SỞ GIÁO D C Ụ VÀ ĐÀO T O Ạ KỲ THI TUY N Ể SINH L P Ớ 10 THPT NINH THU N Ậ
NĂM HỌC 2020 – 2021
Khóa ngày : 18/07/2020 Đ C Ề HÍNH TH C Ứ Môn thi: TOÁN Th i
ờ giân làm bài : 120 phút Bài 1. (2,0 đi m ể ) a) Tìm x đ bi ể u t ể h c
ứ A 2x 3 có nghĩa b) Gi i ả phư ng t ơ rình: 2 x 5x 3 0 Bài 2. (2,0 đi m ể ) Cho hàm số y 2
x 5 có đồ thị là đư ng ờ th ng ẳ d a) G i ọ , A B lần lư t ợ là giao đi m ể c a ủ d v i ớ các tr c ụ t a đ ọ ộ , Ox Oy . Tìm t a ọ đ các đi ộ m ể , A B và vẽ đư ng ờ th ng ẳ d trong m t ặ ph ng ẳ t a đ ọ ộ Oxy b) Tính di n t ệ ích tam giác OAB Bài 3. (2,0 đi m ể )
x 2 x 1 x x x 0 P . 1 x 1 x 1 x 1 a) Rút g n bi ọ u t ể h c ứ 1 1 4
b) Cho a 0,b 0.Ch ng m ứ inh r ng ằ a b a b Bài 4. (4,0 đi m ể ) Cho đư ng t ờ ròn tâm O đư ng kí ờ nh AB 2 .
R Vẽ dây cung CD vuông góc v i ớ AB t i ạ I (I n m ằ gi a ữ A và O). L y đi ấ m ể E trên cung nh
ỏ BC(E khác B và C), AE c t ắ CD t i ạ F a) Ch ng ứ minh t gi ứ ác BEFI n i ộ ti p t ế rong m t ộ đư ng t ờ ròn 0 b) Tính đ dài ộ c nh
ạ AC theo R và A CD khi B AC 6 0 c) Ch ng ứ minh khi đi m ể E ch y t
ạ rên cung nhỏ BC thì tâm đư ng t ờ ròn ngo i ạ ti p t
ế am giác CEF luôn thu c m ộ t ộ đư ng ờ th ng ẳ c đ ố nh. ị
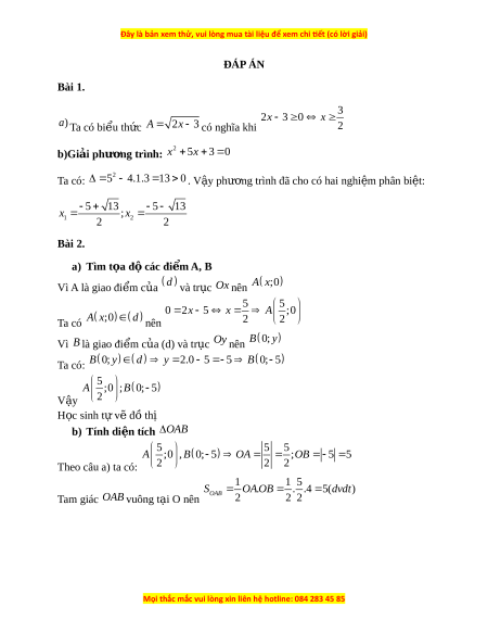
ĐÁP ÁN Bài 1. 3 a) 2x 3 0 x Ta có bi u t ể h c
ứ A 2x 3 có nghĩa khi 2 b)Gi i ả phư ng t ơ rình: 2 x 5x 3 0 Ta có: 2 5 4.1.3 1 3 0 . V y ph ậ ư ng
ơ trình đã cho có hai nghi m ệ phân bi t ệ : 5 13 5 13 x ; x 1 2 2 2 Bài 2. a) Tìm t a đ ọ các ộ đi m ể A, B Vì A là giao đi m ể c a ủ d và tr c
ụ Ox nên A ; x 0 5 5 0 2x 5 x A ;0 Ta có A ;
x 0 d nên 2 2 Vì B là giao đi m ể c a ủ (d) và tr c
ụ Oy nên B 0; y
Ta có: B 0; y d y 2
.0 5 5 B 0; 5 5 A ;0; B 0; 5 V y ậ 2 H c ọ sinh t v ự đ ẽ t ồ hị b) Tính di n t ệ ích O AB 5 5 5 A
;0 , B 0; 5 OA ;OB 5 5 Theo câu a) ta có: 2 2 2 1 1 5 S O . A OB . .4 5 (dvdt)
Tam giác OAB vuông t i ạ O nên OAB 2 2 2
Bài 3. a) Rút g n bi ọ u t ể h c ứ V i ớ x 0 , x 1 . Ta có:
x 2 x 1 x x P . 1 x 1 x 1 x 2 1 x x 1 . 1
x 1 x 1 x 1 x 1 x 1 1 1 4
b) Chứng minh a b a b Ta có: 1 1 4 a b 4
a b 2 4ab 0 a b a b ab ab
ab a b
a b 2 4ab 0(
do a 0,b 0 ab a b 0) 2 2 2 2
a 2ab b 4ab 0
a 2ab b 0
a b 2 0( luon dung) 1 1 4 a b V y ậ a b a b
Đề thi vào 10 môn Toán tỉnh Ninh Thuận (Hệ không chuyên) năm 2021
487
244 lượt tải
MUA NGAY ĐỂ XEM TOÀN BỘ TÀI LIỆU
CÁCH MUA:
- B1: Gửi phí vào TK:
1133836868- CT TNHH DAU TU VA DV GD VIETJACK - Ngân hàng MB (QR) - B2: Nhắn tin tới Zalo VietJack Official ( nhấn vào đây ) để xác nhận thanh toán và tải tài liệu - giáo án
Liên hệ ngay Hotline hỗ trợ: 084 283 45 85
Đề thi được cập nhật liên tục trong gói này từ nay đến hết tháng 6/2023. Chúng tôi đảm bảo đủ số lượng đề đã cam kết hoặc có thể nhiều hơn, tất cả có BẢN WORD, LỜI GIẢI CHI TIẾT và tải về dễ dàng.
Để tải tài liệu gốc về máy bạn click vào nút Tải Xuống ở trên!
Thuộc bộ (mua theo bộ để tiết kiệm hơn):
- Tailieugiaovien.com.vn giới thiệu bộ 69 đề thi vào 10 môn Toán hệ không chuyên mới nhất năm 2021 nhằm giúp Giáo viên có thêm tài liệu tham khảo đề luyện thi Toán ôn luyện vào 1
- File word có lời giải chi tiết 100%.
- Mua trọn bộ sẽ tiết kiệm hơn tải lẻ 50%.
Đánh giá
4.6 / 5(487 )5
4
3
2
1
Trọng Bình
Tài liệu hay
Giúp ích cho tôi rất nhiều
Duy Trần
Tài liệu chuẩn
Rất thích tài liệu bên VJ soạn (bám sát chương trình dạy)
TÀI LIỆU BỘ BÁN CHẠY MÔN Toán Học
Xem thêmTÀI LIỆU BỘ BÁN CHẠY Ôn vào 10
Xem thêmTài liệu bộ mới nhất

Đây là bản xem thử, vui lòng mua tài liệu để xem chi ết (có lời giải)
S GIÁO D C VÀ ĐÀO T OỞ Ụ Ạ
NINH THU NẬ
Đ CHÍNH TH C Ề Ứ
KỲ THI TUY N SINH L P 10 THPTỂ Ớ
NĂM H C 2020 – 2021Ọ
Khóa ngày : 18/07/2020
Môn thi: TOÁN
Th i giân làm bài : 120 phút ờ
Bài 1. (2,0 đi m)ể
a) Tìm
x
đ bi u th c ể ể ứ
2 3A x
có nghĩa
b) Gi i ph ng trình: ả ươ
2
5 3 0x x
Bài 2. (2,0 đi m) ể
Cho hàm s ố
2 5y x
có đ th là đ ng th ng ồ ị ườ ẳ
d
a) G i ọ
,A B
l n l t là giao đi m c a ầ ượ ể ủ
d
v i các tr c t a đ ớ ụ ọ ộ
,Ox Oy
. Tìm
t a đ các đi m ọ ộ ể
,A B
và v đ ng th ng ẽ ườ ẳ
d
trong m t ph ng t a đ ặ ẳ ọ ộ
Oxy
b) Tính di n tích tam giác ệ
OAB
Bài 3. (2,0 đi m)ể
a) Rút g n bi u th c ọ ể ứ
0
2 1
. 1
1
1 1
x
x x x x
P
x
x x
b) Cho
0, 0.a b
Ch ng minh r ng ứ ằ
1 1 4
a b a b
Bài 4. (4,0 đi m)ể
Cho đ ng tròn tâm O đ ng kính ườ ườ
2 .AB R
V dây cung ẽ
CD
vuông góc
v i ớ
AB
t i ạ
I
(I
n m gi a A và O). L y đi m ằ ữ ấ ể
E
trên cung nh ỏ
(BC E
khác
B
và
C),
AE
c t ắ
CD
t i ạ
F
a) Ch ng minh t giác ứ ứ
BEFI
n i ti p trong m t đ ng trònộ ế ộ ườ
b) Tính đ dài c nh ộ ạ
AC
theo
R
và
0
60ACD khi BAC
c) Ch ng minh khi đi m ứ ể
E
ch y trên cung nh ạ ỏ
BC
thì tâm đ ng tròn ngo i ườ ạ
ti p tam giác ế
CEF
luôn thu c m t đ ng th ng c đ nh.ộ ộ ườ ẳ ố ị
Mọi thắc mắc vui lòng xin liên hệ hotline: 084 283 45 85

Đây là bản xem thử, vui lòng mua tài liệu để xem chi ết (có lời giải)
Mọi thắc mắc vui lòng xin liên hệ hotline: 084 283 45 85

Đây là bản xem thử, vui lòng mua tài liệu để xem chi ết (có lời giải)
ĐÁP ÁN
Bài 1.
)a
Ta có bi u th c ể ứ
2 3A x
có nghĩa khi
3
2 3 0
2
x x
b)Gi i ph ng trình: ả ươ
2
5 3 0x x
Ta có:
2
5 4.1.3 13 0
. V y ph ng trình đã cho có hai nghi m phân bi t:ậ ươ ệ ệ
1 2
5 13 5 13
;
2 2
x x
Bài 2.
a) Tìm t a đ các đi m A, Bọ ộ ể
Vì A là giao đi m c a ể ủ
d
và tr c ụ
Ox
nên
;0A x
Ta có
;0A x d
nên
5 5
0 2 5 ;0
2 2
x x A
Vì
B
là giao đi m c a (d) và tr c ể ủ ụ
Oy
nên
0;B y
Ta có:
0; 2.0 5 5 0; 5B y d y B
V y ậ
5
;0 ; 0; 5
2
A B
H c sinh t v đ thọ ự ẽ ồ ị
b) Tính di n tích ệ
OAB
Theo câu a) ta có:
5 5 5
;0 , 0; 5 ; 5 5
2 2 2
A B OA OB
Tam giác
OAB
vuông t i O nên ạ
1 1 5
. . .4 5( )
2 2 2
OAB
S OA OB dvdt
Mọi thắc mắc vui lòng xin liên hệ hotline: 084 283 45 85

Đây là bản xem thử, vui lòng mua tài liệu để xem chi ết (có lời giải)
Bài 3.
a) Rút g n bi u th c ọ ể ứ
V i ớ
0, 1x x
. Ta có:
2
2 1
. 1
1 1
1 1
. 1 1 1 1
1 1
x x x x
P
x x
x x x
x x x
x x
b) Ch ng minh ứ
1 1 4
a b a b
Ta có:
2
2
2 2 2 2
2
4
1 1 4 4
0
4 0( 0, 0 0)
2 4 0 2 0
0( )
a b ab
a b
a b a b ab ab ab a b
a b ab do a b ab a b
a ab b ab a ab b
a b luon dung
V y ậ
1 1 4
a b
a b a b
Mọi thắc mắc vui lòng xin liên hệ hotline: 084 283 45 85

Đây là bản xem thử, vui lòng mua tài liệu để xem chi ết (có lời giải)
Bài 4.
a) Ch ng minh t giác ứ ứ
BEFI
n i ti p ộ ế
Xét đ ng tròn ườ
O
có
0
90AEB
(góc n i ti p ch n n a đ ng tròn)ộ ế ắ ử ườ
L i có: ạ
0
90 (FIB do CD AB
t i ạ
)I
Xét t giác ứ
BEFI
có
0 0 0
90 90 180FEB FIB BEFI
là t giác n i ti p ứ ộ ế
b) Tính đ dài c nh AC theo Rộ ạ
Xét đ ng tròn (O) có ườ
0
90ACB
(góc n i ti p ch n n a đ ng tròn)ộ ế ắ ử ườ
Xét tam giác
ABC
vuông t i C ta có: ạ
0 0 0 0
90 90 60 30ABC BAC
Ta có:
0
1
cos .cos 2 .cos60 2 .
2
AC
BAC AC AB BAC R R R
AB
Xét đ ng tròn ườ
O
có
AB CD
t i I nên I là trung đi m c a dây ạ ể ủ
CD
(tính ch t ấ
đ ng kính – dây cung) hay ườ
AB
là đ ng trung tr c đo n ườ ự ạ
,CD
suy ra
AC AD
Do đó cung
AC cung AD
Mọi thắc mắc vui lòng xin liên hệ hotline: 084 283 45 85
