ệ xem ể chi ti t ế (có l i ờ gi i ả ) SỞ GIÁO D C Ụ VÀ ĐÀO T O Ạ KỲ THI TUY N Ể SINH L P Ớ 10 THPT NĂM 2019 T N Ỉ H QU N Ả G NINH
Môn thi: Toán (Dành cho m i ọ thí sinh) ĐỀ THI CHÍNH TH C Ứ Th i
ờ gian làm bài: 120 phút Câu 1. (2,0 đi m ể ) 1. Th c hi ự n phép t ệ ính: 2 9 3 4 a 2 28 2 2. Rút g n bi ọ u t ể h c : ứ 7 v i ớ a 2 2 3. Tìm t a đ ọ các ộ giao đi m ể c a đ ủ t ồ h hàm ị s
ố y x và đồ thị hàm số y 3 x 2 Câu 2. (2,0 đi m ể ) Cho phư ng ơ trình 2
x 2x m 1 0 , v i ớ m là tham số.\ 1) Gi i ả phư ng t ơ rình v i ớ m 1 2) Tìm giá tri c a ủ m đ ph ể ư ng t ơ rình đã cho có hai nghi m ệ phân bi t ệ x x 1 và 2 th a ỏ 3 3
x x 6x x 4 2 m m 1 2 1 2 mãn Câu 3. (2,0 đi m ể ) Gi i
ả bài toán sau b ng cách l ằ p ậ phư ng t ơ rình, h ph ệ ư ng ơ trình Hai ngư i ờ th cùng l ợ àm m t ộ công vi c t
ệ rong 9 ngày thì xong. M i ỗ ngày, lư ng ợ công việc c a ủ ngư i ờ th hai ứ làm đư c ợ nhi u g ề p 3 l ấ n l ầ ư ng ợ công vi c c ệ a ng ủ ư i ờ th ứ nhất. H i ỏ n u l ế àm m t ộ mình thì m i ỗ ngư i
ờ làm xong công vi c đó t ệ rong bao nhiêu ngày. Câu 4. (3,5 đi m ể ) Cho đư ng ờ tròn ; O R , hai đư ng
ờ kính AB và CD vuông góc v i ớ nhau. E là đi m ể thu c cung ộ nh
ỏ BC (E không trùng v i ớ B và C), ti p t ế uy n c ế a ủ đư ng ờ tròn ; O R t i ạ E c t ắ đư ng ờ th ng ẳ AB t i ạ I. G i ọ F là giao đi m ể c a ủ DE và AB, K là đi m ể thu c ộ đư ng t ờ h ng ẳ
IE sao cho KF vuông góc v i ớ A . B a) Ch ng ứ minh t gi ứ ác OKEF n i ộ ti p ế b) Ch ng ứ minh OKF O DF c) Ch ng ứ minh 2 DE.DF 2 R d) G i ọ M là giao đi m ể c a ủ OK v i ớ CF, tính tan MDC khi 0 EIB 4 5 Câu 5. (0,5 đi m ể ) M i
ọ thắc mắc vui lòng xin liên hệ hotline: 084 283 45 85
ệ xem ể chi ti t ế (có l i ờ gi i ả )
Cho x, y, z là các số th c ự dư ng t ơ h a
ỏ mãn x y z 1 . Tìm giá tr nh ị ỏ nh t ấ c a ủ bi u ể 1 2019 P 2 2 2 th c ứ
x y z
xy yz zx ĐÁP ÁN Câu 1. 1)2 9 3 4 2.3 3.2 0 2) Rút g n ọ 28 a 2 2 2 2
4 a 2 2 a 2 2 a 2 2 a 2 2
a 4(a 2 a 2 0) 7 a 2 28 2 2 a 4 V y ậ v i ớ a 2 thì 7 3) Xét phư ng
ơ trình hoành độ giao đi m ể c a hai ủ đ t ồ h : ị 2 2 x 3
x 2 x 3x 2 0 2
x 2x x 2 0
x x 2 x 2 0 x 1 y 1 x 1 x 2 0 x 2 y 4 V y ậ hai đồ thi hàm s c ố t ắ nhau t i ạ hai đi m ể phân bi t
ệ A 2;4 ; B1; 1 Câu 2. x 0 x 0 2 x 2x 0
x x 2 0 1) V i ớ m 1 ta có phư ng t ơ rình x 2 0 x 2 V y ậ v i ớ m 1 phư ng ơ trình có t p ậ nghi m ệ S 2; 0 2) Phư ng ơ trình: 2
x 2x m 1 0 2 Có ' 1 m 1 2 m Phư ng ơ trình có hai nghi m ệ phân bi t ệ x , x 1
2 ' 0 2 m 0 m 2
x x 2 1 2 Áp d ng ụ h t ệ h c ứ Vi-et ta có: x x m 1 1 2 M i
ọ thắc mắc vui lòng xin liên hệ hotline: 084 283 45 85
ệ xem ể chi ti t ế (có l i ờ gi i ả ) Theo đ bài ề ta có: 3 3
x x 6x x 4 2 m m 1 2 1 2
x x 2 2
x x x x 6x x 4 2 m m 1 2 1 1 2 2 1 x x x x 2 3x x 6x x 4 2 m m 1 2 1 2 1 2 1 2
2 22 3 m 1 6 m 2 1 4 m 4m
2 7 3m 2 6m 6 4 m 4m 2
14 6m 6m 6 4m 4m 0
m 1(tm) 2
m m 2 0 m 2( ktm) V y ậ m 1th a m ỏ ãn bài toán Câu 3. G i ọ th i ờ gian ngư i ờ th nh ứ t ấ làm m t ộ mình xong công vi c l
ệ à x (ngày) x 0 G i ọ th i ờ gian ngư i ờ th hai ứ làm m t ộ mình xong công vi c l
ệ à y (ngày) y 0 1 Mỗi ngày ngư i ờ th nh ứ t ấ làm đư c: ợ x (công vi c) ệ 1 Mỗi ngày ngư i ờ th hai ứ làm đư c ợ y (công việc) Vì hai ngư i ờ cùng làm m t ộ công vi c t
ệ rong 9 ngày thì xong nên m i ỗ ngày hai ngư i ờ làm 1 1 1 1 (1)
chung được 9 công việc, do đó ta có phư ng t ơ rình x y 9 L i
ạ có mỗi ngày, lư ng công vi ợ c c ệ a ủ ngư i ờ th hai ứ làm đư c ợ g p ba l ấ n l ầ ư ng công ợ 1 3 (2) việc c a ủ ngư i ờ th nh ứ t ấ nên ta có phư ng ơ trình: y x T ( ừ 1) và (2) ta có h ph ệ ư ng t ơ rình M i
ọ thắc mắc vui lòng xin liên hệ hotline: 084 283 45 85
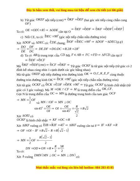
ệ xem ể chi ti t ế (có l i ờ gi i ả ) 1 1 1 1 3 1 4 1 x y 9 x x 9 x 9 x 36 (tm) 3 1 3 1 3 1 y 12 (tm) x y x y x y V y ậ ngư i ờ th nh ứ t ấ làm m t ộ mình xong công vi c h ệ t ế 36 ngày và ngư i ờ th hai ứ làm m t ộ mình xong công vi c h ệ t ế 12 ngày. Câu 4. a) Do EK là ti p t ế uy n c ế a ủ O 0 OEK 9 0 0 L i ạ có OFK 90 (gt) T gi
ứ ác OKEF có hai đỉnh E, F k nhau cùng nhì ề n OK dư i ớ 0
góc 90 E, F thu c ộ đư ng t ờ ròn đư ng kí ờ nh OK hay t gi ứ ác OKEF n i ộ ti p. ế M i
ọ thắc mắc vui lòng xin liên hệ hotline: 084 283 45 85
Đề thi vào 10 môn Toán tỉnh Quảng Ninh năm 2020
545
273 lượt tải
MUA NGAY ĐỂ XEM TOÀN BỘ TÀI LIỆU
CÁCH MUA:
- B1: Gửi phí vào TK:
1133836868- CT TNHH DAU TU VA DV GD VIETJACK - Ngân hàng MB (QR) - B2: Nhắn tin tới Zalo VietJack Official ( nhấn vào đây ) để xác nhận thanh toán và tải tài liệu - giáo án
Liên hệ ngay Hotline hỗ trợ: 084 283 45 85
Đề thi được cập nhật liên tục trong gói này từ nay đến hết tháng 6/2023. Chúng tôi đảm bảo đủ số lượng đề đã cam kết hoặc có thể nhiều hơn, tất cả có BẢN WORD, LỜI GIẢI CHI TIẾT và tải về dễ dàng.
Để tải tài liệu gốc về máy bạn click vào nút Tải Xuống ở trên!
Thuộc bộ (mua theo bộ để tiết kiệm hơn):
- Tailieugiaovien.com.vn giới thiệu bộ 63 đề thi vào 10 môn Toán hệ không chuyên năm 2020 nhằm giúp Giáo viên có thêm tài liệu tham khảo đề luyện thi Toán ôn luyện
- File word có lời giải chi tiết 100%.
- Mua trọn bộ sẽ tiết kiệm hơn tải lẻ 50%.
Đánh giá
4.6 / 5(545 )5
4
3
2
1
Trọng Bình
Tài liệu hay
Giúp ích cho tôi rất nhiều
Duy Trần
Tài liệu chuẩn
Rất thích tài liệu bên VJ soạn (bám sát chương trình dạy)
TÀI LIỆU BỘ BÁN CHẠY MÔN Toán Học
Xem thêmTÀI LIỆU BỘ BÁN CHẠY Ôn vào 10
Xem thêmTài liệu bộ mới nhất

Đây là b nả xem thử, vui lòng mua tài li u đ xem chi ti t (có l i gi i)ệ ể ế ờ ả
S GIÁO D C VÀ ĐÀO T OỞ Ụ Ạ
T NH QU NG NINHỈ Ả
Đ THI CHÍNH TH CỀ Ứ
KỲ THI TUY N SINH L P 10 THPT NĂM 2019Ể Ớ
Môn thi: Toán (Dành cho m i thí sinh)ọ
Th i gian làm bài: 120 phút ờ
Câu 1. (2,0 đi m)ể
1. Th c hi n phép tính: ự ệ
2 9 3 4
2. Rút g n bi u th c : ọ ể ứ
2
28 2
7
a
v i ớ
2a
3. Tìm t a đ các giao đi m c a đ th hàm s ọ ộ ể ủ ồ ị ố
2
y x
và đ th hàm s ồ ị ố
3 2y x
Câu 2. (2,0 đi m) ể Cho ph ng trình ươ
2
2 1 0x x m
, v i ớ
m
là tham s .\ố
1) Gi i ph ng trình v i ả ươ ớ
1m
2) Tìm giá tri c a ủ
m
đ ph ng trình đã cho có hai nghi m phân bi t ể ươ ệ ệ
1
x
và
2
x
th a ỏ
mãn
3 3 2
1 2 1 2
6 4x x x x m m
Câu 3. (2,0 đi m) ể Gi i bài toán sau b ng cách l p ph ng trình, h ph ng trìnhả ằ ậ ươ ệ ươ
Hai ng i th cùng làm m t công vi c trong 9 ngày thì xong. M i ngày, l ng ườ ợ ộ ệ ỗ ượ
công vi c c a ng i th hai làm đ c nhi u g p 3 l n l ng công vi c c a ng i th ệ ủ ườ ứ ượ ề ấ ầ ượ ệ ủ ườ ứ
nh t. H i n u làm m t mình thì m i ng i làm xong công vi c đó trong bao nhiêu ngày.ấ ỏ ế ộ ỗ ườ ệ
Câu 4. (3,5 đi m) ể Cho đ ng tròn ườ
;O R
, hai đ ng kính ườ
AB
và CD vuông góc v i ớ
nhau. E là đi m thu c cung nh ể ộ ỏ
BC
(E không trùng v i ớ
B
và C), ti p tuy n c a đ ng ế ế ủ ườ
tròn
;O R
t i E c t đ ng th ng ạ ắ ườ ẳ
AB
t i I. G i F là giao đi m c a ạ ọ ể ủ
DE
và AB, K là
đi m thu c đ ng th ng ể ộ ườ ẳ
IE
sao cho
KF
vuông góc v i ớ
.AB
a) Ch ng minh t giác ứ ứ
OKEF
n i ti pộ ế
b) Ch ng minh ứ
OKF ODF
c) Ch ng minh ứ
2
. 2DE DF R
d) G i M là giao đi m c a ọ ể ủ
OK
v i ớ
,CF
tính
tan MDC
khi
0
45EIB
Câu 5. (0,5 đi m)ể
M iọ th c m c vui lòng xin liên hắ ắ ệ hotline: 084 283 45 85

Đây là b nả xem thử, vui lòng mua tài li u đ xem chi ti t (có l i gi i)ệ ể ế ờ ả
Cho
, ,x y z
là các s th c d ng th a mãn ố ự ươ ỏ
1.x y z
Tìm giá tr nh nh t c a bi u ị ỏ ấ ủ ể
th c ứ
2 2 2
1 2019
P
x y z xy yz zx
ĐÁP ÁN
Câu 1.
1)2 9 3 4 2.3 3.2 0
2) Rút g nọ
2
2
2
28 2
4 2 2 2 2 2 2 2 2 4( 2 2 0)
7
a
a a a a a a a
V y v i ậ ớ
2a
thì
2
28 2
2 4
7
a
a
3) Xét ph ng trình hoành đ giao đi m c a hai đ th :ươ ộ ể ủ ồ ị
2 2
2
3 2 3 2 0
2 2 0 2 2 0
1 1
1 2 0
2 4
x x x x
x x x x x x
x y
x x
x y
V y hai đ thi hàm s c t nhau t i hai đi m phân bi t ậ ồ ố ắ ạ ể ệ
2;4 ; 1;1A B
Câu 2.
1) V i ớ
1m
ta có ph ng trình ươ
2
0 0
2 0 2 0
2 0 2
x x
x x x x
x x
V y v i ậ ớ
1m
ph ng trình có t p nghi m ươ ậ ệ
2;0S
2) Ph ng trình: ươ
2
2 1 0x x m
Có
2
' 1 1 2m m
Ph ng trình có hai nghi m phân bi t ươ ệ ệ
1 2
,x x
' 0 2 0 2m m
Áp d ng h th c Vi-et ta có: ụ ệ ứ
1 2
1 2
2
1
x x
x x m
M iọ th c m c vui lòng xin liên hắ ắ ệ hotline: 084 283 45 85

Đây là b nả xem thử, vui lòng mua tài li u đ xem chi ti t (có l i gi i)ệ ể ế ờ ả
Theo đ bài ta có:ề
3 3 2
1 2 1 2
2 2 2
1 2 1 1 2 2 1
6 4
6 4
x x x x m m
x x x x x x x x m m
2
2
1 2 1 2 1 2 1 2
2
2
2
2
2
3 6 4
2 2 3 1 6 1 4 4
2 7 3 6 6 4 4
14 6 6 6 4 4 0
1( )
2 0
2( )
x x x x x x x x m m
m m m m
m m m m
m m m m
m tm
m m
m ktm
V y ậ
1m
th a mãn bài toán ỏ
Câu 3.
G i th i gian ng i th nh t làm m t mình xong công vi c là ọ ờ ườ ứ ấ ộ ệ
x
(ngày)
0x
G i th i gian ng i th hai làm m t mình xong công vi c là ọ ờ ườ ứ ộ ệ
y
(ngày)
0y
M i ngày ng i th nh t làm đ c: ỗ ườ ứ ấ ượ
1
x
(công vi c)ệ
M i ngày ng i th hai làm đ c ỗ ườ ứ ượ
1
y
(công vi c)ệ
Vì hai ng i cùng làm m t công vi c trong 9 ngày thì xong nên m i ngày hai ng i làm ườ ộ ệ ỗ ườ
chung đ c ượ
1
9
công vi c, do đó ta có ph ng trình ệ ươ
1 1 1
(1)
9x y
L i có m i ngày, l ng công vi c c a ng i th hai làm đ c g p ba l n l ng công ạ ỗ ượ ệ ủ ườ ứ ượ ấ ầ ượ
vi c c a ng i th nh t nên ta có ph ng trình: ệ ủ ườ ứ ấ ươ
1 3
(2)
y x
T (1) và (2) ta có h ph ng trìnhừ ệ ươ
M iọ th c m c vui lòng xin liên hắ ắ ệ hotline: 084 283 45 85

Đây là b nả xem thử, vui lòng mua tài li u đ xem chi ti t (có l i gi i)ệ ể ế ờ ả
1 1 1
1 3 1 4 1
36( )
9
9 9
3 1 3 1
3 1 12( )
x tm
x y
x x x
y tm
x y x y
x y
V y ng i th nh t làm m t mình xong công vi c h t 36 ngày và ng i th hai làm ậ ườ ứ ấ ộ ệ ế ườ ứ
m t mình xong công vi c h t ộ ệ ế
12
ngày.
Câu 4.
a) Do
EK
là ti p tuy n c a ế ế ủ
0
90O OEK
L i có ạ
0
90 ( )OFK gt
T giác ứ
OKEF
có hai đ nh E, F k nhau cùng nhìn OK d i ỉ ề ướ
góc
0
90 ,E F
thu c đ ng tròn đ ng kính ộ ườ ườ
OK
hay t giác ứ
OKEF
n i ti p.ộ ế
M iọ th c m c vui lòng xin liên hắ ắ ệ hotline: 084 283 45 85

Đây là b nả xem thử, vui lòng mua tài li u đ xem chi ti t (có l i gi i)ệ ể ế ờ ả
b) T giác ứ
OKEF
n i ti p (cmt)ộ ế
OKF OEF
(hai góc nôi ti p cùng ch n cungế ắ
)OF
Ta có:
OE OD R ODE
cân t i Oạ
OEF ODF OKF ODF OEF
c) N i CE, ta có: ố
0
90DEC
(góc n i ti p ch n n a đ ng tròn)ộ ế ắ ử ườ
Xét
DOF
và
DEC
có:
CDE
chung;
0
90 ( . )DOF DEC DOF DEC g g
2
. . .2 2
DO DF
DE DF DO DC R R R
DE DC
d) Ta có
AB
là trung tr c c a ự ủ
.CD
Mà
F AB FC FD FCD
cân t i Fạ
ODF OCF
Mà
( )OKF ODF cmt OCF OKF
T giác ứ
OCKF
là t giác n i ti p (t giác có 2 ứ ộ ế ứ
đ nh k nhau cùng nhìn 1 c nh d i các góc b ng nhau)ỉ ề ạ ướ ằ
Mà t giác ứ
OKEF
n i ti p đ ng tròn đ ng kính ộ ế ườ ườ
OK
, , , ,O C K E F
cùng thu c ộ
đ ng tròn đ ng kính OKườ ườ
0
90OCK
(góc n i ti p ch n n a đ ng tròn)ộ ế ắ ử ườ
Xét t giác ứ
OCKF
có
0
90OCK COF OFK
T giác ứ
OCKF
là hình ch nh t (t ữ ậ ứ
giác có 3 góc vuông). Mà
M OK CF M
là trung đi m c a ể ủ
, .OK CF
G i N là trung đi m c a ọ ể ủ
OC MN
là đ ng trung bình c a tam giác ườ ủ
OCF
1
2
MN OF
và
/ /MN OF MN OC
Xét
OEI
có
0
0
sin 45 2
sin 45
2
2
OE OE R
OI R
OI
OCKF
là hình ch nh t ữ ậ
KF OC R
Xét
IKF
vuông có
0
45EIB KIF IKF
vuông cân tai F
IF KF R
2 2 1OF OI IF R R R
2 1
1
2 2
R
MN OF
Ta có:
3
2 2
R R
DN OD ON R
Xét
vuông
DMN MN OC MN DN
có:
M iọ th c m c vui lòng xin liên hắ ắ ệ hotline: 084 283 45 85
