SỞ GIÁO D C Ụ VÀ ĐÀO T O Ạ KỲ THI TUY N Ể SINH VÀO L P Ớ 10 THPT T N Ỉ H QU N Ả G NINH NĂM HỌC 2021-2022
Môn thi: Toán (Dành cho m i ọ thí sinh) Đ Ề THI CHÍNH TH C Ứ Th i
ờ gian làm bài : 120 phút, không k t ể hư i ờ gian giao đề Câu 1. (2,0 đi m ể ) a) Th c hi ự n phép t ệ ính : 2 16 25 1 1
x x 0 A : b) Rút g n bi ọ u t ể h c ứ x 2
x 2 x 4 x 4 x 4 y 9 c) Gi i ả h ph ệ ư ng t ơ rình x 3y 7 Câu 2. (2,0 đi m ể ) 2 Cho phư ng t ơ
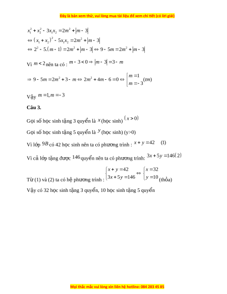
rình x 2x m 1 0 , v i ớ m là tham số a) Gi i ả phư ng t ơ rình v i ớ m 2 b) Tìm các giá tr c ị a ủ tham s ố m đ ph ể ư ng ơ trình có hai nghi m ệ phân bi t ệ x , x 1 2 2 2 2 th a
ỏ mãn x x 3x x 2
m m 3 1 2 1 2 Câu 3. (2,0 đi m ể ) L p 9B ớ có 42 h c s ọ inh. V a qua ừ l p đã phát ớ đ ng phong t ộ rào t ng s ặ ách cho các b n đang cách ạ ly vì d ch b ị nh C ệ ovid-19. T i ạ bu i ổ phát đ ng, m ộ i ỗ h c ọ sinh trong l p đ ớ u ề t ng 3 quy ặ n s ể ách ho c ặ 5 quy n s ể ách. K t ế qu đã ả t ng đ ặ ư c ợ 146 quy n ể sách. H i ỏ l p
ớ 9B có bao nhiêu b n ạ t ng 3 quy ặ n s ể ách và bao nhiêu b n t ạ ng 5 ặ quy n s ể ách. Câu 4. (3,5 đi m ể ) Cho đư ng t ờ ròn O và đi m ể M n m ằ ngoài đư ng
ờ tròn. Qua M kẻ ti p t ế uy n ế MA v i ớ đư ng
ờ tròn (O) Alà ti p đi ế m
ể ). Qua A kẻ đư ng t ờ h ng s ẳ ong song v i ớ MO, đư ng ờ th ng này c ẳ t ắ đư ng t ờ ròn (O) t i ạ C (C khác ). A Đư ng ờ th ng ẳ MC c t ắ đư ng ờ tròn (O) t i ạ đi m ể B B C . G i ọ H là hình chi u ế c a O ủ trên BC a) Ch ng ứ minh t gi ứ ác MAHO n i ộ ti p ế AB MA b) Ch ng ứ minh AC MC c) Ch ng ứ minh BA H 9 0 d) Vẽ đư ng ờ kính AD c a đ ủ ư ng ờ tròn (O). Ch ng m ứ inh A CH ∽ D MO Câu 5. (0,5 đi m
ể ) Cho các số th c không âm ự
a,b . Tìm giá tr nh ị ỏ nh t ấ c a ủ bi u ể th c ứ :
2
a b 2 2
3 b 2a 3 P 2a 1 2b 1
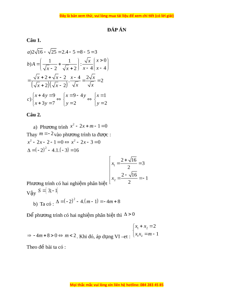
ĐÁP ÁN Câu 1. a)2 16 25 2.4 5 8 5 3 1 1 x x 0 b)A : x 2
x 2 x 4 x 4
x 2 x 2 x 4 2 x . 2
x 2 x 2 x x x 4 y 9 x 9 4 y x 1 c) x 3y 7 y 2 y 2 Câu 2. a) Phư ng ơ trình 2
x 2x m 1 0
Thay m 2 vào phư ng t ơ rình ta đư c : ợ 2 2
x 2x 2 1 0
x 2x 3 0 2 2 4.1. 3 16 2 16 x 3 1 2 2 16 x 1 2 Phư ng ơ trình có hai nghi m ệ phân bi t ệ 2 V y ậ S 3; 1 2 b) Ta có :
2 4. m 1 4m 8 Để phư ng t ơ rình có hai nghi m ệ phân bi t ệ thì 0 x x 2 1 2
4m 8 0 m 2 . Khi đó, áp d ng ụ VI –et : x x m 1 1 2 Theo đ bài ề ta có :
2 2 2
x x 3x x 2
m m 3 1 2 1 2
x x 2 2 5x x 2
m m 3 1 2 1 2 2
2 5. m 2 2 1 2
m m 3 9 5m 2
m m 3
Vì m 2 nên ta có : m 3 0 m 3 3 m m 1 2 2 9 5m 2
m 3 m 2m 4m 6 0 (t ) m m 3 V y ậ m 1 , m 3 Câu 3. G i ọ số h c s ọ inh t ng 3 quy ặ n l ể à x (h c s ọ inh) x 0 G i ọ số h c s ọ inh t ng 5 quy ặ n l ể à y (h c s ọ inh) (y>0) Vì l p ớ 9B có 42 h c ọ sinh nên ta có phư ng t ơ
rình : x y 4 2 (1) Vì cả l p t ớ ng ặ đư c ợ 146 quy n nên ể ta có phư ng t ơ
rình: 3x 5y 1 46 2 x y 4 2 x 3 2 T ( ừ 1) và (2) ta có h ph ệ ư ng t ơ
rình : 3x 5y 146 y 10 (th a) ỏ V y ậ có 32 h c s ọ inh t ng 3 quy ặ n, 10 h ể c ọ sinh t ng ặ 5 quy n ể
Đề thi vào 10 môn Toán tỉnh Quảng Ninh năm 2022
616
308 lượt tải
MUA NGAY ĐỂ XEM TOÀN BỘ TÀI LIỆU
CÁCH MUA:
- B1: Gửi phí vào TK:
1133836868- CT TNHH DAU TU VA DV GD VIETJACK - Ngân hàng MB (QR) - B2: Nhắn tin tới Zalo VietJack Official ( nhấn vào đây ) để xác nhận thanh toán và tải tài liệu - giáo án
Liên hệ ngay Hotline hỗ trợ: 084 283 45 85
Đề thi được cập nhật liên tục trong gói này từ nay đến hết tháng 6/2023. Chúng tôi đảm bảo đủ số lượng đề đã cam kết hoặc có thể nhiều hơn, tất cả có BẢN WORD, LỜI GIẢI CHI TIẾT và tải về dễ dàng.
Để tải tài liệu gốc về máy bạn click vào nút Tải Xuống ở trên!
Thuộc bộ (mua theo bộ để tiết kiệm hơn):
- Tailieugiaovien.com.vn giới thiệu bộ 63 đề thi chính thức vào 10 môn Toán năm 2022 nhằm giúp Giáo viên có thêm tài liệu tham khảo đề luyện thi Toán vào 10.
- File word có lời giải chi tiết 100%.
- Mua trọn bộ sẽ tiết kiệm hơn tải lẻ 50%.
Đánh giá
4.6 / 5(616 )5
4
3
2
1
Trọng Bình
Tài liệu hay
Giúp ích cho tôi rất nhiều
Duy Trần
Tài liệu chuẩn
Rất thích tài liệu bên VJ soạn (bám sát chương trình dạy)
TÀI LIỆU BỘ BÁN CHẠY MÔN Toán Học
Xem thêmTÀI LIỆU BỘ BÁN CHẠY Ôn vào 10
Xem thêmTài liệu bộ mới nhất

Đây là bản xem thử, vui lòng mua tài liệu để xem chi ết (có lời giải)
S GIÁO D C VÀ ĐÀO T OỞ Ụ Ạ
T NH QU NG NINHỈ Ả
Đ THI CHÍNH TH C Ề Ứ
KỲ THI TUY N SINH VÀO L P 10 THPT Ể Ớ
NĂM H C 2021-2022Ọ
Môn thi: Toán (Dành cho m i thí sinh)ọ
Th i gian làm bài : 120 phút, không k th i gian giao đờ ể ườ ề
Câu 1. (2,0 đi m)ể
a) Th c hi n phép tính : ự ệ
2 16 25
b) Rút g n bi u th c ọ ể ứ
0
1 1
:
4
4
2 2
x
x
A
x
x
x x
c) Gi i h ph ng trình ả ệ ươ
4 9
3 7
x y
x y
Câu 2. (2,0 đi m)ể
Cho ph ng trình ươ
2
2 1 0,x x m
v i ớ
m
là tham số
a) Gi i ph ng trình v i ả ươ ớ
2m
b) Tìm các giá tr c a tham s ị ủ ố
m
đ ph ng trình có hai nghi m phân bi t ể ươ ệ ệ
1 2
,x x
th a mãn ỏ
2 2 2
1 2 1 2
3 2 3x x x x m m
Câu 3. (2,0 đi m)ể
L p 9B có 42 h c sinh. V a qua l p đã phát đ ng phong trào t ng sách cho ớ ọ ừ ớ ộ ặ
các b n đang cách ly vì d ch b nh Covid-19. T i bu i phát đ ng, m i h c sinh trong ạ ị ệ ạ ổ ộ ỗ ọ
l p đ u t ng 3 quy n sách ho c 5 quy n sách. K t qu đã t ng đ c ớ ề ặ ể ặ ể ế ả ặ ượ
146
quy n ể
sách. H i l p ỏ ớ
9B
có bao nhiêu b n t ng 3 quy n sách và bao nhiêu b n t ng 5 ạ ặ ể ạ ặ
quy n sách.ể
Câu 4. (3,5 đi m)ể
Cho đ ng tròn ườ
O
và đi m ể
M
n m ngoài đ ng tròn. Qua ằ ườ
M
k ti p tuy nẻ ế ế
MA
v i đ ng tròn (O) ớ ườ
A
là ti p đi m). Qua ế ể
A
k đ ng th ng song song v i ẻ ườ ẳ ớ
,MO
đ ng th ng này c t đ ng tròn (O) t i C (C khác ườ ẳ ắ ườ ạ
).A
Đ ng th ng ườ ẳ
MC
c t đ ng ắ ườ
tròn (O) t i đi m B ạ ể
B C
. G i ọ
H
là hình chi u c a O trên ế ủ
BC
a) Ch ng minh t giác ứ ứ
MAHO
n i ti pộ ế
b) Ch ng minh ứ
AB MA
AC MC
c) Ch ng minh ứ
90BAH
d) V đ ng kính ẽ ườ
AD
c a đ ng tròn (O). Ch ng minh ủ ườ ứ
ACH DMO ∽
Câu 5. (0,5 đi m) ể Cho các s th c không âm ố ự
,a b
. Tìm giá tr nh nh t c a bi u ị ỏ ấ ủ ể
th c : ứ
Mọi thắc mắc vui lòng xin liên hệ hotline: 084 283 45 85

Đây là bản xem thử, vui lòng mua tài liệu để xem chi ết (có lời giải)
2 2
2 3 2 3
2 1 2 1
a b b a
P
a b
Mọi thắc mắc vui lòng xin liên hệ hotline: 084 283 45 85

Đây là bản xem thử, vui lòng mua tài liệu để xem chi ết (có lời giải)
ĐÁP ÁN
Câu 1.
)2 16 25 2.4 5 8 5 3
0
1 1
) :
4
4
2 2
2 2 4 2
. 2
2 2
4 9 9 4 1
)
3 7 2 2
a
x
x
b A
x
x
x x
x x x x
x x
x x
x y x y x
c
x y y y
Câu 2.
a) Ph ng trình ươ
2
2 1 0x x m
Thay
2m
vào ph ng trình ta đ c :ươ ượ
2 2
2 2 1 0 2 3 0x x x x
2
2 4.1. 3 16
Ph ng trình có hai nghi m phân bi t ươ ệ ệ
1
2
2 16
3
2
2 16
1
2
x
x
V y ậ
3; 1S
b) Ta có :
2
2 4. 1 4 8m m
Đ ph ng trình có hai nghi m phân bi t thì ể ươ ệ ệ
0
4 8 0 2m m
. Khi đó, áp d ng VI –et : ụ
1 2
1 2
2
1
x x
x x m
Theo đ bài ta có :ề
Mọi thắc mắc vui lòng xin liên hệ hotline: 084 283 45 85

Đây là bản xem thử, vui lòng mua tài liệu để xem chi ết (có lời giải)
2 2 2
1 2 1 2
2
2
1 2 1 2
2 2 2
3 2 3
5 2 3
2 5. 1 2 3 9 5 2 3
x x x x m m
x x x x m m
m m m m m m
Vì
2m
nên ta có :
3 0 3 3m m m
2 2
1
9 5 2 3 2 4 6 0 ( )
3
m
m m m m m tm
m
V y ậ
1, 3m m
Câu 3.
G i s h c sinh t ng 3 quy n là ọ ố ọ ặ ể
x
(h c sinh) ọ
0x
G i s h c sinh t ng 5 quy n là ọ ố ọ ặ ể
y
(h c sinh) (y>0)ọ
Vì l p ớ
9B
có 42 h c sinh nên ta có ph ng trình : ọ ươ
42 (1)x y
Vì c l p t ng đ c ả ớ ặ ượ
146
quy n nên ta có ph ng trình: ể ươ
3 5 146 2x y
T (1) và (2) ta có h ph ng trình :ừ ệ ươ
42 32
3 5 146 10
x y x
x y y
(th a)ỏ
V y có 32 h c sinh t ng 3 quy n, 10 h c sinh t ng 5 quy n ậ ọ ặ ể ọ ặ ể
Mọi thắc mắc vui lòng xin liên hệ hotline: 084 283 45 85

Đây là bản xem thử, vui lòng mua tài liệu để xem chi ết (có lời giải)
Câu 4.
a) Xét t giác ứ
MAHO
có :
90MAO
(tính ch t ti p tuy n), ấ ế ế
90MHO gt
T giác ứ
MAHO
n i ti p đ ng tròn đ ng kính ộ ế ườ ườ
MO
b) Xét
MAB
và
MCA
có :
M
chung,
MAB MCA
(cùng ch n cung ắ
)AB
( . )
AB MA
MAB MCA g g
AC MC
∽
c) Theo đ bài ta c n ch ng minh: ề ầ ứ
90BAH
hay
90BAO OAH
Ta đi ch ng minh ứ
OAH BAH
. Ta có:
OAH OMH
(cùng ch n ắ
),OH MCA OMH
(so le trong)
MCA MAB
(cùng ch n cung ắ
)AB
OAH BAH
Mà ta có:
90 90 90MAB BAO OAH BAO BAH
d) Xét
ABH
và
AMO
có :
90BAH MAO
AOM AHB
(cùng ch n cung ắ
) ( )AM ABH AMO g g ∽
AH BH AH HC
AO MO DO MO
(vì
AO DO
và
) 1
HA OD
BH CH
HC OM
Ta có t giác ứ
MAHO
n i ti p ộ ế
AHB AOM
(cùng ch n cung ắ
)AM
Có
180AHB AHC
và
180 (2)AOM MOD AHC MOD
Mọi thắc mắc vui lòng xin liên hệ hotline: 084 283 45 85
