ệ xem ể chi ti t ế (có l i ờ gi i ả ) SỞ GIÁO D C Ụ VÀ ĐÀO T O Ạ KỲ THI TUY N Ể SINH L P Ớ 10 THPT CHUYÊN QU N Ả G NAM NĂM HỌC 2019-2020 Môn thi: TOÁN (chung) Đ C Ề HÍNH TH C Ứ
Thời gian: 120 phút (không k gi ể ao đ ) ề
Khóa thi ngày : 10- 12 .6.2019 Câu 1. (2,0 đi m ể ) A 2 1 12 2 1 a) Rút g n bi ọ u t ể h c ứ 3 2 1 2 x 1 B b) Cho bi u t ể h c ứ x x
x 1 x x v i
ớ x 0 và x 1 1 2 y x Câu 2. (2,0 đi m ể ) Trong m t ặ ph ng ẳ t a đ ọ
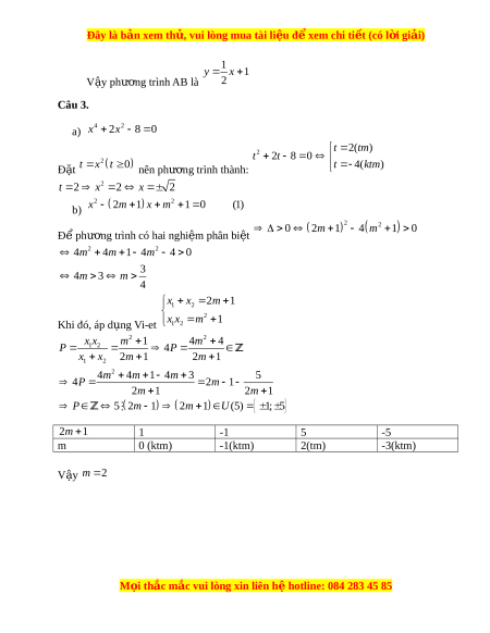
ộ Oxy, cho parabol (P): 2 a) Vẽ parabol (P) b) Hai đi m ể , A B thu c ộ (P) có hoành đ l ộ n l ầ ư t ợ là 2; 1.Vi t ế phư ng t ơ rình đư ng ờ th ng đi ẳ qua hai đi m ể A và B Câu 3. (2,0 đi m ể ) a) Gi i ả phư ng t ơ rình: 4 2 x 2x 8 0 2 2 b) Cho phư ng t ơ
rình x 2m 1 x m 1 0 (m là tham số) Tìm giá tr nguyên c ị a ủ m đ ph ể ư ng t ơ rình đã cho có hai nghi m ệ phân bi t ệ x , x 1 2 sao x x 1 2 P cho bi u ể th c ứ x x 1 2 có giá trị nguyên Câu 4. (3,5 đi m
ể ) Cho hình vuông ABCD có c nh b ạ ng ằ 6c . m Đi m ể N n m ằ trên c nh ạ CD sao cho DN 2 c , m P là đi m ể n m ằ trên tia đ i ố c a ủ tia BC sao cho BP D N a) Ch ng ứ minh A BP A DN và t gi ứ ác ANCP n i ộ ti p đ ế ư ng ờ tròn b) Tính đ dài ộ đư ng t ờ ròn ngo i ạ ti p t ế gi ứ ác ANCP c) Trên c nh ạ BC, lấy đi m ể M sao cho 0 MAN 4 5 .Ch ng m ứ inh MP M N và tính diện tích tam giác Câu 5. (0,5 đi m ể ) Cho hai số th c ự x, y th a m ỏ ãn x 3 ; y 3 M i
ọ thắc mắc vui lòng xin liên hệ hotline: 084 283 45 85
ệ xem ể chi ti t ế (có l i ờ gi i ả ) 1 1 T 21 x 3 y Tìm giá tr nh ị nh ỏ t ấ c a bi ủ u t ể h c ứ y x M i
ọ thắc mắc vui lòng xin liên hệ hotline: 084 283 45 85
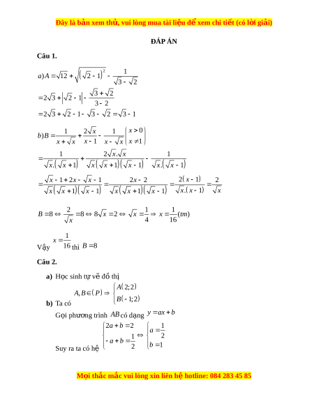
ệ xem ể chi ti t ế (có l i ờ gi i ả ) ĐÁP ÁN Câu 1. a A 2 1 ) 12 2 1 3 2 3 2 2 3 2 1 3 2 2
3 2 1 3 2 3 1 1 2 x 1 x 0 b)B x x
x 1 x x x 1 1 2 x. x 1 x. x 1
x x 1 x 1 x. x 1
x 1 2x x 1 2x 2 2 x 1 2
x x 1 x 1
x x 1 x 1 x. x 1 x 2 1 1 B 8 8 8 x 2
x x (tm) x 4 16 1 x V y ậ 16 thì B 8 Câu 2. a) H c ọ sinh t v ự đ ẽ t ồ hị A 2;2 ,
A B P B 1;2 b) Ta có G i ọ phư ng t ơ rình AB có d ng ạ y a x b 2a b 2 1 a 1 2 a b Suy ra ta có h ệ b 1 2 M i
ọ thắc mắc vui lòng xin liên hệ hotline: 084 283 45 85
ệ xem ể chi ti t ế (có l i ờ gi i ả ) 1 y x 1 V y ậ phư ng t ơ rình AB là 2 Câu 3. a) 4 2 x 2x 8 0 t 2( tm) 2 t 2t 8 0 2 Đ t
ặ t x t 0 nên phư ng t ơ rình thành: t 4(ktm) 2 t 2 x 2 x 2 2 2
b) x 2m 1 x m 1 0 (1) 2 2
0 2m 1 4 m 1 0 Để phư ng t ơ rình có hai nghi m ệ phân bi t ệ 2 2
4m 4m 1 4m 4 0 3
4m 3 m 4 x x 2 m 1 1 2 2 Khi đó, áp d ng ụ Vi-et x x m 1 1 2 2 2 x x m 1 4m 4 1 2 P 4P x x 2m 1 2m 1 1 2 2
4m 4m 1 4m 3 5 4P 2 m 1 2m 1 2m 1 P 5 2m 1 2m 1 U (5) 1 ; 5 2m 1 1 -1 5 -5 m 0 (ktm) -1(ktm) 2(tm) -3(ktm) V y ậ m 2 M i
ọ thắc mắc vui lòng xin liên hệ hotline: 084 283 45 85
Đề thi vào 10 môn Toán tỉnh Quảng Nam năm 2020
556
278 lượt tải
MUA NGAY ĐỂ XEM TOÀN BỘ TÀI LIỆU
CÁCH MUA:
- B1: Gửi phí vào TK:
1133836868- CT TNHH DAU TU VA DV GD VIETJACK - Ngân hàng MB (QR) - B2: Nhắn tin tới Zalo VietJack Official ( nhấn vào đây ) để xác nhận thanh toán và tải tài liệu - giáo án
Liên hệ ngay Hotline hỗ trợ: 084 283 45 85
Đề thi được cập nhật liên tục trong gói này từ nay đến hết tháng 6/2023. Chúng tôi đảm bảo đủ số lượng đề đã cam kết hoặc có thể nhiều hơn, tất cả có BẢN WORD, LỜI GIẢI CHI TIẾT và tải về dễ dàng.
Để tải tài liệu gốc về máy bạn click vào nút Tải Xuống ở trên!
Thuộc bộ (mua theo bộ để tiết kiệm hơn):
- Tailieugiaovien.com.vn giới thiệu bộ 63 đề thi vào 10 môn Toán hệ không chuyên năm 2020 nhằm giúp Giáo viên có thêm tài liệu tham khảo đề luyện thi Toán ôn luyện
- File word có lời giải chi tiết 100%.
- Mua trọn bộ sẽ tiết kiệm hơn tải lẻ 50%.
Đánh giá
4.6 / 5(556 )5
4
3
2
1
Trọng Bình
Tài liệu hay
Giúp ích cho tôi rất nhiều
Duy Trần
Tài liệu chuẩn
Rất thích tài liệu bên VJ soạn (bám sát chương trình dạy)
TÀI LIỆU BỘ BÁN CHẠY MÔN Toán Học
Xem thêmTÀI LIỆU BỘ BÁN CHẠY Ôn vào 10
Xem thêmTài liệu bộ mới nhất

Đây là b nả xem thử, vui lòng mua tài li u đ xem chi ti t (có l i gi i)ệ ể ế ờ ả
S GIÁO D C VÀ ĐÀO T OỞ Ụ Ạ
QU NG NAM Ả
Đ CHÍNH TH C Ề Ứ
KỲ THI TUY N SINH L P 10 THPT CHUYÊNỂ Ớ
NĂM H C 2019-2020Ọ
Môn thi: TOÁN (chung)
Th i gian: 120 phút (không k giao đ )ờ ể ề
Khóa thi ngày : 10- 12 .6.2019
Câu 1. (2,0 đi m)ể
a) Rút g n bi u th c ọ ể ứ
2
1
12 2 1
3 2
A
b) Cho bi u th c ể ứ
1 2 1
1
x
B
x
x x x x
v i ớ
0x
và
1x
Câu 2. (2,0 đi m) ể Trong m t ph ng t a đ ặ ẳ ọ ộ
,Oxy
cho parabol (P):
2
1
2
y x
a) V parabol (P)ẽ
b) Hai đi m ể
,A B
thu c (P) có hoành đ l n l t là ộ ộ ầ ượ
2; 1.
Vi t ph ng trình ế ươ
đ ng th ng đi qua hai đi m ườ ẳ ể
A
và B
Câu 3. (2,0 đi m)ể
a) Gi i ph ng trình: ả ươ
4 2
2 8 0x x
b) Cho ph ng trình ươ
2 2
2 1 1 0x m x m
(
m
là tham s )ố
Tìm giá tr nguyên c a ị ủ
m
đ ph ng trình đã cho có hai nghi m phân bi t ể ươ ệ ệ
1 2
,x x
sao
cho bi u th c ể ứ
1 2
1 2
x x
P
x x
có giá tr nguyênị
Câu 4. (3,5 đi m) ể Cho hình vuông
ABCD
có c nh b ng ạ ằ
6 .cm
Đi m N n m trên c nh ể ằ ạ
CD sao cho
2 ,DN cm
P là đi m n m trên tia đ i c a tia BC sao cho ể ằ ố ủ
BP DN
a) Ch ng minh ứ
ABP ADN
và t giác ứ
ANCP
n i ti p đ ng trònộ ế ườ
b) Tính đ dài đ ng tròn ngo i ti p t giác ộ ườ ạ ế ứ
ANCP
c) Trên c nh ạ
,BC
l y đi m ấ ể
M
sao cho
0
45 .MAN
Ch ng minh ứ
MP MN
và tính
di n tích tam giác ệ
Câu 5. (0,5 đi m) ể Cho hai s th c ố ự
,x y
th a mãn ỏ
3; 3x y
M iọ th c m c vui lòng xin liên hắ ắ ệ hotline: 084 283 45 85

Đây là b nả xem thử, vui lòng mua tài li u đ xem chi ti t (có l i gi i)ệ ể ế ờ ả
Tìm giá tr nh nh t c a bi u th c ị ỏ ấ ủ ể ứ
1 1
21 3T x y
y x
M iọ th c m c vui lòng xin liên hắ ắ ệ hotline: 084 283 45 85

Đây là b nả xem thử, vui lòng mua tài li u đ xem chi ti t (có l i gi i)ệ ể ế ờ ả
ĐÁP ÁN
Câu 1.
2
1
) 12 2 1
3 2
3 2
2 3 2 1
3 2
2 3 2 1 3 2 3 1
a A
0
1 2 1
)
1
1
1 2 . 1
. 1 1 1 . 1
2 1
1 2 1 2 2 2
. 1
1 1 1 1
x
x
b B
x
x
x x x x
x x
x x x x x x x
x
x x x x
x x x
x x x x x x
2 1 1
8 8 8 2 ( )
4 16
B x x x tm
x
V y ậ
1
16
x
thì
8B
Câu 2.
a) H c sinh t v đ thọ ự ẽ ồ ị
b) Ta có
2;2
,
1;2
A
A B P
B
G i ph ng trình ọ ươ
AB
có d ng ạ
y ax b
Suy ra ta có h ệ
2 2 1
2
1
1
2
a b
a
a b
b
M iọ th c m c vui lòng xin liên hắ ắ ệ hotline: 084 283 45 85

Đây là b nả xem thử, vui lòng mua tài li u đ xem chi ti t (có l i gi i)ệ ể ế ờ ả
V y ph ng trình AB là ậ ươ
1
1
2
y x
Câu 3.
a)
4 2
2 8 0x x
Đ t ặ
2
0t x t
nên ph ng trình thành: ươ
2
2( )
2 8 0
4( )
t tm
t t
t ktm
2
2 2 2t x x
b)
2 2
2 1 1 0 (1)x m x m
Đ ph ng trình có hai nghi m phân bi t ể ươ ệ ệ
2
2
0 2 1 4 1 0m m
2 2
4 4 1 4 4 0
3
4 3
4
m m m
m m
Khi đó, áp d ng Vi-et ụ
1 2
2
1 2
2 1
1
x x m
x x m
2 2
1 2
1 2
2
1 4 4
4
2 1 2 1
4 4 1 4 3 5
4 2 1
2 1 2 1
5 2 1 2 1 (5) 1; 5
x x m m
P P
x x m m
m m m
P m
m m
P m m U
2 1m
1 -1 5 -5
m 0 (ktm) -1(ktm) 2(tm) -3(ktm)
V y ậ
2m
M iọ th c m c vui lòng xin liên hắ ắ ệ hotline: 084 283 45 85

Đây là b nả xem thử, vui lòng mua tài li u đ xem chi ti t (có l i gi i)ệ ể ế ờ ả
Câu 4.
a) Xét
ABP
và
ADN
có:
0
( ); 90 , ( )AB AD gt B D DN BP gt
( )ABP ADN cgc
G i ọ
H AM PN DAN BAP ABP ADN
Mà
0
90DAN NAB DAB
0
90PAB NAB PAN
APCN
là t giác n i ti pứ ộ ế
b)
2 2 2 2
4 8
2 5( )
2 2 2
PN NC CP
R cm
c)
PAN
vuông cân t i A (do ạ
)AN AP
Mà
0
45NAM AH
là phân giác cũng là trung tr c ự
,MP MN NH AM
Vì
AHN
vuông cân t i H có ạ
2 2
2 10( )AN AD DN cm
M iọ th c m c vui lòng xin liên hắ ắ ệ hotline: 084 283 45 85
