A 1;3 A th a m ỏ ãn bài toán b) G i
ọ B x ;0 d B là đi m ể thu c t ộ r c hoành và l ụ à giao đi m ể c a hai ủ đư ng ờ th ng ẳ d,d '
Ta có: B x ,0 d : y x 1 0 x 1 x 1 B 1;0 B B B 1 1 1
B1;0 d ': y x b 0 .1 b b L i ạ có: 2 2 2 1 b V y ậ 2 th a m ỏ ãn bài toán 2) x y 5 3 x 6 x 2 a) 2x y 1 y 5 x y 3 M i
ọ thắc mắc vui lòng xin liên hệ hotline: 084 283 45 85
ệ xem ể chi ti t ế (có l i ờ gi i ả ) V y ậ h ph ệ ư ng t ơ rình có nghi m ệ duy nh t ấ ; x y 2;3 1 x y a (1) 1 b) H ph ệ ư ng t ơ rình có: 7 2 hệ phư ng t ơ
rình 7x 2y 5 a 1(2) có nghiệm duy nhất v i ớ m i ọ . a Theo đ bài ề ta có h ph ệ ư ng ơ trình có nghi m ệ duy nh t ấ th a m ỏ ãn y 2 x Thay y 2
x vào (1) ta đư c: ợ x 2x a
x a y 2a
Thay x a, y 2a vào (2) ta đư c: ợ
7 a 2 2a 5
a 1 7a 4a 5 a 1
7a 4a 5
a 1 3a 5a 1 1
8a 1 a 8 1 a V y ậ 8 th a m ỏ ãn bài toán Câu 4. a) Gi i ả phư ng t ơ rình 2 x 3x 2 0 Phư ng ơ trình có d ng
ạ a b c 1 3 2 0 . Khi đó phư ng t ơ rình có hai nghi m ệ phân biệt x 1 , x 2 1 2 2 2 b) Phư ng
ơ trình x 2 m 1 x m 0 (1) 2 2 2 2
' m 1 m m
2m 1 m 1 2m Có 1
x , x ' 0 1 2m 0 m Phư ng ơ trình có hai nghi m ệ phân bi t ệ 1 2 2 Áp d ng ụ h t ệ h c ứ Vi-et cho phư ng t ơ rình (1) ta có: x x 2( m 1) 1 2 2 x x m 1 2 Theo đ bài ề ta có: M i
ọ thắc mắc vui lòng xin liên hệ hotline: 084 283 45 85
Đề thi vào 10 môn Toán tỉnh Lào Cai năm 2020
575
288 lượt tải
MUA NGAY ĐỂ XEM TOÀN BỘ TÀI LIỆU
CÁCH MUA:
- B1: Gửi phí vào TK:
1133836868- CT TNHH DAU TU VA DV GD VIETJACK - Ngân hàng MB (QR) - B2: Nhắn tin tới Zalo VietJack Official ( nhấn vào đây ) để xác nhận thanh toán và tải tài liệu - giáo án
Liên hệ ngay Hotline hỗ trợ: 084 283 45 85
Đề thi được cập nhật liên tục trong gói này từ nay đến hết tháng 6/2023. Chúng tôi đảm bảo đủ số lượng đề đã cam kết hoặc có thể nhiều hơn, tất cả có BẢN WORD, LỜI GIẢI CHI TIẾT và tải về dễ dàng.
Để tải tài liệu gốc về máy bạn click vào nút Tải Xuống ở trên!
Thuộc bộ (mua theo bộ để tiết kiệm hơn):
- Tailieugiaovien.com.vn giới thiệu bộ 63 đề thi vào 10 môn Toán hệ không chuyên năm 2020 nhằm giúp Giáo viên có thêm tài liệu tham khảo đề luyện thi Toán ôn luyện
- File word có lời giải chi tiết 100%.
- Mua trọn bộ sẽ tiết kiệm hơn tải lẻ 50%.
Đánh giá
4.6 / 5(575 )5
4
3
2
1
Trọng Bình
Tài liệu hay
Giúp ích cho tôi rất nhiều
Duy Trần
Tài liệu chuẩn
Rất thích tài liệu bên VJ soạn (bám sát chương trình dạy)
TÀI LIỆU BỘ BÁN CHẠY MÔN Toán Học
Xem thêmTÀI LIỆU BỘ BÁN CHẠY Ôn vào 10
Xem thêmTài liệu bộ mới nhất

Đây là b nả xem thử, vui lòng mua tài li u đ xem chi ti t (có l i gi i)ệ ể ế ờ ả
S GIÁO D C VÀ ĐÀO T OỞ Ụ Ạ
LÀO CAI
Đ THI CHÍNH TH C Ề Ứ
KỲ THI TUY N SINH L P 10 THPT CHUYÊNỂ Ớ
NĂM H C 2019-2020Ọ
Môn thi: TOÁN (KHÔNG CHUYÊN)
Th i gian: 120 phút (Không k th i gian giao đ )ờ ể ờ ề
Câu 1. (1,0 đi m) ể Tính giá tr các bi u th c sau:ị ể ứ
2
) 4 3 ) 5 6 5a b
Câu 2. (1,5 đi m) ể Cho bi u th c ể ứ
2
2
2 2 1 1
( 0; 1)
1
1 1
x x
H x x
x
x x
a) Rút g n bi u th c ọ ể ứ
H
b) Tìm t t c các giá tr c a ấ ả ị ủ
x
đ ể
0x H
Câu 3. (2,5 đi m) ể 1) Cho đ ng th ng ườ ẳ
: 1d y x
và Parabol
2
: 3P y x
a) Tìm t a đ đi m ọ ộ ể
A
thu c ộ
ar ( )P abol P
, bi t đi m ế ể
A
có hoành đ ộ
1x
b) Tìm
b
đ đ ng th ng ể ườ ẳ
d
và đ ng th ng ườ ẳ
1
' :
2
d y x b
c t nhau t i ắ ạ
m t đi m trên tr c hoànhộ ể ụ
2) a) Gi i h ph ng trình : ả ệ ươ
5
2 1
x y
x y
b) Tìm tham s ố
a
đ h ph ng trình ể ệ ươ
7 2 5 1
x y a
x y a
có nghi m duy ệ
nh t ấ
;x y
th a mãn ỏ
2y x
Câu 4. (2,0 đi m)ể
a) Gi i ph ng trình ả ươ
2
3 2 0x x
b) Tìm các giá tr c a tham s ị ủ ố
m
đ ph ng trình ể ươ
2 2
2 1 0x m x m
có hai
nghi m phân bi t ệ ệ
1 2
;x x
th a mãn ỏ
2
1 2 1 2
6 2x x m x x
Câu 5 (3,0 đi m)ể
Cho đ ng tròn (O) và đi m M n m ngoài đ ng tròn (O). K hai ti p ườ ể ằ ườ ẻ ế
tuy n ế
,MB MC
(B, C là hai ti p đi m) v i đ ng tròn. Trên cung l n ế ể ớ ườ ớ
BC
l y ấ
đi m A sao cho ể
.AB AC
T đi m M k đ ng th ng song song v i ừ ể ẻ ườ ẳ ớ
,AB
đ ng ườ
th ng này c t đ ng tròn (O) t i D và E ẳ ắ ườ ạ
,MD ME
c t ắ
BC
t i F, c t AC t i Iạ ắ ạ
a) Ch ng minh ứ
MBOC
là t giác n i ti pứ ộ ế
b) Ch ng minh ứ
. . ; . .FD FE FB FC FI FM FD FE
M iọ th c m c vui lòng xin liên hắ ắ ệ hotline: 084 283 45 85

Đây là b nả xem thử, vui lòng mua tài li u đ xem chi ti t (có l i gi i)ệ ể ế ờ ả
c) Đ ng th ng ườ ẳ
OI
c t đ ng tròn ắ ườ
O
t i P và Q (P thu c cung nh ạ ộ ỏ
).AB
Đ ng th ng ườ ẳ
QF
c t đ ng tròn ắ ườ
O
t i K(K khác Q). Ch ng minh 3 ạ ứ
đi m ể
, ,P K M
th ng hàngẳ
M iọ th c m c vui lòng xin liên hắ ắ ệ hotline: 084 283 45 85

Đây là b nả xem thử, vui lòng mua tài li u đ xem chi ti t (có l i gi i)ệ ể ế ờ ả
ĐÁP ÁN
Câu 1.
2
) 4 3 2 3 5
) 5 6 5 5 6 5 5 6 5 6
a
b
Câu 2.
a)
0, 1x x
2
2
2 1
2 2 1 1 1 1
1 1 1
1 1
1 1
2 1
2 2 2 2
2
1 1 1 1
x x
x x x x
H
x x x
x x
x x
x
x x
x x x x
b) Đi u ki n ề ệ
0, 1x x
Theo đ bài ta có: ề
0 2 0 2 4x H x x x
K t h p v i đi u ki n ta có: ế ợ ớ ề ệ
0 4, 1x x
V y v i ậ ớ
0 4, 1x x
thì
0x H
Câu 3.
1)
a) Đi m ể
A
có hoành đ ộ
1x
và thu c parabol ộ
2
: 3P y x
nên thay hoành
đ ộ
1x
vào hàm s ta đ c ố ượ
2
3. 1 3 1;3
A
y A
th a mãn bài toánỏ
b) G i ọ
;0
B
B x d
là đi m thu c tr c hoành và là giao đi m c a hai ể ộ ụ ể ủ
đ ng th ng ườ ẳ
, 'd d
Ta có:
,0 : 1 0 1 1 1;0
B B B
B x d y x x x B
L i có: ạ
1 1 1
1;0 ': 0 .1
2 2 2
B d y x b b b
V y ậ
1
2
b
th a mãn bài toán ỏ
2)
5 3 6 2
)
2 1 5 3
x y x x
a
x y y x y
M iọ th c m c vui lòng xin liên hắ ắ ệ hotline: 084 283 45 85

Đây là b nả xem thử, vui lòng mua tài li u đ xem chi ti t (có l i gi i)ệ ể ế ờ ả
V y h ph ng trình có nghi m duy nh t ậ ệ ươ ệ ấ
; 2;3x y
b) H ph ng trình có: ệ ươ
1 1
7 2
h ph ng trình ệ ươ
(1)
7 2 5 1(2)
x y a
x y a
có
nghi m duy nh t v i m i ệ ấ ớ ọ
.a
Theo đ bài ta có h ph ng trình có nghi m duy nh t th a mãn ề ệ ươ ệ ấ ỏ
2y x
Thay
2y x
vào (1) ta đ c: ượ
2 2x x a x a y a
Thay
, 2x a y a
vào (2) ta đ c:ượ
7 2 2 5 1 7 4 5 1
7 4 5 1 3 5 1
1
8 1
8
a a a a a a
a a a a a
a a
V y ậ
1
8
a
th a mãn bài toánỏ
Câu 4.
a) Gi i ph ng trình ả ươ
2
3 2 0x x
Ph ng trình có d ng ươ ạ
1 3 2 0a b c
. Khi đó ph ng trình có hai nghi mươ ệ
phân bi t ệ
1 2
1, 2x x
b) Ph ng trình ươ
2 2
2 1 0 (1)x m x m
Có
2
2 2 2
' 1 2 1 1 2m m m m m m
Ph ng trình có hai nghi m phân bi t ươ ệ ệ
1 2
1
, ' 0 1 2 0
2
x x m m
Áp d ng h th c Vi-et cho ph ng trình (1) ta có: ụ ệ ứ ươ
1 2
2
1 2
2( 1)x x m
x x m
Theo đ bài ta có:ề
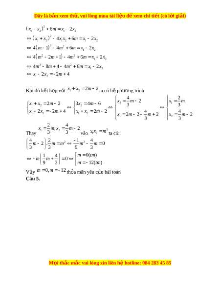
M iọ th c m c vui lòng xin liên hắ ắ ệ hotline: 084 283 45 85

Đây là b nả xem thử, vui lòng mua tài li u đ xem chi ti t (có l i gi i)ệ ể ế ờ ả
2
1 2 1 2
2
1 2 1 2 1 2
2
2
1 2
2 2
1 2
2 2
1 2
1 2
6 2
4 6 2
4 1 4 6 2
4 2 1 4 6 2
4 8 4 4 6 2
2 2 4
x x m x x
x x x x m x x
m m m x x
m m m m x x
m m m m x x
x x m
Khi đó k t h p v i ế ợ ớ
1 2
2 2x x m
ta có h ph ng trìnhệ ươ
2 1
1 2 2
1 2 1 2
1 2
4 2
2
2 2 3 4 6
3 3
2 2 4 2 2 4 4
2 2 2 2
3 3
x m x m
x x m x m
x x m x x m
x m m x m
Thay
1 2
2 4
, 2
3 3
x m x m
vào
2
1 2
x x m
ta có:
2 2
4 2 1 4
2 . 0
3 3 9 3
0( )
1 4
0
12( )
9 3
m m m m m
m tm
m m
m tm
V y ậ
0, 12m m
th a mãn yêu c u bài toán ỏ ầ
Câu 5.
M iọ th c m c vui lòng xin liên hắ ắ ệ hotline: 084 283 45 85
