ệ xem ể chi ti t ế (có l i ờ gi i ả ) SỞ GIÁO D C Ụ VÀ ĐÀO T O Ạ KỲ THI TUY N Ể SINH L P Ớ 10 THPT NINH THU N Ậ NĂM HỌC 2019-2020 Khóa ngày: 01/6/2019 (Đề chính th c ứ ) Môn thi: TOÁN Th i ờ gian làm bài: 120 phút Bài 1. (2,0 đi m ể ) Gi i ả bất phư ng ơ trình và h ph ệ ư ng ơ trình sau: 3 x y 1 b)
a) 7x 2 4x 3 x 2y 5 Bài 2. (2,0 đi m
ể ) Cho parabol P 2 : y 2 x và đư ng t ờ h ng ẳ d : y 3 x 2 a) Vẽ đồ th
ị P trên hệ tr c t ụ a đ ọ ộ Oxy b) Tìm t a đ ọ gi ộ ao đi m ể c a
ủ P và d Bài 3. (2,0 đi m ể ) a 1 a 1 a 1 P . 2 a) Rút g n bi ọ u t ể h c : ứ 2 a a 1 a 1 2 b) Ch ng ứ minh r ng ph ằ ư ng t ơ
rình x 2 m
1 x 2m 4 luôn có hai nghi m ệ phân 2 2 biệt x , x
A x x 1 2 . Tìm giá tr nh ị nh ỏ t ấ c a bi ủ u t ể h c ứ 1 2 Bài 4. (4,0 đi m
ể ) Cho tam giác ABC vuông t i ạ C n i ộ ti p t ế rong đư ng ờ tròn tâm O, 0 đư ng ờ kính AB 2 R, ABC 6 0 . G i
ọ H là chân đư ng cao h ờ ạ t
ừ C xuống AB, K là trung đi m ể đo n t ạ h ng ẳ AC. Ti p t ế uy n ế t i ạ B c a đ ủ ư ng ờ tròn tâm O c t ắ AC kéo dài t i ạ đi m ể . D a) Ch ng ứ minh t gi ứ ác CHOK n i ộ ti p t ế rong m t ộ đư ng t ờ ròn. b) Ch ng ứ minh r ng: ằ 2 AC.AD 4 R
c) Tính theo R diện tích ph n t ầ am giác ABD n m ằ ngoài hình tròn tâm . O M i
ọ thắc mắc vui lòng xin liên hệ hotline: 084 283 45 85
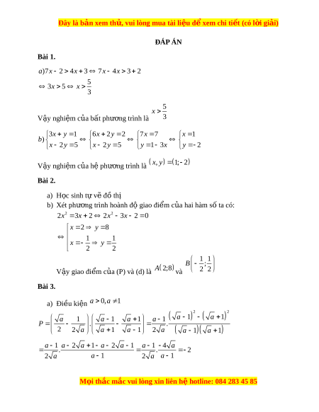
ệ xem ể chi ti t ế (có l i ờ gi i ả ) ĐÁP ÁN Bài 1.
a)7x 2 4x 3 7x 4x 3 2 5
3x 5 x 3 5 x V y ậ nghi m ệ c a b ủ t ấ phư ng t ơ rình là 3 3 x y 1 6x 2 y 2 7x 7 x 1 b) x 2 y 5 x 2y 5 y 1 3x y 2 V y ậ nghi m ệ c a h ủ ph ệ ư ng t ơ
rình là x, y 1; 2 Bài 2. a) H c ọ sinh t v ự đ ẽ t ồ hị b) Xét phư ng
ơ trình hoành độ giao đi m ể c a hai ủ hàm số ta có: 2 2 2x 3
x 2 2x 3x 2 0 x 2 y 8 1 1 x y 2 2 1 1 B ; V y ậ giao đi m ể c a (
ủ P) và (d) là A 2;8 và 2 2 Bài 3. a) Đi u ki ề ện a 0,a 1
a 2 a a a a a 2 1 1 1 1 1 1 P . . 2 2 a a 1 a 1 2 a
a 1 a 1
a 1 a 2 a 1 a 2 a 1 a 1 4 a . . 2 2 a a 1 2 a a 1 M i
ọ thắc mắc vui lòng xin liên hệ hotline: 084 283 45 85
ệ xem ể chi ti t ế (có l i ờ gi i ả ) b) Ta có
m 2 m m m m m m m 2 2 2 ' 1 2 4 2 1 2 4 4 5 2 1 0 m nên phư ng
ơ trình đã cho luôn có hai nghi m ệ v i ớ m i ọ m x x 2( m 1) 1 2 Theo đ nh l ị ý Vi-et ta có: x x 2 m 4 1 2 Theo đ bài ề ta có :
A x x
x x 2 2 2 2x x 1 2 1 2 1 2 A 4
m 2 2 2 2m 4 2 4
m 8m 4 4m 8 2 4
m 12m 12 2
4m 12m 9 3 2m 3 2 3 2 2 Ta có: 2m 3 0 m A 2m 3 3 3 m A 3 3 2m 3 0 m Dấu " " x y ả ra 2 3 A 3 m V y ậ min 2 M i
ọ thắc mắc vui lòng xin liên hệ hotline: 084 283 45 85
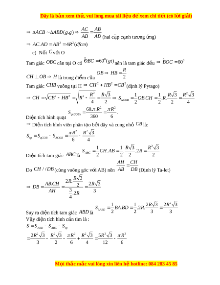
ệ xem ể chi ti t ế (có l i ờ gi i ả ) Bài 4.
a) CH AB (gt) 0 OHC 9 0 K là trung đi m ể c a
ủ AC OK AC (tính ch t ấ đư ng kí ờ nh dây cung) nên 0 OKC 9 0
Xét tứ giác CHOK có 0 0 0 OHC OKC 9 0 90 1 80
Mà hai góc này ở vi trí đ i ố di n nên ệ CHOK là t gi ứ ác n i ộ ti p ( ế đpcm) b) Ta có: 0 C 9 0 (góc n i ộ ti p ch ế n ắ n a đ ử ư ng ờ tròn)
Xét tam giác ACB và tam giác ABD có: 0 ACB ABD 9 0 ; BAD chung M i
ọ thắc mắc vui lòng xin liên hệ hotline: 084 283 45 85
Đề thi vào 10 môn Toán tỉnh Ninh Thuận năm 2020
458
229 lượt tải
MUA NGAY ĐỂ XEM TOÀN BỘ TÀI LIỆU
CÁCH MUA:
- B1: Gửi phí vào TK:
1133836868- CT TNHH DAU TU VA DV GD VIETJACK - Ngân hàng MB (QR) - B2: Nhắn tin tới Zalo VietJack Official ( nhấn vào đây ) để xác nhận thanh toán và tải tài liệu - giáo án
Liên hệ ngay Hotline hỗ trợ: 084 283 45 85
Đề thi được cập nhật liên tục trong gói này từ nay đến hết tháng 6/2023. Chúng tôi đảm bảo đủ số lượng đề đã cam kết hoặc có thể nhiều hơn, tất cả có BẢN WORD, LỜI GIẢI CHI TIẾT và tải về dễ dàng.
Để tải tài liệu gốc về máy bạn click vào nút Tải Xuống ở trên!
Thuộc bộ (mua theo bộ để tiết kiệm hơn):
- Tailieugiaovien.com.vn giới thiệu bộ 63 đề thi vào 10 môn Toán hệ không chuyên năm 2020 nhằm giúp Giáo viên có thêm tài liệu tham khảo đề luyện thi Toán ôn luyện
- File word có lời giải chi tiết 100%.
- Mua trọn bộ sẽ tiết kiệm hơn tải lẻ 50%.
Đánh giá
4.6 / 5(458 )5
4
3
2
1
Trọng Bình
Tài liệu hay
Giúp ích cho tôi rất nhiều
Duy Trần
Tài liệu chuẩn
Rất thích tài liệu bên VJ soạn (bám sát chương trình dạy)
TÀI LIỆU BỘ BÁN CHẠY MÔN Toán Học
Xem thêmTÀI LIỆU BỘ BÁN CHẠY Ôn vào 10
Xem thêmTài liệu bộ mới nhất

Đây là b nả xem thử, vui lòng mua tài li u đ xem chi ti t (có l i gi i)ệ ể ế ờ ả
S GIÁO D C VÀ ĐÀO T OỞ Ụ Ạ
NINH THU NẬ
(Đ chính th c)ề ứ
KỲ THI TUY N SINH L P 10 THPTỂ Ớ
NĂM H C 2019-2020Ọ
Khóa ngày: 01/6/2019
Môn thi: TOÁN
Th i gian làm bài: 120 phút ờ
Bài 1. (2,0 đi m) ể Gi i b t ph ng trình và h ph ng trình sau:ả ấ ươ ệ ươ
)a
7 2 4 3x x
3 1
)
2 5
x y
b
x y
Bài 2. (2,0 đi m) ể Cho parabol
2
: 2P y x
và đ ng th ng ườ ẳ
: 3 2d y x
a) V đ th ẽ ồ ị
P
trên h tr c t a đ ệ ụ ọ ộ
Oxy
b) Tìm t a đ giao đi m c a ọ ộ ể ủ
P
và
d
Bài 3. (2,0 đi m) ể
a) Rút g n bi u th c : ọ ể ứ
1 1 1
.
2
2 1 1
a a a
P
a a a
b) Ch ng minh r ng ph ng trình ứ ằ ươ
2
2 1 2 4x m x m
luôn có hai nghi m phân ệ
bi t ệ
1 2
,x x
. Tìm giá tr nh nh t c a bi u th c ị ỏ ấ ủ ể ứ
2 2
1 2
A x x
Bài 4. (4,0 đi m) ể Cho tam giác
ABC
vuông t i C n i ti p trong đ ng tròn tâm O, ạ ộ ế ườ
đ ng kính ườ
0
2 , 60 .AB R ABC
G i ọ
H
là chân đ ng cao h t ườ ạ ừ
C
xu ng AB, K là ố
trung đi m đo n th ng ể ạ ẳ
.AC
Ti p tuy n t i ế ế ạ
B
c a đ ng tròn tâm ủ ườ
O
c t ắ
AC
kéo dài
t i đi m ạ ể
.D
a) Ch ng minh t giác ứ ứ
CHOK
n i ti p trong m t đ ng tròn.ộ ế ộ ườ
b) Ch ng minh r ng: ứ ằ
2
. 4AC AD R
c) Tính theo
R
di n tích ph n tam giác ệ ầ
ABD
n m ngoài hình tròn tâm ằ
.O
M iọ th c m c vui lòng xin liên hắ ắ ệ hotline: 084 283 45 85

Đây là b nả xem thử, vui lòng mua tài li u đ xem chi ti t (có l i gi i)ệ ể ế ờ ả
ĐÁP ÁN
Bài 1.
)7 2 4 3 7 4 3 2
5
3 5
3
a x x x x
x x
V y nghi m c a b t ph ng trình là ậ ệ ủ ấ ươ
5
3
x
3 1 6 2 2 7 7 1
)
2 5 2 5 1 3 2
x y x y x x
b
x y x y y x y
V y nghi m c a h ph ng trình là ậ ệ ủ ệ ươ
, 1; 2x y
Bài 2.
a) H c sinh t v đ thọ ự ẽ ồ ị
b) Xét ph ng trình hoành đ giao đi m c a hai hàm s ta có:ươ ộ ể ủ ố
2 2
2 3 2 2 3 2 0
2 8
1 1
2 2
x x x x
x y
x y
V y giao đi m c a (P) và (d) là ậ ể ủ
2;8A
và
1 1
;
2 2
B
Bài 3.
a) Đi u ki n ề ệ
0, 1a a
2 2
1 1
1 1 1 1
. .
2
2 1 1 2
1 1
1 2 1 2 1 1 4
. . 2
1 1
2 2
a a
a a a a
P
a a a a
a a
a a a a a a a
a a
a a
M iọ th c m c vui lòng xin liên hắ ắ ệ hotline: 084 283 45 85

Đây là b nả xem thử, vui lòng mua tài li u đ xem chi ti t (có l i gi i)ệ ể ế ờ ả
b) Ta có
2 2
2 2
' 1 2 4 2 1 2 4 4 5 2 1 0m m m m m m m m m
nên ph ng trình đã cho luôn có hai nghi m v i m i mươ ệ ớ ọ
Theo đ nh lý Vi-et ta có: ị
1 2
1 2
2( 1)
2 4
x x m
x x m
Theo đ bài ta có :ề
2
2 2
1 2 1 2 1 2
2
2
2 2
2
2
4 2 2 2 4 4 8 4 4 8
4 12 12 4 12 9 3
2 3 3
A x x x x x x
A m m m m m
m m m m
m
Ta có:
2 2
2 3 0 2 3 3 3 3m m A m m A
D u ấ
" "
x y ra ả
3
2 3 0
2
m m
V y ậ
min
3
3
2
A m
M iọ th c m c vui lòng xin liên hắ ắ ệ hotline: 084 283 45 85

Đây là b nả xem thử, vui lòng mua tài li u đ xem chi ti t (có l i gi i)ệ ể ế ờ ả
Bài 4.
a)
CH AB
(gt)
0
90OHC
K là trung đi m c a ể ủ
AC OK AC
(tính ch t đ ng kính dây cung) nên ấ ườ
0
90OKC
Xét t giác ứ
CHOK
có
0 0 0
90 90 180OHC OKC
Mà hai góc này vi trí đ i di n nên ở ố ệ
CHOK
là t giác n i ti p (đpcm)ứ ộ ế
b) Ta có:
0
90C
(góc n i ti p ch n n a đ ng tròn)ộ ế ắ ử ườ
Xét tam giác
ACB
và tam giác
ABD
có:
0
90ACB ABD
;
BAD
chung
M iọ th c m c vui lòng xin liên hắ ắ ệ hotline: 084 283 45 85

Đây là b nả xem thử, vui lòng mua tài li u đ xem chi ti t (có l i gi i)ệ ể ế ờ ả
( . )
AC AB
ACB ABD g g
AB AD
(hai c p c nh t ng ng)ặ ạ ươ ứ
2 2
. 4 ( )AC AD AB R dfcm
c) N i ố
C
v i Oớ
Tam giác
OBC
cân t i O có ạ
0
60 ( )OBC gt
nên là tam giác đ u ề
0
60BOC
CH OB H
là trung đi m c a ể ủ
2
R
OB HB
Tam giác
CHB
vuông t i H ạ
2 2 2
CH HB CB
(đ nh lý Pytago)ị
2
2 2 2
3
4 2
R R
CH CB HB R
2
1 1 3 3
. . .
2 2 2 4
COB
R R
S OB CH R
Di n tích hình qu t ệ ạ
2 2
( )
60. .
.
360 6
q COB
R R
S
Di n tích hình viên phân t o b i dây và cung nh ệ ạ ở ỏ
CB
là:
2 2
3
6 4
vp qCOB COB
R R
S S S
Di n tích tam giác ệ
ABC
là
2
1 1 3 3
. . .2
2 2 2 2
ABC
R R
S CH AB R
Do
/ /CH DB
(cùng vuông góc v i AB) nên ớ
AH CH
AB DB
(Đ nh lý Ta-let)ị
3
2 .
. 2 3
2
3
3
.2
4
R
R
AB CH R
DB
AH
R
Suy ra di n tích tam giác ệ
ABD
là
2
1 1 2 3 2 3
. .2 .
2 2 3 3
ABD
R R
S BA BD R
V y di n tích hình c n tìm là :ậ ệ ầ
2 2 2 2 2 2
2 3 3 3 5 3
3 2 6 4 12 6
ABD ABC vp
S S S S
R R R R R R
M iọ th c m c vui lòng xin liên hắ ắ ệ hotline: 084 283 45 85
