ệ xem ể chi ti t ế (có l i ờ gi i ả ) SỞ GIÁO D C Ụ VÀ ĐÀO T O Ạ Đ Ề THI TUY N Ể SINH L P Ớ 10 THPT T N Ỉ H NINH BÌNH NĂM HỌC 2019-2020
Bài thi môn:Toán – Ngày thi: 04/6/2019 Đ Ề THI CHÍNH TH C Ứ Th i
ờ gian làm bài: 120 phút (không k t ể h i ờ gian phát đ ) ề Câu 1. (2,0 đi m ể ) 1. Rút g n bi ọ u t ể h c ứ A 2 18 3 x y 2 2. Gi i ả h ph ệ ư ng t ơ rình 2x y 3 3. Tìm t a đ ọ gi ộ ao đi m ể c a ủ hai đư ng t ờ h ng
ẳ d : y x 3
d : y 2x 3 1 và 2 Câu 2. (2,5 đi m ể ) x 3 6 x P x 0 , x 9 1. Rút g n bi ọ u t ể h c ứ x 3 x 3 x 9 2 2. Cho phư ng t ơ
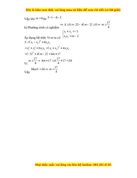
rình x 5x m 2 0 (1) v i ớ m là tham số a) Gi i ả phư ng t ơ rình 1 khi m 6 b) Tìm t t ấ cả các giá tr c ị a ủ m đ ph ể ư ng ơ trình
1 có hai nghiệm x ,x 1 2 sao cho bi u t ể h c ứ S
x x 2 8x x 1 2 1 2 đ t ạ giá tr l ị n nh ớ t ấ Câu 3. (1,0 đi m ể ) Bác Bình g i ử ti t ế ki m ệ 100 tri u đ ệ
ồng vào ngân hàng A, kỳ h n m ạ t ộ năm. Cùng ngày, bác g i ử ti t ế ki m ệ 150 tri u đ ệ ng vào ngân hàng B ồ , kỳ h n m ạ t ộ năm, v i ớ lãi su t ấ cao h n l ơ ãi su t ấ c a
ủ ngân hàng A là 1% / năm. Bi t ế sau đúng 1 năm k t ể ừ ngày g i ử ti n, ề bác Bình nh n ậ đư c t ợ ng s ổ t ố i n l ề ãi là 16,5 tri u đ ệ ồng t hai ừ kho n ả ti n ề g i ử ti t ế ki m ệ nêu trên. H i ỏ lãi su t ấ ti n g ề i ử ti t ế ki m ệ kỳ h n 1 năm ạ c a ủ ngân hàng A là bao nhiêu ph n t ầ răm ? Câu 4. (3,5 đi m ể ) 1. Cho đư ng t ờ ròn tâm O và m t ộ đi m ể M n m ằ ngoài đư ng ờ tròn. T M ừ k đ ẻ ư ng ờ th ng ẳ đi qua tâm O, c t ắ đư ng ờ tròn t i ạ hai đi m ể , A B (A n m ằ gi a M ữ và B). k ẻ đư ng ờ th ng t ẳ h hai ứ đi qua M, c t ắ đư ng ờ tròn t i ạ hai đi m ể phân bi t ệ C, D (C n m ằ gi a M ữ và D, C khác A). Đư ng ờ th ng vuông góc v ẳ i ớ MA t i ạ M c t ắ đư ng ờ th ng ẳ BC t i ạ N, đư ng ờ th ng ẳ NA c t ắ đư ng t ờ ròn t i ạ đi m ể th hai ứ là E a) Ch ng ứ minh t gi ứ ác AMNC là t gi ứ ác n i ộ ti p ế b) Ch ng
ứ minh DE MB 2. Trên m t ộ khúc sông v i ớ hai b s ờ ong song v i ớ nhau, có m t ộ chi c ế đò d đ ự nh chèo ị qua sống t v ừ t ị rí A b ở bên này s ờ ang v t ị rí B b ở bên ki ờ a, đư ng ờ th ng ẳ AB vuông góc v i ớ các b s
ờ ông. Do bị dòng nư c đ ớ ẩy xiên nên chi c ế đò đã c p ậ b bên ờ kia t i ạ v t ị rí C cách B m t ộ kho ng ả b ng 30m ằ . Bi t ế khúc sông r ng 150m ộ , h i ỏ M i
ọ thắc mắc vui lòng xin liên hệ hotline: 084 283 45 85
ệ xem ể chi ti t ế (có l i ờ gi i ả ) dòng nư c ớ đã đẩy chi c đò l ế ch đi ệ m t
ộ góc có số đo b ng bao nhi ằ êu ? (k t ế qu ả làm tròn đ n gi ế ây). Câu 5. (1,0 đi m ể ) 2 1. Tìm t t
ấ cả các số nguyên tố p sao cho tổng các ư c ớ nguyên dư ng c ơ a ủ p là m t ộ số chính phư ng ơ
2. Cho x, y, z là các số th c ự dư ng t ơ h a
ỏ mãn x y z 2 019.Tìm giá tr nh ị ỏ nh t ấ 2 2 2 x y z T . c a ủ bi u t ể h c ứ x yz y zx z xy ĐÁP ÁN Câu 1.
1) A 2 18 2 9.2 2 3 2 4 2 3 x y 2 5 x 5 x 1 2) 2x y 3 2x y 3 y 1 V y ậ h ph ệ ư ng t ơ rình có nghi m ệ duy nh t ấ là ; x y 1; 1 3) T a đ ọ gi ộ ao đi m ể c a hai ủ đư ng ờ th ng
ẳ d : y x 3 & d : y 2x 3 1 2 là y x 3 y 1 nghiệm c a h ủ ệ phư ng
ơ trình y 2x 3 x 2 V y ậ t a đ ọ gi ộ ao đi m ể c a hai ủ đư ng ờ th ng ẳ d , d x, y 2; 1 1 2 là Câu 2.
1) DK : x 0 , x 9 x 3 6 x P x 3 x 3 x 9
x. x 3 3. x 3 6 x
x 3 x 3
x 3 x 3
x 3 x 3 x 9 6 x x 9 1
x 3 x 3 x 9
2) a) Ta có khi m 6 phư ng t ơ rình (1) thành 2 x 5x 4 0 (*) Phư ng ơ trình có d ng
ạ a b c 0 nên phư ng t ơ rình (*) có hai nghi m ệ phân bi t ệ là:
x 1; x 4 1 2 M i
ọ thắc mắc vui lòng xin liên hệ hotline: 084 283 45 85
ệ xem ể chi ti t ế (có l i ờ gi i ả ) V y ậ khi m 6 thì S 4; 1 17 0
25 4 m 2 0 m b) Phư ng t ơ rình có nghi m ệ 4
x x 5 1 2 Áp d ng ụ h t ệ h c ứ Vi-et ta có: x x m 2 1 2 S
x x 2 8x x 1 2 1 2
x x 6x x
x x 2 2 2 4x x 1 2 1 2 1 2 1 2
5 2 4 m 2 4 m 17 17 17 m 4m 17 4. 17 34 Vì 4 4 17 MaxS 34 m V y ậ 4 M i
ọ thắc mắc vui lòng xin liên hệ hotline: 084 283 45 85
ệ xem ể chi ti t ế (có l i ờ gi i ả ) Câu 3. G i ọ lãi su t ấ g i ử ti t ế ki m ệ kỳ h n ạ 1 năm c a ngân ủ
hàng A là x% / năm ( x 0) Lãi su t ấ g i ử ti t ế ki m ệ kỳ h n 1 năm ạ c a
ủ ngân hàng B là x 1 % / năm Ti n l ề ãi bác Bình nh n đ ậ ư c ợ sau 1 năm g i
ử vào ngân hàng A là: 100.x% (tri u đ ệ ồng) Ti n l ề ãi bác Bình nh n đ ậ ư c ợ sau 1 năm g i
ử vào ngân hàng B là: 150 x 1 % (tri u ệ đồng) T ng s ổ ố ti n ề lãi bác Bình nh n ậ đư c t ợ hai ừ kho n t ả i t ế ki m ệ trên là 16,5 tri u đ ệ ồng nên ta có phư ng t ơ rình:
100%x 150 x 1 % 1 6,5
100x 150x 150 1 650 250x 1 500 x 6 (tm) V y ậ lãi su t ấ g i ử ti t ế ki m ệ kỳ h n m ạ t ộ năm c a
ủ ngân hàng A là 6%. Câu 4. 1) a) Ta có: 0
MN AB NMA 9 0 ACB là góc n i ộ ti p ch ế n n ắ a ử đư ng t ờ ròn (O) 0 ACB AMN 9 0 AMNC là t gi ứ ác n i ộ ti p (
ế tứ giác có góc ngoài t i ạ m t ộ đ nh b ỉ ng ằ góc trong t i ạ đỉnh đối diện) M i
ọ thắc mắc vui lòng xin liên hệ hotline: 084 283 45 85
Đề thi vào 10 môn Toán tỉnh Ninh Bình năm 2020
576
288 lượt tải
MUA NGAY ĐỂ XEM TOÀN BỘ TÀI LIỆU
CÁCH MUA:
- B1: Gửi phí vào TK:
1133836868- CT TNHH DAU TU VA DV GD VIETJACK - Ngân hàng MB (QR) - B2: Nhắn tin tới Zalo VietJack Official ( nhấn vào đây ) để xác nhận thanh toán và tải tài liệu - giáo án
Liên hệ ngay Hotline hỗ trợ: 084 283 45 85
Đề thi được cập nhật liên tục trong gói này từ nay đến hết tháng 6/2023. Chúng tôi đảm bảo đủ số lượng đề đã cam kết hoặc có thể nhiều hơn, tất cả có BẢN WORD, LỜI GIẢI CHI TIẾT và tải về dễ dàng.
Để tải tài liệu gốc về máy bạn click vào nút Tải Xuống ở trên!
Thuộc bộ (mua theo bộ để tiết kiệm hơn):
- Tailieugiaovien.com.vn giới thiệu bộ 63 đề thi vào 10 môn Toán hệ không chuyên năm 2020 nhằm giúp Giáo viên có thêm tài liệu tham khảo đề luyện thi Toán ôn luyện
- File word có lời giải chi tiết 100%.
- Mua trọn bộ sẽ tiết kiệm hơn tải lẻ 50%.
Đánh giá
4.6 / 5(576 )5
4
3
2
1
Trọng Bình
Tài liệu hay
Giúp ích cho tôi rất nhiều
Duy Trần
Tài liệu chuẩn
Rất thích tài liệu bên VJ soạn (bám sát chương trình dạy)
TÀI LIỆU BỘ BÁN CHẠY MÔN Toán Học
Xem thêmTÀI LIỆU BỘ BÁN CHẠY Ôn vào 10
Xem thêmTài liệu bộ mới nhất

Đây là b nả xem thử, vui lòng mua tài li u đ xem chi ti t (có l i gi i)ệ ể ế ờ ả
S GIÁO D C VÀ ĐÀO T OỞ Ụ Ạ
T NH NINH BÌNHỈ
Đ THI CHÍNH TH C Ề Ứ
Đ THI TUY N SINH L P 10 THPTỀ Ể Ớ
NĂM H C 2019-2020Ọ
Bài thi môn:Toán – Ngày thi: 04/6/2019
Th i gian làm bài: 120 phút (không k th i gian phát đ )ờ ể ờ ề
Câu 1. (2,0 đi m)ể
1. Rút g n bi u th c ọ ể ứ
2 18A
2. Gi i h ph ng trình ả ệ ươ
3 2
2 3
x y
x y
3. Tìm t a đ giao đi m c a hai đ ng th ng ọ ộ ể ủ ườ ẳ
1
: 3d y x
và
2
: 2 3d y x
Câu 2. (2,5 đi m)ể
1. Rút g n bi u th c ọ ể ứ
3 6
0, 9
9
3 3
x x
P x x
x
x x
2. Cho ph ng trình ươ
2
5 2 0(1)x x m
v i ớ
m
là tham số
a) Gi i ph ng trình ả ươ
1
khi
6m
b) Tìm t t c các giá tr c a ấ ả ị ủ
m
đ ph ng trình ể ươ
1
có hai nghi m ệ
1 2
,x x
sao cho
bi u th c ể ứ
2
1 2 1 2
8S x x x x
đ t giá tr l n nh tạ ị ớ ấ
Câu 3. (1,0 đi m) ể Bác Bình g i ti t ki m ử ế ệ
100
tri u đ ng vào ngân hàng A, kỳ h n m t ệ ồ ạ ộ
năm. Cùng ngày, bác g i ti t ki m 150 tri u đ ng vào ngân hàng B, kỳ h n m t năm, ử ế ệ ệ ồ ạ ộ
v i lãi su t cao h n lãi su t c a ngân hàng A là ớ ấ ơ ấ ủ
1% /
năm. Bi t sau đúng 1 năm k t ế ể ừ
ngày g i ti n, bác Bình nh n đ c t ng s ti n lãi là ử ề ậ ượ ổ ố ề
16,5
tri u đ ng t hai kho n ti n ệ ồ ừ ả ề
g i ti t ki m nêu trên. H i lãi su t ti n g i ti t ki m kỳ h n 1 năm c a ngân hàng A là ử ế ệ ỏ ấ ề ử ế ệ ạ ủ
bao nhiêu ph n trăm ?ầ
Câu 4. (3,5 đi m)ể
1. Cho đ ng tròn tâm O và m t đi m ườ ộ ể
M
n m ngoài đ ng tròn. T M k đ ng ằ ườ ừ ẻ ườ
th ng đi qua tâm O, c t đ ng tròn t i hai đi m ẳ ắ ườ ạ ể
,A B
(A n m gi a M và B). k ằ ữ ẻ
đ ng th ng th hai đi qua M, c t đ ng tròn t i hai đi m phân bi t ườ ẳ ứ ắ ườ ạ ể ệ
,C D
(C
n m gi a M và D, C khác A). Đ ng th ng vuông góc v i ằ ữ ườ ẳ ớ
MA
t i M c t đ ng ạ ắ ườ
th ng ẳ
BC
t i N, đ ng th ng ạ ườ ẳ
NA
c t đ ng tròn t i đi m th hai là Eắ ườ ạ ể ứ
a) Ch ng minh t giác ứ ứ
AMNC
là t giác n i ti pứ ộ ế
b) Ch ng minh ứ
DE MB
2. Trên m t khúc sông v i hai b song song v i nhau, có m t chi c đò d đ nh chèo ộ ớ ờ ớ ộ ế ự ị
qua s ng t v trí A b bên này sang v trí B b bên kia, đ ng th ng AB ố ừ ị ở ờ ị ở ờ ườ ẳ
vuông góc v i các b sông. Do b dòng n c đ y xiên nên chi c đò đã c p b bênớ ờ ị ướ ẩ ế ậ ờ
kia t i v trí C cách B m t kho ng b ng 30m. Bi t khúc sông r ng 150m, h i ạ ị ộ ả ằ ế ộ ỏ
M iọ th c m c vui lòng xin liên hắ ắ ệ hotline: 084 283 45 85

Đây là b nả xem thử, vui lòng mua tài li u đ xem chi ti t (có l i gi i)ệ ể ế ờ ả
dòng n c đã đ y chi c đò l ch đi m t góc có s đo b ng bao nhiêu ? (k t qu ướ ẩ ế ệ ộ ố ằ ế ả
làm tròn đ n giây).ế
Câu 5. (1,0 đi m)ể
1. Tìm t t c các s nguyên t ấ ả ố ố
p
sao cho t ng các c nguyên d ng c a ổ ướ ươ ủ
2
p
là m t ộ
s chính ph ngố ươ
2. Cho
, ,x y z
là các s th c d ng th a mãn ố ự ươ ỏ
2019.x y z
Tìm giá tr nh nh t ị ỏ ấ
c a bi u th c ủ ể ứ
2 2 2
.
x y z
T
x yz y zx z xy
ĐÁP ÁN
Câu 1.
1)
2 18 2 9.2 2 3 2 4 2A
2)
3 2 5 5 1
2 3 2 3 1
x y x x
x y x y y
V y h ph ng trình có nghi m duy nh t là ậ ệ ươ ệ ấ
; 1; 1x y
3) T a đ giao đi m c a hai đ ng th ng ọ ộ ể ủ ườ ẳ
1 2
: 3& : 2 3d y x d y x
là
nghi m c a h ph ng trình ệ ủ ệ ươ
3 1
2 3 2
y x y
y x x
V y t a đ giao đi m c a hai đ ng th ng ậ ọ ộ ể ủ ườ ẳ
1 2
,d d
là
, 2; 1x y
Câu 2.
1)
: 0, 9DK x x
3 6
9
3 3
. 3 3. 3
6
3 3 3 3
3 3 9 6 9
1
9
3 3
x x
P
x
x x
x x x
x
x x x x
x x x x x
x
x x
2) a) Ta có khi
6m
ph ng trình (1) thành ươ
2
5 4 0x x
(*)
Ph ng trình có d ng ươ ạ
0a b c
nên ph ng trình (*) có hai nghi m phân bi t ươ ệ ệ
là:
1 2
1; 4x x
M iọ th c m c vui lòng xin liên hắ ắ ệ hotline: 084 283 45 85

Đây là b nả xem thử, vui lòng mua tài li u đ xem chi ti t (có l i gi i)ệ ể ế ờ ả
V y khi ậ
6m
thì
4; 1S
b) Ph ng trình có nghi m ươ ệ
17
0 25 4 2 0
4
m m
Áp d ng h th c Vi-et ta có: ụ ệ ứ
1 2
1 2
5
2
x x
x x m
2
1 2 1 2
2
2 2
1 2 1 2 1 2 1 2
2
8
6 4
5 4 2 4 17
S x x x x
x x x x x x x x
m m
Vì
17 17
4 17 4. 17 34
4 4
m m
V y ậ
17
34
4
MaxS m
M iọ th c m c vui lòng xin liên hắ ắ ệ hotline: 084 283 45 85

Đây là b nả xem thử, vui lòng mua tài li u đ xem chi ti t (có l i gi i)ệ ể ế ờ ả
Câu 3.
G i lãi su t g i ti t ki m kỳ h n 1 năm c a ngân hàng A là ọ ấ ử ế ệ ạ ủ
% /x
năm (
0)x
Lãi su t g i ti t ki m kỳ h n 1 năm c a ngân hàng B là ấ ử ế ệ ạ ủ
1 % /x
năm
Ti n lãi bác Bình nh n đ c sau 1 năm g i vào ngân hàng A là: ề ậ ượ ử
100. %x
(tri u đ ng)ệ ồ
Ti n lãi bác Bình nh n đ c sau 1 năm g i vào ngân hàng B là: ề ậ ượ ử
150 1 %x
(tri u ệ
đ ng)ồ
T ng s ti n lãi bác Bình nh n đ c t hai kho n ti t ki m trên là ổ ố ề ậ ượ ừ ả ế ệ
16,5
tri u đ ng nên ệ ồ
ta có ph ng trình:ươ
100% 150 1 % 16,5
100 150 150 1650
250 1500
6( )
x x
x x
x
x tm
V y lãi su t g i ti t ki m kỳ h n m t năm c a ngân hàng ậ ấ ử ế ệ ạ ộ ủ
A
là
6%.
Câu 4.
1)
a) Ta có:
0
90MN AB NMA
ACB
là góc n i ti p ch n n a đ ng tròn (O) ộ ế ắ ử ườ
0
90ACB AMN
AMNC
là t giác n i ti p (t giác có góc ngoài t i m t đ nh b ng góc trong t i ứ ộ ế ứ ạ ộ ỉ ằ ạ
đ nh đ i di n)ỉ ố ệ
M iọ th c m c vui lòng xin liên hắ ắ ệ hotline: 084 283 45 85

Đây là b nả xem thử, vui lòng mua tài li u đ xem chi ti t (có l i gi i)ệ ể ế ờ ả
b) Ta có t giác ứ
AMNC
n i ti p (cmt)ộ ế
CNA CMA
(hai góc n i ti p cùng ch nộ ế ắ
)AC
hay
(1)BNE BMD
Xét đ ng tròn (O) ta có:ườ
BNE
là góc có đ nh n m ngoài đ ng tròn ch n cung ỉ ằ ườ ắ
AC
và
BE
1
(2)
2
BNE sd BE sd AC
DMB
là góc có đ nh n m ngoài đ ng tròn ch n cung AC và BDỉ ằ ườ ắ
1
(3)
2
DMB sd BD sd AC
T (1) (2) (3) suy ra ừ
sd BD sd BE BD BE
(2 cung b ng nhau căng 2 dây b ng ằ ằ
nhau)
B
n m trên đ ng trung tr c c a ằ ườ ự ủ
(4)DE
L i có: ạ
0
90ADB AEB
(các góc n i ti p ch n n a đ ng tròn (O))ộ ế ắ ử ườ
Xét
ADB
và
AEB
có:
0
90 ( ),ADB AEB cmt AB
chung;
( )BD BE cmt
( )ADB AEB ch cgv
AD AE
(hai c nh t ng ng)ạ ươ ứ
A
n m trên đ ng trung tr c c a ằ ườ ự ủ
DE
(5)
T (4) và (5) ừ
AB
là đ ng trung tr c c a ườ ự ủ
DE
AB DE
hay
( )MB DE dfcm
2)
Ta có:
AB BC ABC
vuông t i Bạ
Áp d ng t s l ng giác c a góc nh n trong tam giác vuông ABC ta có:ụ ỉ ố ượ ủ ọ
M iọ th c m c vui lòng xin liên hắ ắ ệ hotline: 084 283 45 85
