SỞ GD & ĐT SƠN LA KỲ THI TUY N Ể SINH VÀO L P Ớ 10 THPT
NĂM HỌC 2020 – 2021 Đ C Ề HÍNH TH C Ứ Môn thi: TOÁN Ngày thi : 22/7/2020 Th i
ờ gian làm bài: 120 phút Câu 1.(1, 5 đi m ể ) x 1 1 A Cho bi u t ể h c ứ x 4 x 2 x 2 a) Tìm đi u ki ề n đ ệ ể bi u t ể h c ứ A xác định b) Rút g n bi ọ u t ể h c ứ A Câu 2. (1,0 đi m ể ) 2 Trên cùng hệ tr c t ụ a ọ đ v ộ ẽ đồ th hai ị
hàm số y x 2 & y x .Tìm t a ọ độ giao đi m ể c a hai ủ đ t ồ h đó. ị Câu 3. (2,0 đi m ể ) Gi i ả các phư ng t ơ rình sau: 2 x 2035 2 2 9x
a) 2020 x
b)x 2 2x 6 0 c)x 7 2 2 x 32 2 Câu 4. (1,0 đi m ể ) Cho phư ng
ơ trình x 2 m 3 x m 1 0 v i ớ m là tham số. Tìm m đ ph ể ư ng t ơ rình có hai nghi m ệ dư ng. ơ Câu 5. (1,5 đi m ể ) M t ộ m nh v ả ư n ờ hình ch nh ữ t ậ có di n t ệ ích 2 480m .N u ế tăng chi u dài ề lên 8m và chi u ề r ng g ộ i m ả đi 2m thì di n t ệ ích không đ i ổ . Hãy tính chu vi c a ủ m nh ả vư n ờ đó Câu 6. (3,0 đi m ể ) T đi ừ m ể A bên ngoài đư ng
ờ tròn tâm O vẽ các cát tuy n ế
AB, AC (B, C là các ti p đi ế m ể ). G i ọ H là giao đi m ể c a ủ OA và BC a) Ch ng ứ minh t gi ứ ác ABOC n i ộ ti p đ ế ược đư ng t ờ ròn . b) Tính di n t
ệ ích tam giác ABC trong trư ng h ờ p bán ợ kính đư ng t ờ ròn (O) b ng ằ R và AO 3 R
c) Dây cung EF thay đ i ổ nh ng
ư luôn đi qua H.Ch ng m ứ inh AO là tia phân giác c a góc ủ EA F
ĐÁP ÁN Câu 1. a) Tìm đi u ki ề n ệ x 0 x 0 x 0 x 4 0 x 4 x 4 Đi u ki ề n ệ x 2 0 x 2 V y ậ bi u t ể h c
ứ A xác định khi x 0 , x 4 b) Rút g n ọ A x 1 1 x 0 A x 4 x 2
x 2 x 4
x x 2 x 2 x 4 1 x 4 x 4 Câu 2. Ta có phư ng
ơ trình hoành độ giao đi m ể c a
ủ P và d : 2 2 2
x 2 x x x 2 0
x 2x x 2 0
x x 2 x 2 0
x 2 x 1 0 x 2 y 4 A 2;4
x 1 y 1 B( 1;1) V y ậ t a đ ọ gi ộ ao đi m ể c n t
ầ ìm là A 2;4 ;B 1; 1 Câu 3. x 2035 x 2035
a) 2020 x x 2020 2 2 2 2 1 2005 x x 2005 2 2 2
b)x 2 2 6 0 ' 2 6 8 0 x 2 8 3 2 1 x 2 8 2 2 S 3 2; 2
2 2 9x x 7 * 2 c) x 3 . Đi u ki ề ện x 3 2 2 2 3x 9x 6x * 2 x 2. 7
x 3 x 32 x 3 2 2 2 2 2 3x 6x
x 3x 3x 6x x 7 0 7 0 x 3 x 3 x 3 x 3 2 2 2 x x 6. 7 0 x 3 x 3 (1) 2 x t Đ t ặ x 3 2 2
1 t 6t 7 0
t 7t t 7 0 t 1
t t 7 t 7 0
t 7 t 1 0 t 7 2 x 2 ) t 7
7 x 7x 21 0 x 3
có 35 0 PTVN 1 13 x (tm) 2 1 x 2 2 ) t 1 1
x x 3 0 x 3 1 13 x (tm) 2 2 1 13 S 2 V y ậ t p nghi ậ m ệ c a ph ủ ư ng ơ trình:
Đề thi vào 10 môn Toán tỉnh Sơn La (Hệ không chuyên) năm 2021
627
314 lượt tải
MUA NGAY ĐỂ XEM TOÀN BỘ TÀI LIỆU
CÁCH MUA:
- B1: Gửi phí vào TK:
1133836868- CT TNHH DAU TU VA DV GD VIETJACK - Ngân hàng MB (QR) - B2: Nhắn tin tới Zalo VietJack Official ( nhấn vào đây ) để xác nhận thanh toán và tải tài liệu - giáo án
Liên hệ ngay Hotline hỗ trợ: 084 283 45 85
Đề thi được cập nhật liên tục trong gói này từ nay đến hết tháng 6/2023. Chúng tôi đảm bảo đủ số lượng đề đã cam kết hoặc có thể nhiều hơn, tất cả có BẢN WORD, LỜI GIẢI CHI TIẾT và tải về dễ dàng.
Để tải tài liệu gốc về máy bạn click vào nút Tải Xuống ở trên!
Thuộc bộ (mua theo bộ để tiết kiệm hơn):
- Tailieugiaovien.com.vn giới thiệu bộ 69 đề thi vào 10 môn Toán hệ không chuyên mới nhất năm 2021 nhằm giúp Giáo viên có thêm tài liệu tham khảo đề luyện thi Toán ôn luyện vào 1
- File word có lời giải chi tiết 100%.
- Mua trọn bộ sẽ tiết kiệm hơn tải lẻ 50%.
Đánh giá
4.6 / 5(627 )5
4
3
2
1
Trọng Bình
Tài liệu hay
Giúp ích cho tôi rất nhiều
Duy Trần
Tài liệu chuẩn
Rất thích tài liệu bên VJ soạn (bám sát chương trình dạy)
TÀI LIỆU BỘ BÁN CHẠY MÔN Toán Học
Xem thêmTÀI LIỆU BỘ BÁN CHẠY Ôn vào 10
Xem thêmTài liệu bộ mới nhất

Đây là bản xem thử, vui lòng mua tài liệu để xem chi ết (có lời giải)
S GD & ĐT S N LAỞ Ơ
Đ CHÍNH TH C Ề Ứ
KỲ THI TUY N SINH VÀO L P 10 THPT Ể Ớ
NĂM H C 2020 – 2021 Ọ
Môn thi: TOÁN
Ngày thi : 22/7/2020
Th i gian làm bài: 120 phút ờ
Câu 1.(1, 5 đi m) ể
Cho bi u th c ể ứ
1 1
4
2 2
x
A
x
x x
a) Tìm đi u ki n đ bi u th c ề ệ ể ể ứ
A
xác đ nhị
b) Rút g n bi u th c ọ ể ứ
A
Câu 2. (1,0 đi m) ể
Trên cùng h tr c t a đ v đ th hai hàm s ệ ụ ọ ộ ẽ ồ ị ố
2
2 & .y x y x
Tìm t a ọ
đ giao đi m c a hai đ th đó.ộ ể ủ ồ ị
Câu 3. (2,0 đi m) ể Gi i các ph ng trình sau:ả ươ
2
2 2
2
2035 9
) 2020 ) 2 2 6 0 ) 7
2 2
3
x x
a x b x x c x
x
Câu 4. (1,0 đi m) ể Cho ph ng trình ươ
2
2 3 1 0x m x m
v i ớ
m
là tham s . ố
Tìm
m
đ ph ng trình có hai nghi m d ng.ể ươ ệ ươ
Câu 5. (1,5 đi m) ể
M t m nh v n hình ch nh t có di n tích ộ ả ườ ữ ậ ệ
2
480 .m
N u tăng chi u dài lênế ề
8m
và chi u r ng gi m đi ề ộ ả
2m
thì di n tích không đ i. Hãy tính chu vi c a m nh ệ ổ ủ ả
v n đóườ
Câu 6. (3,0 đi m) ể T đi m A bên ngoài đ ng tròn tâm ừ ể ườ
O
v các cát tuy nẽ ế
,AB AC
(B, C là các ti p đi m). G i ế ể ọ
H
là giao đi m c a ể ủ
OA
và
BC
a) Ch ng minh t giác ứ ứ
ABOC
n i ti p đ c đ ng tròn .ộ ế ượ ườ
b) Tính di n tích tam giác ệ
ABC
trong tr ng h p bán kính đ ng tròn (O) ườ ợ ườ
b ng ằ
R
và
3AO R
c) Dây cung
EF
thay đ i nh ng luôn đi qua ổ ư
.H
Ch ng minh ứ
AO
là tia phân
giác c a góc ủ
EAF
Mọi thắc mắc vui lòng xin liên hệ hotline: 084 283 45 85

Đây là bản xem thử, vui lòng mua tài liệu để xem chi ết (có lời giải)
Mọi thắc mắc vui lòng xin liên hệ hotline: 084 283 45 85

Đây là bản xem thử, vui lòng mua tài liệu để xem chi ết (có lời giải)
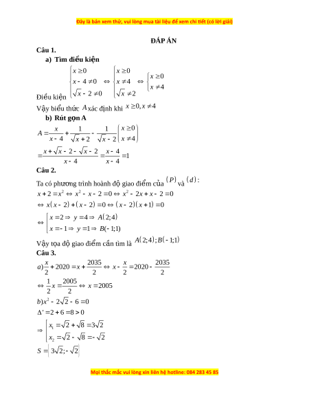
ĐÁP ÁN
Câu 1.
a) Tìm đi u ki nề ệ
Đi u ki n ề ệ
0 0
0
4 0 4
4
2 0 2
x x
x
x x
x
x x
V y bi u th c ậ ể ứ
A
xác đ nh khi ị
0, 4x x
b) Rút g n Aọ
0
1 1
4
4
2 2
2 2 4
1
4 4
x
x
A
x
x
x x
x x x x
x x
Câu 2.
Ta có ph ng trình hoành đ giao đi m c a ươ ộ ể ủ
P
và
:d
2 2 2
2 2 0 2 2 0
2 2 0 2 1 0
2 4 2;4
1 1 ( 1;1)
x x x x x x x
x x x x x
x y A
x y B
V y t a đ giao đi m c n tìm là ậ ọ ộ ể ầ
2;4 ; 1;1A B
Câu 3.
2
1
2
2035 2035
) 2020 2020
2 2 2 2
1 2005
2005
2 2
) 2 2 6 0
' 2 6 8 0
2 8 3 2
2 8 2
3 2; 2
x x
a x x
x x
b x
x
x
S
Mọi thắc mắc vui lòng xin liên hệ hotline: 084 283 45 85

Đây là bản xem thử, vui lòng mua tài liệu để xem chi ết (có lời giải)
c)
2
2
2
9
7 *
3
x
x
x
. Đi u ki n ề ệ
3x
2 2 2
2
2
2
2
2 2 2
3 9 6
* 2. 7
3 3
3
3 6 3 3 6
7 0 7 0
3 3 3 3
x x x
x
x x
x
x x x x x x
x
x x x x
2
2 2
6. 7 0
3 3
x x
x x
(1)
Đ t ặ
2
3
x
t
x
2 2
1 6 7 0 7 7 0
1
7 7 0 7 1 0
7
t t t t t
t
t t t t t
t
2
2
) 7 7 7 21 0
3
x
t x x
x
có
35 0 PTVN
2
1
2
2
1 13
( )
2
) 1 1 3 0
3
1 13
( )
2
x tm
x
t x x
x
x tm
V y t p nghi m c a ph ng trình: ậ ậ ệ ủ ươ
1 13
2
S
Mọi thắc mắc vui lòng xin liên hệ hotline: 084 283 45 85

Đây là bản xem thử, vui lòng mua tài liệu để xem chi ết (có lời giải)
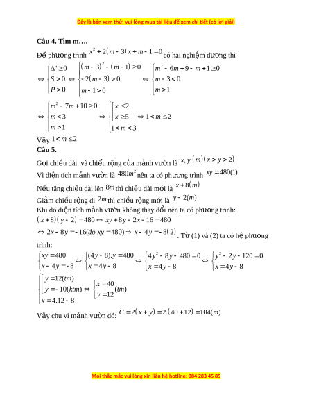
Câu 4. Tìm m….
Đ ph ng trình ể ươ
2
2 3 1 0x m x m
có hai nghi m d ng thì ệ ươ
2
2
2
3 1 0
' 0 6 9 1 0
0 2 3 0 3 0
0 1
1 0
7 10 0
2
3 1 2
5
1
1 3
m m
m m m
S m m
P m
m
m m
x
m m
x
m
m
V y ậ
1 2m
Câu 5.
G i chi u dài và chi u r ng c a m nh v n là ọ ề ể ộ ủ ả ườ
,x y
2m x y
Vì di n tích m nh v n là ệ ả ườ
2
480m
nên ta có ph ng trình ươ
480(1)xy
N u tăng chi u dài lên ế ề
8m
thì chi u dài m i là ề ớ
8x m
Gi m chi u r ng đi ả ề ộ
2m
thì chi u r ng m i là ề ộ ớ
2( )y m
Khi đó di n tích m nh v n không thay đ i nên ta có ph ng trình:ệ ả ườ ổ ươ
8 2 480 8 2 16 480
2 8 16( 480) 4 8 2
x y xy y x
x y do xy x y
. T (1) và (2) ta có h ph ng ừ ệ ươ
trình:
2 2
480 (4 8). 480
4 8 480 0 2 120 0
4 8 4 8
4 8 4 8
xy y y
y y y y
x y x y
x y x y
12( )
40
( )
10( )
12
4.12 8
y tm
x
tm
y ktm
y
x
V y chu vi m nh v n đó: ậ ả ườ
2 2. 40 12 104( )C x y m
Mọi thắc mắc vui lòng xin liên hệ hotline: 084 283 45 85
